GATE 2013 BT Question Paper with Answer Key PDF is available for download. The exam was conducted on January 20, 2013, in the afternoon session by IIT Bombay. As per the reviews given by the test-takers, GATE 2013 BT question paper was easy to moderate in terms of overall difficulty. Out of the 65 questions asked in the exam, only 4-5 were a bit tricky to solve.The exam consisted of 55 MCQs and 10 NAT questions to be attempted in 180 minutes. The total marks of GATE 2013 BT paper were 100.
GATE 2013 BT Question Paper with Answer Key PDFs – January 20, 2013 (Afternoon session)
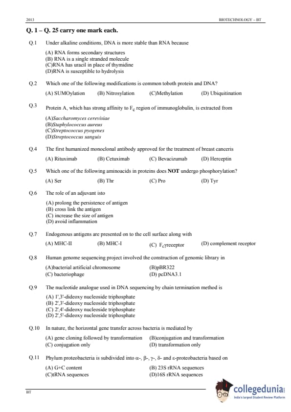
GATE 2013 BT Answer Key Details
| Question No. |
Answer |
Question No. |
Answer |
| 1 |
D |
34 |
D |
| 2 |
C |
35 |
A |
| 3 |
B |
36 |
B |
| 4 |
D |
37 |
B |
| 5 |
C |
38 |
B |
| 6 |
A |
39 |
C |
| 7 |
B |
40 |
B |
| 8 |
A |
41 |
B |
| 9 |
B |
42 |
A |
| 10 |
B |
43 |
5 |
| 11 |
D |
44 |
45 |
| 12 |
A |
45 |
0.075 to 0.085 |
| 13 |
C |
46 |
76.7 to 76.9 |
| 14 |
B |
47 |
0.1 |
| 15 |
C |
48 |
A |
| 16 |
B |
49 |
Marks to All |
| 17 |
A |
50 |
D |
| 18 |
D |
51 |
A |
| 19 |
A |
52 |
C |
| 20 |
C |
53 |
D |
| 21 |
0.5 |
54 |
A |
| 22 |
18 |
55 |
B |
| 23 |
45 |
56 |
B |
| 24 |
66.5 to 66.7 |
57 |
C |
| 25 |
0.81 to 0.91 |
58 |
C |
| 26 |
B |
59 |
D |
| 27 |
C |
60 |
B |
| 28 |
A |
61 |
C |
| 29 |
A |
62 |
C |
| 30 |
D |
63 |
C |
| 31 |
B |
64 |
B |
| 32 |
C |
65 |
C |
| 33 |
A |
GATE 2013 BT Paper Analysis
Given below is the detailed distribution of 1 mark and 2 mark questions asked in GATE 2013 BT question paper:
| Type of Questions |
General Aptitude |
Core Discipline |
| Number of Questions |
Marks |
Number of Questions |
Marks |
| No. of 1 mark MCQs |
05 |
05 |
20 |
20 |
| No. of 2 marks MCQs |
05 |
10 |
25 |
50 |
| No. of 1 mark NATs |
- |
- |
05 |
05 |
| No. of 2 marks NATs |
- |
- |
05 |
10 |
GATE Previous Year Question Papers
Aspirants preparing for GATE exam must solve previous year questions to increase speed and time management. The links to download GATE previous year question papers are given in the table below:
Other PG Exam Question Papers:
Comments