GATE 2024 Architecture and Planning Question Paper PDF is available here. IISc Banglore conducted GATE 2024 Architecture and Planning exam on February 3 in the Forenoon Session from 9:30 AM to 12:30 PM. Students have to answer 65 questions in GATE 2024 Architecture and Planning Question Paper carrying a total weightage of 100 marks. 10 questions are from the General Aptitude section and 55 questions are from Core Discipline.
GATE 2024 Architecture and Planning Question Paper with Solution PDF
| GATE 2024 Architecture and Planning Question Paper with Solution PDF | Download PDF | Check Solutions |

If '\( \to \)' denotes increasing order of intensity, then the meaning of the words [sick \( \to \) infirm \( \to \) moribund] is analogous to [silly \( \to \) ______ \( \to \) daft].
Which one of the given options is appropriate to fill the blank?
The 15 parts of the given figure are to be painted such that no two adjacent parts with shared boundaries (excluding corners) have the same color. The minimum number of colors required is:

How many 4-digit positive integers divisible by 3 can be formed using only the digits {1, 3, 4, 6, 7}, such that no digit appears more than once in a number?
The sum of the following infinite series is: \[ 2 + \frac{1}{2} + \frac{1}{3} + \frac{1}{4} + \frac{1}{8} + \frac{1}{9} + \frac{1}{16} + \frac{1}{27} + \cdots \]
In an election, the share of valid votes received by the four candidates A, B, C, and D is represented by the pie chart shown. The total number of votes cast in the election were 1,15,000, out of which 5,000 were invalid.

Based on the data provided, the total number of valid votes received by the candidates B and C is:
Thousands of years ago, some people began dairy farming. This coincided with a number of mutations in a particular gene that resulted in these people developing the ability to digest dairy milk.
Based on the given passage, which of the following can be inferred?
The probability of a boy or a girl being born is \( \frac{1}{2} \). For a family having only three children, what is the probability of having two girls and one boy?
Person 1 and Person 2 invest in three mutual funds A, B, and C. The amounts they invest in each of these mutual funds are given in the table below.
\begin{tabular{|c|c|c|c|
\hline
& Mutual Fund A & Mutual Fund B & Mutual Fund C
\hline
Person 1 & ₹10,000 & ₹20,000 & ₹20,000
\hline
Person 2 & ₹20,000 & ₹15,000 & ₹15,000
\hline
\end{tabular
At the end of one year, the total amount that Person 1 gets is ₹500 more than Person 2. The annual rate of return for the mutual funds B and C is 15% each. What is the annual rate of return for the mutual fund A?
Three different views of a dice are shown in the figure below.

The piece of paper that can be folded to make this dice is:
Visualize two identical right circular cones such that one is inverted over the other and they share a common circular base. If a cutting plane passes through the vertices of the assembled cones, what shape does the outer boundary of the resulting cross-section make?
The nature of curvature of the following structural form is

As per the Ekistics Logarithmic Scale, the "world city" is referred to as
In Manasara Silpasashtra, a bow-shaped town plan is known as:
The value of a property when sold at a lower price than its open market price is called
In a traffic survey, Enoscope is used to measure
The author of the book Human Aspects of Urban Form is
Which of the following statements is correct for Urban Cool Island (UCI)?
Which of the following statements is correct for an oxidation pond to treat wastewater?
The conservation architect of the Maitreya Buddha Temple at Basgo, Ladakh, which won the 2007 UNESCO Asia-Pacific Heritage Award is
Which of the following options is/are the right sequence(s) in the water treatment process?
Which of the following is/are associated with Gentrification in a neighbourhood?
Which of the following sites is/are included in the UNESCO World Heritage List as on December 2022?
The reference points, lines, and planes for drawing a two-point perspective of an object are marked in the Figure below. Select the correct option(s) that match(es) with the corresponding nomenclature.

