GATE 2023 CSE Question Paper PDF is available here for download. IIT Kanpur conducted GATE 2023 CSE exam on February 4, 2023 in the Forenoon Session from 09:30 AM to 12:30 PM. According to the initial reaction of the student, GATE CSE 2023 question paper was reported to be easy to moderate in difficulty. There were 34 MCQs, 15 MSQs and 16 NATs in GATE 2023 CSE Question Paper. 10 questions are from the General Aptitude section and 55 questions are from Engineering Mathematics and Core Discipline.
GATE 2023 CSE Question Paper with Solutions PDF
| GATE 2023 CSE Question Paper with Solutions | Check Solutions |

We reached the station late, and missed the train.
Kind : _______ : : Often : Frequently
A series of natural numbers \(F_1, F_2, F_3, F_4, F_5, F_6, F_7, \ldots\) obeys \(F_{n+1}=F_n+F_{n-1}\) for all integers \(n\ge 2\). If \(F_6=37\) and \(F_7=60\), then what is \(F_1\)?
Looking at the surface of a smooth 3-dimensional object from the outside, which one of the following options is TRUE?
The country of Zombieland is in distress since more than 75% of its working population is suffering from serious health issues. Studies conducted by competent health experts concluded that a complete lack of physical exercise among its working population was one of the leading causes of their health issues. As one of the measures to address the problem, the Government of Zombieland has decided to provide monetary incentives to those who ride bicycles to work.
Based only on the information provided above, which one of the following statements can be logically inferred with certainty?
Consider two functions of time \((t)\), \[ f(t) = 0.01t^2, g(t) = 4t \]
where \(0 < t < \infty\).
Now consider the following two statements:
(i) For some \(t > 0\), \(g(t) > f(t)\).
(ii) There exists a \(T\), such that \(f(t) > g(t)\) for all \(t > T\).
Which one of the following options is TRUE?
Which one of the following sentence sequences creates a coherent narrative?
(i) Once on the terrace, on her way to her small room in the corner, she notices the man right away.
(ii) She begins to pant by the time she has climbed all the stairs.
(iii) Mina has bought vegetables and rice at the market, so her bags are heavy.
(iv) He was leaning against the parapet, watching the traffic below.
f(x) and g(y) are functions of x and y, respectively, and \( f(x) = g(y) \) for all real values of x and y. Which one of the following options is necessarily TRUE for all x and y?
Which one of the options best describes the transformation of the 2-dimensional figure P to Q, and then to R, as shown?
Consider the following statements regarding the front-end and back-end of a compiler.

S1: The front-end includes phases that are independent of the target hardware.
S2: The back-end includes phases that are specific to the target hardware.
S3: The back-end includes phases that are specific to the programming language used in the source code.
Identify the CORRECT option.
Which one of the following sequences when stored in an array at locations \(A[1], \ldots, A[10]\) forms a max-heap?
Let SLLdel be a function that deletes a node in a singly-linked list given a pointer to the node and a pointer to the head of the list. Similarly, let DLLdel be another function that deletes a node in a doubly-linked list given a pointer to the node and a pointer to the head of the list. Let n denote the number of nodes in each of the linked lists. Which one of the following choices is TRUE about the worst-case time complexity of SLLdel and DLLdel?
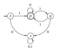
Consider the Deterministic Finite-state Automaton (DFA) A shown below. The DFA runs on the alphabet {0, 1}, and has the set of states {s, p, q, r}, with s being the start state and p being the only final state.

Which one of the following regular expressions correctly describes the language accepted by A?
The Lucas sequence \(L_n\) is defined by the recurrence relation: \[ L_n = L_{n-1} + L_{n-2}, for n \geq 3, \]
with \(L_1 = 1\) and \(L_2 = 3\).
Which one of the options given is TRUE?
Which one of the options given below refers to the degree (or arity) of a relation in relational database systems?
Suppose two hosts are connected by a point-to-point link and they are configured to use Stop-and-Wait protocol for reliable data transfer. Identify in which one of the following scenarios, the utilization of the link is the lowest.
