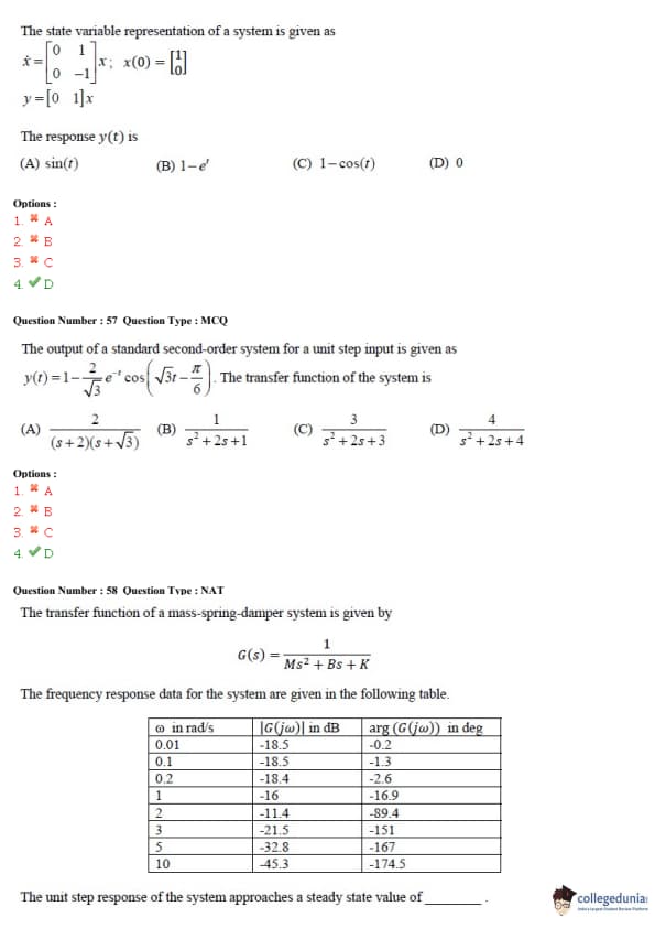
GATE 2015 EC Question Paper with Answer Key PDF slot 1 is available for download. GATE 2015 EC slot 1 paper was conducted by IIT Kanpur on January 31, 2015, in the forenoon session. GATE 2015 EC Question paper was rated easy to moderate by the test-takers. The exam consisted of 65 questions divided into 2 sections i.e general aptitude and core discipline (electronics & communication engineering).
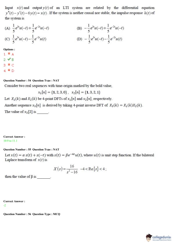
GATE 2015 EC Question Paper with Answer Key PDFs Slot 2- Jan 31, 2015 (Afternoon Session)
GATE 2015 EC Answer Key Details
| Question No. |
Answer |
Question No. |
Answer |
| 1 |
B |
34 |
-3.1 to -2.9 |
| 2 |
A |
35 |
D |
| 3 |
C |
36 |
C |
| 4 |
D |
37 |
3 |
| 5 |
B |
38 |
0.5 |
| 6 |
B |
39 |
1.5 |
| 7 |
D |
40 |
B |
| 8 |
800 |
41 |
1.30 to 1.35 |
| 9 |
B |
42 |
1.4 to 1.6 |
| 10 |
B |
43 |
95 to 105 |
| 11 |
C |
44 |
4.3 to 4.4 |
| 12 |
B |
45 |
C |
| 13 |
9.9 to 10.1 |
46 |
B |
| 14 |
C |
47 |
C |
| 15 |
A |
48 |
D |
| 16 |
100 |
49 |
0.59 to 0.61 |
| 17 |
4.9 to 5.1 |
50 |
11 to 12 |
| 18 |
A |
51 |
2.7 to 2.9 |
| 19 |
14 |
52 |
-1.1 to -0.9 |
| 20 |
1.8 to 2.0 |
53 |
B |
| 21 |
D |
54 |
10.9 to 11.1 |
| 22 |
1.5 |
55 |
-2 |
| 23 |
1 |
56 |
D |
| 24 |
A |
57 |
D |
| 25 |
D |
58 |
0.10 to 0.13 |
| 26 |
7 |
59 |
A |
| 27 |
C |
60 |
B |
| 28 |
0 |
61 |
A |
| 29 |
B |
62 |
D |
| 30 |
B |
63 |
13.5 to 13.8 |
| 31 |
400 |
64 |
49 to 51 |
| 32 |
32 |
65 |
B |
| 33 |
A |
GATE 2015 EC Paper Analysis - Slot 2 (Jan 31, 2015)
GATE 2015 EC slot 1 paper consisted of two types of questions- MCQ (Multiple Choice Question) and NAT (Numerical Multiple Type).
- 55 questions were from core discipline whereas 10 questions were from general aptitude. The total marks of GATE 2015 EC question paper (slot 1) were 100.
- According to the question paper format, 0.33 marks were deducted for every 1 mark MCQ and 0.66 marks were deducted for every 2 mark MCQ. However, there was no negative marking for NAT questions.
| Type of Questions |
General Aptitude |
Core Discipline |
| Number of Questions |
Marks |
Number of Questions |
Marks |
| 1 mark MCQs |
05 |
05 |
14 |
14 |
| 2 marks MCQs |
04 |
08 |
14 |
28 |
| 1 mark NATs |
- |
- |
11 |
11 |
| 2 marks NATs |
01 |
02 |
16 |
32 |
GATE Previous Year Question Papers
Aspirants must download and solve GATE previous year question papers from the links given below to analyze their performance level and increase their scores in the exam.
Other PG Exam Question Papers:
Comments