India's intended Nationally Determined Contribution to the United Nations Framework Convention on Climate Change in 2022 include(s):
As per the Census of India 2011, non-notified slums are categorised as:
Which of the following is/are under the purview of the Energy Conservation Building Code of India 2017?
Which of the following is/are used for municipal fiscal resource mobilization?
A ramp with a slope of 1:12 is required for wheelchair access. Intermediate landings of length 1.5 m each have to be provided after every 9 m running length. The running length of a straight ramp including landing, to negotiate a level difference of 900 mm vertical height, in m, is (rounded off to two decimal places):
Match the features in Group–I with the corresponding software tools in Group–II.
\begin{tabular{|c|l|c|l|
\hline
\multicolumn{2{|c|{Group-I & \multicolumn{2{c|{Group-II
\hline
(P) & Raster Graphics Editing & (1) & OpenStudio
\hline
(Q) & Energy Modeling & (2) & GIMP
\hline
(R) & Visual Programming Interface & (3) & STAAD
\hline
(S) & Structural Analysis & (4) & Grasshopper
\hline
& & (5) & Radiance
\hline
\end{tabular
Match the elements in Group-I with the corresponding buildings in Group-II.
{\small % Starts smaller text size
\begin{tabular{|c|l|c|l|
\hline
\multicolumn{2{|c|{Group-I & \multicolumn{2{c|{Group-II
\hline
(P) & Lightweight Structure & (1) & Taipei 101, Taipei by Lee and Wang
\hline
(Q) & Base Isolator & (2) & The Gherkin, London by Foster \& Partners
\hline
(R) & Tuned-mass Damper & (3) & Museum of New Zealand Te Papa Tongarewa, Wellington by Ivan Mercep
\hline
(S) & Diagrid & (4) & Paper Log Houses, Kobe by Shigeru Ban
\hline
& & (5) & Metropolitan Cathedral of Christ the King, Liverpool by Lutyens and Gibberd
\hline
\end{tabular
% Ends smaller text size
Match the following concepts in Group-I with their corresponding description in Group-II.
% Resized Matching Table
\renewcommand{\arraystretch{1.5 % Adjust row height
\setlength{\tabcolsep{6pt % Adjust column width
\begin{tabular{|c|p{4.5cm|c|p{6.5cm|
\hline
Group–I & Concepts & Group–II & Descriptions
\hline
(P) & NIMBY & (1) & Resisting physical intervention by public or private enterprises in their neighborhood
\hline
(Q) & Form-based code & (2) & Regulating development primarily through urban form
\hline
(R) & Tactical urbanism & (3) & Short-term, low-cost interventions to change a neighborhood
\hline
(S) & Suburbanization & (4) & Establishment of residential areas on city outskirts
\hline
& & (5) & Providing a clear view of the waterfront to abutting streets
\hline
\end{tabular
Match the urban renewal projects in Group–I with the corresponding cities in Group–II.
% Matching Table
\begin{tabular{|c|l|c|l|
\hline
Group–I & Urban Renewal Projects & Group–II & Cities
\hline
(P) & Cheonggyecheon & (1) & New York
\hline
(Q) & The High Line & (2) & London
\hline
(R) & False Creek South & (3) & Seoul
\hline