Let \[ A = \begin{bmatrix} 1 & 2 & 3 & 4
4 & 1 & 2 & 3
3 & 4 & 1 & 2
2 & 3 & 4 & 1 \end{bmatrix} and B = \begin{bmatrix} 3 & 4 & 1 & 2
4 & 1 & 2 & 3
1 & 2 & 3 & 4
2 & 3 & 4 & 1 \end{bmatrix} \]
Let det(A) and det(B) denote the determinants of the matrices A and B, respectively.
Which one of the options given below is TRUE?
Consider the following definition of a lexical token \texttt{id for an identifier in a programming language, using extended regular expressions:
\[ letter \;\;\rightarrow\;\; [A\!-\!Za\!-\!z] \] \[ digit \;\;\rightarrow\;\; [0\!-\!9] \] \[ id \;\;\rightarrow\;\; letter (letter | digit)^* \]

Which one of the following Non-deterministic Finite-state Automata with \(\epsilon\)-transitions accepts the set of valid identifiers? (A double-circle denotes a final state).
An algorithm has to store several keys generated by an adversary in a hash table. The adversary is malicious who tries to maximize the number of collisions. Let \(k\) be the number of keys, \(m\) be the number of slots in the hash table, and \(k > m\). Which one of the following is the best hashing strategy to counteract the adversary?
The output of a 2-input multiplexer is connected back to one of its inputs as shown in the figure. Match the functional equivalence of this circuit to one of the following options.
Which one or more of the following need to be saved on a context switch from one thread (T1) of a process to another thread (T2) of the same process?
Which one or more of the following options guarantee that a computer system will transition from user mode to kernel mode?
Which of the following statements is/are CORRECT?
Which of the following statements is/are INCORRECT about the OSPF (Open Shortest Path First) routing protocol used in the Internet?
Geetha has a conjecture about integers, of the form \(\forall x\big(P(x)\Rightarrow \exists y\,Q(x,y)\big)\), where \(P\) is a statement about integers and \(Q\) is a statement about pairs of integers. Which of the following option(s) would \emph{imply Geetha's conjecture?
Which one or more of the following CPU scheduling algorithms can potentially cause starvation?
Let \[ f(x) = x^3 + 15x^2 - 33x - 36 \]
be a real-valued function. Which of the following statements is/are TRUE?
Let \(f\) and \(g\) be functions of natural numbers given by \(f(n)=n\) and \(g(n)=n^2\). Which of the following statements is/are TRUE?
Let \(A\) be the adjacency matrix of the given graph with vertices \(\{1,2,3,4,5\}\). Let \(\lambda_1,\lambda_2,\lambda_3,\lambda_4,\lambda_5\) be the eigenvalues of \(A\) (not necessarily distinct). Find \(\lambda_1+\lambda_2+\lambda_3+\lambda_4+\lambda_5 = \; \).
The value of the definite integral \(\displaystyle \int_{-3}^{3}\int_{-2}^{2}\int_{-1}^{1}\big(4x^{2}y - z^{3}\big)\,dz\,dy\,dx\) is __________. (Rounded off to the nearest integer)
A particular number is written as \(132\) in radix-\(4\) representation. The same number in radix-\(5\) representation is \(\_\_\_\_\_\_\_\_\).
Consider a 3-stage pipelined processor having a delay of 10 ns, 20 ns, and 14 ns for the first, second, and third stages, respectively. Assume that there is no other delay and the processor does not suffer from any pipeline hazards. Also assume that one instruction is fetched every cycle.
The total execution time for executing 100 instructions on this processor is _________ ns.
A keyboard connected to a computer is used at a rate of 1 keystroke per second. The computer polls the keyboard every 10 ms, each poll takes 100 \(\mu s\). If a key is detected, an additional 200 \(\mu s\) is used for processing. Let \(T_1\) be the fraction of a second spent in polling and processing a keystroke. In an alternative implementation with interrupts, each keystroke requires 1 ms to service and process. Let \(T_2\) be the fraction of a second in the interrupt method. Find the ratio \(T_1/T_2\).
The integer value printed by the ANSI-C program given below is _________.
#include
int funcp(){
static int x = 1;
x++;
return x;
int main(){
int x,y;
x = funcp();
y = funcp() + x;
printf("%d\n", (x+y));
return 0;
Consider the following program:
int main() {
f1();
f2(2);
f3();
return(0);
int f1() {
f1();
return(1);
int f2(int X) {
f3();
if (X==1)
return f1();
else
return (X * f2(X-1));
int f3() {
return(5);
Which one of the following options represents the activation tree corresponding to the main function?
