GATE 2015 CE Question Paper with Answer Key PDF for the forenoon session is available for download. GATE 2015 CE forenoon session paper was conducted by IIT Kanpur on February 8, 2015 from 9:00 am to 12:00 pm. The total questions in GATE 2015 CE question paper were 65 out of which the General Aptitude and the Civil Engineering sections comprised 10 and 55 questions respectively. The overall difficulty level of GATE 2015 CE question paper (forenoon session) was rated moderate.
GATE 2015 CE Question Paper with Answer Key PDFs- Feb 08, 2015 (Forenoon Session)
GATE 2015 CE Answer Key Details
| Question Number |
Answer Key |
Question Number |
Answer Key |
| 1 |
B |
34 |
B |
| 2 |
B |
35 |
D |
| 3 |
C |
36 |
D |
| 4 |
B |
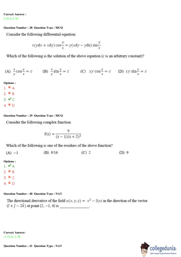
37 |
2.32 to 2.34 |
| 5 |
C |
38 |
C |
| 6 |
A |
39 |
A |
| 7 |
B |
40 |
-5.72 to -5.70 |
| 8 |
2006 |
41 |
49.5 to 51.0 |
| 9 |
B |
42 |
155 to 156.3 |
| 10 |
B |
43 |
42 to 43 |
| 11 |
4.49 to 4.51 |
44 |
3.30 to 3.40 |
| 12 |
A |
45 |
14.5 to 15.5 |
| 13 |
0.23 to 0.25 |
46 |
25 |
| 14 |
D |
47 |
5 |
| 15 |
A |
48 |
A |
| 16 |
B |
49 |
50 to 55 |
| 17 |
B |
50 |
4.0 to 5.0 |
| 18 |
6.38 to 6.42 |
51 |
10.0 to 12.0 |
| 19 |
5 |
52 |
434 to 444 |
| 20 |
0 |
53 |
0.140 to 0.142 |
| 21 |
C |
54 |
4.75 to 4.85 |
| 22 |
B |
55 |
0.0031 to 0.0033 |
| 23 |
A |
56 |
C |
| 24 |
C |
57 |
1093 to 1094 |
| 25 |
D |
58 |
21.9 to 22.1 |
| 26 |
C |
59 |
0.010 to 0.012 |
| 27 |
D |
60 |
20.0 to 24.0 |
| 28 |
C |
61 |
895 to 905 |
| 29 |
B |
62 |
A |
| 30 |
C |
63 |
141.84 to 142.32 |
| 31 |
A |
64 |
A |
| 32 |
8 |
65 |
C |
| 33 |
D |
GATE 2015 CE (Forenoon Session) Paper Analysis
The detailed paper analysis of GATE 2015 Civil Engineering (forenoon session) is mentioned below.
- Both General Aptitude and Civil Engineering sections had 2 types of questions- MCQs and NAT questions.
- There was a negative marking of 1/3rd for one mark questions and 2/3rd for two mark questions in GATE 2015 CE question paper (forenoon session).
- The table below depicts the distribution of 1 mark and 2 mark questions in GATE 2015 CE question paper.
| Types of Questions |
General Aptitude |
Civil Engineering (CE) Core Discipline |
| Number of Questions |
Marks |
Number of Questions |
Marks |
| Number of 1 mark questions |
5 |
5 |
25 |
25 |
| Number of 2 mark questions |
5 |
10 |
30 |
60 |
GATE Previous Year Question Papers
The aspirants who are willing to appear for the upcoming GATE examination must solve previous year GATE question papers to boost preparation. Understanding the syllabus and solving GATE previous year question papers is one of the most important aspects of acing GATE examination.
Other PG Exam Question Papers:
Comments