(S) & Canary Wharf & (4) & Vancouver
\hline
& & (5) & Tokyo
\hline
\end{tabular
Match the Biosphere Reserves in Group–I with their corresponding features in Group–II.
% Resized Matching Table
\renewcommand{\arraystretch{1.5 % Adjust row height
\setlength{\tabcolsep{6pt % Adjust column width
\begin{tabular{|c|p{5cm|c|p{6.5cm|
\hline
Group–I & Biosphere Reserves & Group–II & Features
\hline
(P) & Gulf of Mannar & (1) & Ridge, Glacier
\hline
(Q) & Sunderbans & (2) & Sub-tropical/Tropical Forest, Stepped Hill
\hline
(R) & Nanda Devi & (3) & Swamp forest, Mangrove
\hline
(S) & Nilgiri & (4) & Coral Reefs, Seagrass bed
\hline
& & (5) & Salt Marsh, Flat Terrain
\hline
\end{tabular
Match the terminologies in Group–I with their descriptions in Group–II.
% Matching Table with Adjusted Dimensions
\renewcommand{\arraystretch{1.5 % Adjust row height
\setlength{\tabcolsep{6pt % Adjust column width
\begin{tabular{|c|p{5cm|c|p{6.5cm|
\hline
Group–I & Terminologies & Group–II & Descriptions
\hline
(P) & Edge City & (1) & Rapid expansion of geographical areas of towns or cities
\hline
(Q) & Synoecism & (2) & Violence against the city
\hline
(R) & Urbicide & (3) & A secondary CBD on the edge of the city
\hline
(S) & Urban Sprawl & (4) & Rebuilding core city area
\hline
& & (5) & Union of several small urban settlements under one rule
\hline
\end{tabular
Match the items in Group–I with their corresponding items in Group–II.
% Matching Table with Adjusted Dimensions
\renewcommand{\arraystretch{1.5 % Adjust row height
\setlength{\tabcolsep{6pt % Adjust column width
\begin{tabular{|c|p{5cm|c|p{6.5cm|
\hline
Group–I & Items & Group–II & Items
\hline
(P) & Floating floor & (1) & Overflow control
\hline
(Q) & Float valve & (2) & Delay not affecting a project
\hline
(R) & Metal float & (3) & Acoustical buffer
\hline
(S) & Free float & (4) & Plastering equipment
\hline
& & (5) & Traffic flow control
\hline
\end{tabular
As per the URDPFI Guidelines 2015, match the type of educational facilities in Group-I with the corresponding minimum population to be served per facility in Group-II.
% Group-I and Group-II table setup
\begin{tabular{|c|l||c|l|
\hline
Group-I & Group-II
\hline
(P) Integrated school & (4) 1,250,000
\hline
(Q) Senior secondary school & (3) 90,000
\hline
(R) College & (2) 2,500
\hline
(S) Primary school & (5) 7,500
\hline
\end{tabular
Which of the following statements is/are true?
Which of the following statements is/are correct?
Which of the following statements is/are correct?
Which of the following statements is/are correct?
Which of the following is/are component(s) of Right of Way (RoW) of a road?
As per the National Building Code of India 2016, terminologies associated with fire fighting in a building is/are
For the beam shown below, ignoring the self-weight, the maximum hogging moment (in \( kN-m \)) generated for the loads indicated is _______ (rounded off to one decimal place).