Consider the control flow graph shown. Which one of the following choices correctly lists the set of live variables at the exit point of each basic block?
Consider the two functions \texttt{incr} and \texttt{decr} below. Five threads each call \texttt{incr} once and three threads each call \texttt{decr} once on the same shared variable \(X\) (initially \(10\)). There are two semaphore implementations:
I-1: \(s\) is a binary semaphore initialized to \(1\). I-2: \(s\) is a counting semaphore initialized to \(2\).
Let \(V_1, V_2\) be the values of \(X\) at the end of all threads for I-1 and I-2, respectively. Which choice gives the \emph{minimum possible values of \(V_1, V_2\)?
incr(){ decr(){
wait(s); wait(s);
X = X + 1; X = X - 1;
signal(s); signal(s);
Consider the context-free grammar \(G\) below:
\[ S \;\to\; aSb \;|\; X \] \[ X \;\to\; aX \;|\; Xb \;|\; a \;|\; b \]
where \(S\) and \(X\) are non-terminals, and \(a\) and \(b\) are terminal symbols. The starting non-terminal is \(S\).
Which one of the following statements is CORRECT?
Consider the pushdown automaton (PDA) \(P\) over input alphabet \(\{a,b\}\) and stack alphabet \(\{\perp,A\}\) with start state \(s\) and acceptance by \emph{empty stack. The transition sketch shows: in \(s\) on each \(a\) it \emph{pushes one \(A\) (i.e., \(a/\perp \to A\perp\) and \(a/A \to AA\)); on first \(b\) it goes to \(p\) with \(b/A \to \epsilon\) and stays in \(p\) popping one \(A\) per \(b\) (\(b/A \to \epsilon\)); from \(p\) it may go to \(q\) by \(\epsilon/A \to \epsilon\) and in \(q\) it can keep popping \(A\)’s and finally pop \(\perp\) by \(\epsilon/\perp \to \epsilon\). Which option describes \(L(P)\)?
Consider the given C-code and its corresponding assembly code, with a few
operands U1–U4 being unknown. Some useful information as well as the semantics
of each unique assembly instruction is annotated as inline comments in the code.
The memory is byte-addressable.
A 4 KB byte-addressable memory is built using four 1 KB memory blocks. IA4 and IA3 feed a decoder that drives the active-high CS of the four blocks; the remaining ten address lines (all except IA4, IA3) go to the Addr inputs of each block. For each block, let \(X_1,X_2,X_3,X_4\) be the input memory address (IA11–IA0), in decimal, of its starting location (Addr \(=0\)). Which option is correct?
Consider a sequential digital circuit consisting of T flip-flops and D flip-flops as shown. At the beginning, \(Q_1=0\), \(Q_2=1\), \(Q_3=1\). Which one of the given values of \((Q_1,Q_2,Q_3)\) can \emph{NEVER be obtained with this circuit?
A Boolean digital circuit is composed using two 4-input multiplexers (M1 and M2) and one 2-input multiplexer (M3) as shown in the figure. X0–X7 are the inputs of M1 and M2 and can be set to 0 or 1. The select lines of M1 and M2 are \((A,C)\), and the select line of M3 is \(B\). The output of M3 is the final circuit output.
Which one of the following sets of values of \((X0,X1,X2,X3,X4,X5,X6,X7)\) will realise the Boolean function \[ F(A,B,C) = \overline{A} + \overline{A}C + ABC \; ? \]
Consider the IEEE-754 single precision floating point numbers \(P=0xC1800000\) and \(Q=0x3F5C2EF4\). Which one of the following corresponds to the product \(P \times Q\), represented in IEEE-754 single precision format?
Let \(A\) be a priority queue implemented using a max-heap. \textsc{Extract-Max(A) deletes and returns the maximum element; \textsc{Insert(A,\textit{key) inserts a new element. The max-heap property is preserved after each operation. When \(A\) has \(n\) elements, which statement about the \emph{worst-case running times is TRUE?
Consider the C function foo and the binary tree shown. When foo is called with a pointer to the root node of the given binary tree, what will it print?
typedef struct node {
int val;
struct node *left, *right;
node;
int foo(node *p) {
int retval;
if (p == NULL)
return 0;
else {
retval = p->val + foo(p->left) + foo(p->right);
printf("%d ", retval);
return retval;
Binary tree structure:
Let \(U=\{1,2,\ldots,n\}\) with \(n>1000\). Let \(k
How many permutations of \(U\) separate \(A\) from \(B\)?
