GATE 2016 Life Sciences (XL) Question papers with answer key PDFs are available to download. GATE 2016 XL paper was conducted by IISc on February 7, 2016, in the afternoon session. GATE 2016 XL question paper was divided into different sections containing multiple topics and sub–topics. However, students had rated the difficulty level to be easy. Sections involving technical questions, such as microbiology and in Botany were quite tricky but the pattern was almost similar to the previous year’s paper.
GATE 2016 Life Sciences (XL) Question Papers with Answer Key Pdf ( February 7- Afternoon Session)
| GATE 2016 XL Question Paper | GATE 2016 XL Answer Key |
|---|---|
| Download PDF | Download PDF |
GATE 2016 Life Sciences (XL) Paper Analysis
GATE 2016 Life Sciences (XL) question paper carries a total of 65 questions which are divided into 7 sections.
- All the questions are divided into two marking schemes, that is, 1 or 2 marks.
- The first section of the paper is on general aptitude, the second is on Chemistry, the third is on Biochemistry, the fourth is on Botany, the fifth is on Microbiology, the sixth is on Zoology and the seventh and the last section is on Food Technology.
- The first section has 10 questions out of which 5 are of 1 mark and 5 are of 2 marks.
- The second section has 15 questions out of which 5 are of 1 mark and 10 are of 2 marks.
- All the remaining sections have 20 questions out of which 10 are of 1 mark and 10 are of 2 marks.
- The question paper has both Multiple Choices Questions (MCQs) and Numerical Answer Questions (NAQ).
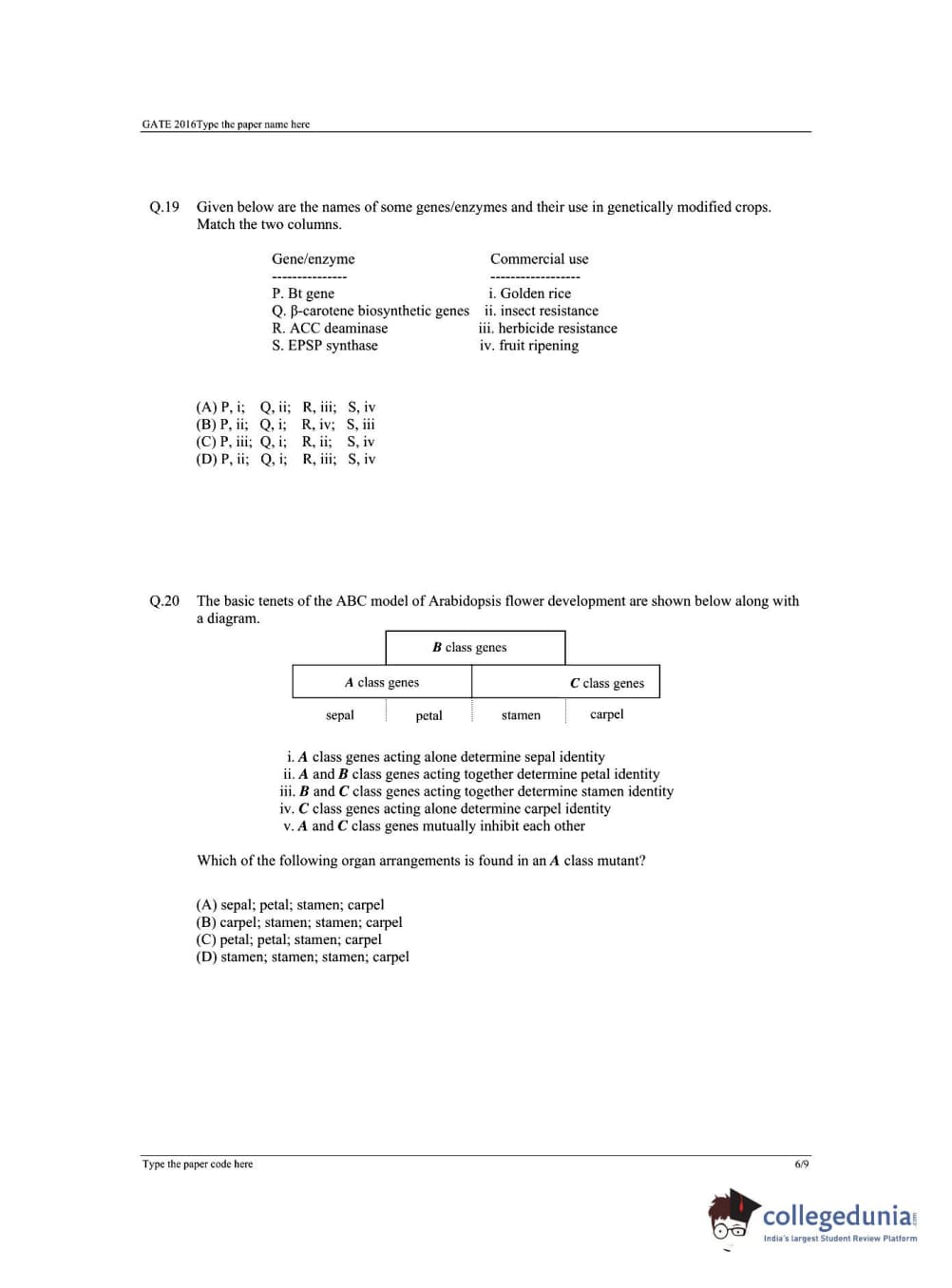
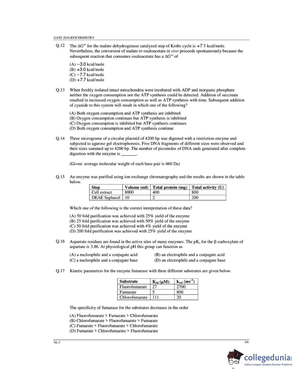
- There were various questions which consisted of diagrams, graphs and data. Such questions demanded the analytical abilities of the candidates.
- 1/3rd and 2/3rd marks are to be deducted for every wrong answer to questions carrying 1 and 2 marks respectively.
GATE Previous Year Question Paper Links
GATE question paper is easier to qualify with the proper understanding of the syllabus and the exam pattern. Analyzing the previous year question papers would help the candidates in relating to the exam pattern. Follow below some of the links to the previous year’s question papers.
| GATE 2022 Question Papers | GATE 2021 Question Papers | GATE 2020 Question Papers |
| GATE 2019 Question Papers | GATE 2018 Question Papers | GATE 2017 Question Papers |








Comments