At present, the cost of a new office equipment is 50,000 (in Indian Rupees). It has 15% salvage value after a useful life of 5 years. Using the straight line method of depreciation, the book value of the equipment 3 years from now, in Indian Rupees, will be \(\_\_\_\_\) (in integer).
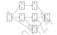
The network diagram of a construction project is shown in the following figure. The duration of each activity, in days, and the early start time of the project are denoted in the diagram. The total project duration along the critical path, in days, is _______ (in integer).

The design of a 1200 capacity concert hall considers 1/3 female audience and 2/3 male audience. The table below shows the guideline for calculating Water Closet requirements. Using the above guideline, the number of Water Closets required for the total audience is \(\_\_\_\_\) (in integer).
% Table
Table: Water Closet Requirements
\begin{tabular{|c|c|c|
\hline
Fixture & Male & Female
\hline
Water closet & 1 per 100 up to 400 & 3 per 100 up to 200
& Over 400, 1 per every 250 & Over 200, 2 per every 100
\hline
\end{tabular
A declining Industrial Town has proposed to improve water sustainability by reducing stormwater runoff through change of land use land cover (LULC), as shown in the Table below, to attract new residents. Considering a flat topography and zero additional runoff from the adjoining areas, the reduction in runoff generation for a 400 mm rainfall event in the industrial town due to the proposed intervention, in cubic meters, is \(\_\_\_\_\) (rounded off to two decimal places).
% Table
Table: LULC Changes and Runoff Coefficients
\begin{tabular{|c|c|c|c|
\hline
LULC & Runoff Coefficient & Existing Area (ha) & Proposed Area (ha)
\hline
Industrial & 0.7 & 1500 & 800
Residential & 0.5 & 1000 & 1200
Park and Playgrounds & 0.25 & 1200 & 1000
Forest & 0.15 & 300 & 1000
\hline
\end{tabular
A real estate developer is developing a township on a PPP mode. The total area of the site is 2.627 hectares with an allowable FAR of 2.25, of which 20% is earmarked for MIG category. The gross area of each MIG unit including common areas and services is 72 m\(^2\). Assuming super built up area to be same as FAR, the maximum number of MIG apartments that can be constructed is \(\_\_\_\_\) (in integer).
A municipal town requires a volume of 70,000 m\(^3\) compacted solid waste to fill a low lying land. The city has a total of 10,000 households. Using the information as shown in the Table above, the estimated minimum number of days required to fill the low lying land is \(\_\_\_\_\) (in integer).
\begin{table[h]
\centering
\resizebox{\textwidth{!{%
\begin{tabular{|c|c|c|
\hline
Type of House & Percentage of Households & Equivalent volume of compacted solid waste generated/ household/ day
\hline
LIG & 30% & 0.10 m\(^3\)
MIG & 60% & 0.15 m\(^3\)
HIG & 10% & 0.20 m\(^3\)
\hline
\end{tabular
\label{tab:waste_generation
\end{table
Rose window is a characteristic feature of:
The schematic diagram of a unitary air-conditioner operating in cooling mode is shown in the following Figure. The component \( P \) marked in the figure represents:

Titan Integrity Campus, Bengaluru is designed by:
With reference to the Figure below, which of the following labelling is/are correct?

Which of the following buildings has/have pendentives as a structural element?
Polytetrafluoroethylene (PTFE) coated fiberglass has been used as a roofing membrane in which of the following?
A non-stop express elevator directly connects the observatory level at the 80\(^{th}\) floor of a tower with the podium at the 2\(^{nd}\) floor level. The tower has a uniform floor-floor height of 4 m. The elevator attains a maximum speed of 8 m/s. Assume 2 m/s\(^2\) as net vertical acceleration and net vertical deceleration (incorporating gravity). If the elevator starts from a state of rest from the podium, the time taken to reach the observatory, in seconds, is ______ (rounded off to one decimal place).
Match the elements in Group–I with the corresponding religious buildings in Group–II.
% Table
\begin{table[ht]
\centering
\begin{tabular{|c|l|c|l|
\hline
\multicolumn{2{|c|{\large Group-I & \multicolumn{2{c|{\large Group-II
\hline
(P) & \large Bell capital & (1) & \large Mosque
(Q) & \large Mehrab & (2) & \large Hindu Temple
(R) & \large Gopuram & (3) & \large Greek Temple
(S) & \large Pediment & (4) & \large Romanesque Church
\hline
& & (5) & \large Egyptian Temple
\hline
\end{tabular
\end{table
Match the museums in Group-I with their architects in Group-II.
% Adjust table to fit page
\begin{table[h]
\centering
\setlength{\tabcolsep{5pt % Default value: 6pt
\renewcommand{\arraystretch{1.5 % Default value: 1
\begin{tabular{|c|l|c|l|
\hline
Group-I & Museum & Group-II & Architect
\hline
(P) & Indira Gandhi Rashtriya Manav Sangrahalaya, Bhopal & (1) & Charles Correa
(Q) & Bihar Museum, Patna & (2) & Ram Sharma
(R) & Gandhi Memorial Museum, Ahmedabad & (3) & Romi Khosla
(S) & Museum of Art and Photography, Bengaluru & (4) & Soumitro Ghosh \& Nisha Mathew
\multicolumn{2{|c|{ & (5) & Fumihiko Maki
\hline
\end{tabular
\label{tab:museum_architects
\end{table
Match the specially shaped bricks in Group-I with their corresponding nomenclature in Group-II.