Let \(f:A\to B\) be an onto (surjective) function, where \(A\) and \(B\) are nonempty sets. Define an equivalence relation \(\sim\) on \(A\) by \(a_1\sim a_2\) iff \(f(a_1)=f(a_2)\). Let \(\mathcal{E}=\{[x]:x\in A\}\) be the set of all equivalence classes under \(\sim\). Define \(F:\mathcal{E}\to B\) by \(F([x])=f(x)\) for all classes \([x]\in\mathcal{E}\). Which of the following statements is/are TRUE?
A new reliable byte-stream protocol (myTCP) runs over a 100 Mbps network with RTT = 150 ms and maximum segment lifetime (MSL) = 2 minutes. Which of the following are valid sequence number field lengths?
Let \(X\) be a set and \(2^{X}\) denote the power set of \(X\). Define a binary operation \(\,\Delta\,\) on \(2^{X}\) by \(A \Delta B = (A-B)\cup(B-A)\) (symmetric difference). Let \(H=(2^{X},\Delta)\). Which of the following statements about \(H\) is/are correct?
Suppose in a web browser you click on \texttt{www.gate-2023.in}. The browser cache is empty. The DNS address is not cached, so an iterative DNS lookup across 3 tiers is required. Let RTT denote the round trip time between your host and either a DNS server or the web server. RTT between local host and web server is also equal to RTT. The HTML page is very small and references 10 small objects from the same server. Neglect transmission and rendering time.
Which of the following statements is/are CORRECT about the \emph{minimum elapsed time} between clicking the URL and full rendering?
Consider a random experiment where two fair coins are tossed. Let \(A\) be the event that denotes HEAD on both throws, \(B\) the event that denotes HEAD on the first throw, and \(C\) the event that denotes HEAD on the second throw. Which of the following statements is/are TRUE?
Consider functions \texttt{Function_1} and \texttt{Function_2} as follows. Let \(f_1(n)\) and \(f_2(n)\) be the number of times the statement \(x=x+1\) executes in \texttt{Function_1 and \texttt{Function_2, respectively. Which statements are TRUE?
Function_1 Function_2
while n > 1 do for i = 1 to 100 * n do
for i = 1 to n do x = x + 1;
x = x + 1; end for
end for
n = floor(n/2);
end while
Let \(G\) be a simple, finite, undirected graph with vertex set \(\{v_1,\ldots,v_n\}\). Let \(\Delta(G)\) denote the maximum degree of \(G\) and let \(\mathbb{N}=\{1,2,\ldots\}\) denote the set of all possible colors. Color the vertices of \(G\) using the following greedy strategy: for \(i=1,\ldots,n\), \[ color(v_i)\leftarrow \min\{j\in\mathbb{N}:\ no neighbour of v_i is colored j\}. \]
Which of the following statements is/are TRUE?
Let \(U=\{1,2,3\}\). Let \(2^U\) denote the power set of \(U\). Consider an undirected graph \(G\) whose vertex set is \(2^U\). For any \(A,B\in 2^U\), \((A,B)\) is an edge in \(G\) iff (i) \(A\ne B\), and (ii) either \(A\subset B\) or \(B\subset A\). For any vertex \(A\) in \(G\), the set of all possible orderings in which the vertices of \(G\) can be visited in a BFS starting from \(A\) is denoted by \(\mathcal{B}(A)\). If \(\varnothing\) denotes the empty set, find \(|\mathcal{B}(\varnothing)|\).
Consider the two-dimensional array \texttt{D[128][128]} in C, stored in row-major order. Each physical page frame holds 512 elements of D. There are 30 physical page frames. The following code executes:
for (int i = 0; i < 128; i++)
for (int j = 0; j < 128; j++)
D[j][i] *= 10;
The number of page faults generated during this execution is:
A computer uses 57-bit virtual addresses with multi-level tree-structured page tables (L levels). Page size = 4 KB and each page-table entry (PTE) = 8 bytes. Find \(L\).
Consider a sequence \(a\) of elements \(a_0=1,\,a_1=5,\,a_2=7,\,a_3=8,\,a_4=9,\,a_5=2\). The following operations are performed on a stack \(S\) and a queue \(Q\), both initially empty.
[I:] push the elements of \(a\) from \(a_0\) to \(a_5\) (in that order) into \(S\).
[II:] enqueue the elements of \(a\) from \(a_0\) to \(a_5\) (in that order) into \(Q\).
[III:] pop an element from \(S\).
[IV:] dequeue an element from \(Q\).
[V:] pop an element from \(S\).
[VI:] dequeue an element from \(Q\).
[VII:] dequeue an element from \(Q\) and \textit{push the same element into \(S\).
[VIII:] Repeat operation VII three times.
[IX:] pop an element from \(S\).
[X:] pop an element from \(S\).
Consider the syntax-directed translation with non-terminals \(N,I,F,B\) and the rules: \[ \begin{aligned} &N \to I\ \#\ F \qquad &&N.val = I.val + F.val
&I \to I_1\ B \qquad &&I.val = 2\,I_1.val + B.val
&I \to B \qquad &&I.val = B.val
&F \to B\ F_1 \qquad &&F.val = \tfrac12\big(B.val + F_1.val\big)
&F \to B \qquad &&F.val = \tfrac12\,B.val
&B \to 0 \qquad &&B.val = 0
&B \to 1 \qquad &&B.val = 1 \end{aligned} \]
Find the value computed for the input string \texttt{10\#011} (rounded to three decimals).
Consider the table Student with attributes (rollNum, name, gender, marks). The primary key is \texttt{rollNum}. The SQL query:
SELECT *
FROM Student
WHERE gender = 'F' AND marks > 65;
The number of rows returned by this query is:
A database has 25{,}000 fixed-length records of 100 bytes (primary key 15 bytes). The data file is block-aligned so each record is fully contained within a block. The file is indexed by a \emph{primary} index file, also block-aligned and ordered. Block size is 1024 bytes and a block pointer is 5 bytes. Each index entry stores the block’s anchor key (15 bytes) and a pointer (5 bytes). Binary search on an index file of \(b\) blocks needs \(\lceil \log_2 b \rceil\) block accesses in the worst case. Given a key, the number of block accesses required to \emph{identify the data file block that may contain the record, in the worst case, is \underline{\hspace{1.2cm.
Consider the language \(L\) over the alphabet \(\{0,1\}\): \[ L=\{\, w\in \{0,1\}^* \mid \(w\) does not contain three or more consecutive \(1\)'s\,\}. \]
The minimum number of states in a Deterministic Finite-State Automaton (DFA) for \(L\) is _______.
An 8-way set associative cache of size 64 KB (1 KB = 1024 bytes) is used in a system with a 32-bit address. The address is sub-divided into TAG, INDEX, and BLOCK OFFSET. Find the number of bits in the TAG.
The forwarding table of a router is shown below. A packet addressed to a destination address 200.150.68.118 arrives at the router.
It will be forwarded to the interface with ID ______\ .
GATE 2023 CSE Question Paper Analysis
| Details | Paper Analysis Highlights |
|---|---|
| Overall Difficulty | Easy to Moderate |
| Number of MCQs | 34 |
| Number of MSQs | 15 |
| Number of NATs | 16 |
GATE 2023 CSE Paper Analysis- Weightage of Topics
| Subjects | Questions Asked | Total Marks | |
|---|---|---|---|
| 1 Mark | 2 Marks | ||
| Databases | 1 | 2 | 5 |
| Operating Systems | 3 | 3 | 9 |
| Discrete Mathematics | 1 | 4 | 9 |
| Digital Logic | 4 | 2 | 8 |
| Computer Networks | 2 | 3 | 8 |
| Computer Organisation | 3 | 2 | 7 |
| Data Structures & Programming | 2 | 4 | 10 |
| Algorithm | 2 | 2 | 6 |
| Theory of Computation | 3 | 3 | 9 |
| Compiler Design | 1 | 3 | 7 |
| Engineering Mathematics | 3 | 2 | 7 |
| General Aptitude | 15 | 5 | 15 |
Also Check:
| Previous Year GATE CSE Question Papers | GATE 2023 CSE Paper Analysis |
| GATE CSE Exam Pattern | GATE CSE Syllabus |









Comments