Which of the following statements is/are correct?
Which of the following statements is/are correct?
A \( 5 \, m \) long Aluminium tie rod of cross-section \( 0.20 \, m \times 0.04 \, m \) is subjected to a tensile force induced by its self-weight of \( 21.20 \, kg/m \) considering gravitational acceleration of \( 10 \, m/s^2 \). If tensile Young's modulus of Aluminium is \( 70,000 \, MPa \), the maximum tensile strain in the rod is ______ \( \times 10^{-6} \) (rounded off to two decimal places).

The following figure shows the excavation plan of a two-room structure, where the trench has a uniform width of \( 1.10 \, meters \). If the cumulative center line length of the trench is \( 41.10 \, meters \) and the required depth of concrete to be poured is \( 0.30 \, meters \), the \textit{volume of concrete in the foundation, in cubic meters, will be __________ (rounded off to two decimal places).

The decay of sound in an enclosed lecture hall of volume \( 3500 \, m^3 \) is shown in the figure below. The sound source is switched off at point \( P \). Using the Reverberation Time (\( RT_{60} \)) obtained from the figure, the calculated total sound absorption of the hall, in Sabins, is __________ (rounded off to the nearest integer).

A 2 TR window air-conditioner of Energy Efficiency Ratio (EER) \( 3.1 \) is catering to a room of volume \( 40 \, m^3 \). The air-conditioner is operational for \( 600 \, hours \) during summer on cooling mode. The compressor is also operational for the complete duration. The \textit{total energy consumption of the air-conditioner during the above-mentioned period, in \( kWh \), is __________ (rounded off to the nearest integer).
Which of the following aims is set under the SVAMITVA scheme of the Ministry of Panchayati Raj, Government of India?
Mass Rapid Transit System is a
Which of the following initiatives of the Government of India is also known as the National Master Plan for Multi-modal Connectivity?
With reference to the Speed-Density diagram given below, which of the following statements is/are correct?

Which of the following statements correctly represent(s) the Demographic dividend of a country?
As per the URDPFI Guidelines 2015, choose the option(s) which indicates the appropriate hierarchy of plans from higher to lower order.
In 2021, a city survey report revealed a sex ratio of 940 with an estimated increase of 2.16% over the next 20 years. In 2041, the total population of the city is projected to be 150,000. The estimated female population in the year 2041 will be (in integers).
Match the terms in Group-I with their descriptions in Group-II.
Match the following illustrations in Group–I with their corresponding concepts in Group–II.

Which of the following methods is/are used in traffic survey to measure the Running Speed and Journey Speed?
In the context of regional planning, which of the following terms represent(s) a region?
In a one-way single lane traffic stream, the observed average time headway is \( 2.5 \) seconds. The \textit{traffic flow of the above-mentioned lane, in vehicle/hr, is __________ (in integer).
The demand of an EcoCity theme park is estimated as \( P = 1500 - 7.5Q \), where \( P \) (in Indian Rupees) is the price of a ticket for single entry, and \( Q \) (in integer) is the number of tickets sold per hour. The \textit{maximum revenue per hour along the demand curve, in Indian Rupees, is __________ (in integer).
Labour supply and urban growth are represented in X and Y axes of the figure below. Curve OP represents the relationship between labour supply and urban growth. The ratios \( A:A' \) and \( B:B' \) are \( 1:1.2 \) and \( 3:1.2 \), respectively. If 6 units of labour is supplied in \( B \), then the number of units of urban growth in \( B' \) will be __________ (rounded off to one decimal place).
A city with a present population of \( 1,75,000 \) is expecting an annual population growth rate of \( 0.85% \). In a traffic assessment study, the trip generation model has been developed as \( Y = 142 + 0.675X \), where \( Y \) is the number of daily trips generated within the city and \( X \) is the population of the city. The \textit{number of daily trips to be generated within the city after 10 years is __________ (in integer).










Comments