GATE 2024 Naval Architecture and Marine Engineering Question Paper PDF is available here. IISc Banglore conducted GATE 2024 Naval Architecture and Marine Engineering exam on February 10 in the Forenoon Session from 9:30 AM to 12:30 PM. Students have to answer 65 questions in GATE 2024 Naval Architecture and Marine Engineering Question Paper carrying a total weightage of 100 marks. 10 questions are from the General Aptitude section and 55 questions are from Engineering Mathematics and Core Discipline.
GATE 2024 Naval Architecture and Marine Engineering Question Paper with Answer Key PDF
| GATE 2024 Naval Architecture and Marine Engineering Question Paper with Answer Key PDF | Download PDF | Check Solutions |
GATE 2024 Naval Architecture and Marine Engineering Question Paper Solutions
If '→' denotes increasing order of intensity, then the meaning of the words [dry → arid → parched] is analogous to [diet → fast → ______]. Which one of the given options is appropriate to fill the blank?
If two distinct non-zero real variables \(x\) and \(y\) are such that \((x + y)\) is proportional to \((x - y)\), then the value of \(x/y\):
Consider the following sample of numbers: 9, 18, 11, 14, 15, 17, 10, 69, 11, 13. The median of the sample is:
The number of coins of Rs. 1, Rs. 5, and Rs. 10 denominations that a person has are in the ratio 5:3:13. Of the total amount, the percentage of money in Rs. 5 coins is:
For positive non-zero real variables \(p\) and \(q\), if \[ \log \left(p^2 + q^2\right) = \log p + \log q + 2 \log 3, \]
then, the value of \(\frac{p^4 + q^4}{p^2 q^2}\) is:
In the given text, the blanks are numbered (i)-(iv). Select the best match for all the blanks:
Text: Steve was advised to keep his head _____ (i) before heading _____ (ii) to bat; for, while he had a head _____ (iii) batting, he could only do so with a cool head _____ (iv) his shoulders.
A rectangular paper sheet of dimensions 54 cm x 4 cm is taken. The two longer edges of the sheet are joined together to create a cylindrical tube. A cube whose surface area is equal to the area of the sheet is also taken. Then, the ratio of the volume of the cylindrical tube to the volume of the cube is:
The pie chart presents the percentage contribution of different macronutrients to a typical 2,000 kcal diet of a person. The typical energy density (kcal/g) of these macronutrients is given below:


A rectangular paper of 20 cm × 8 cm is folded 3 times. Each fold is made along the line of symmetry, which is perpendicular to its long edge. The perimeter of the final folded sheet (in cm) is:
The least number of squares to be added in the figure to make AB a line of symmetry is:

The value of the contour integral \[ \oint \frac{dz}{2z - z^2} \]
along the circle \( |z| = 1 \), oriented in the counterclockwise sense is
The tangent plane to the surface \( x^2 + y^2 + z = 9 \) at the point \( (1, 2, 4) \) is:
The value of the line integral \[ \oint (x^2 \, dx + 2x \, dy) \]
along the ellipse \( 4x^2 + y^2 = 4 \), oriented in the counterclockwise sense, is:
The system of linear equations \[ x + 2y + 3z = 4, \quad 2x - y - 2z = a^2, \quad -x - 7y - 11z = a \]
has a solution if the values of \( a \) are:
A ship with a standard right-handed coordinate system has positive \(x\), \(y\), and \(z\) axes respectively pointing towards bow, starboard, and down as shown in the figure. If the ship takes a starboard turn, then the drift angle, sway velocity, and the heel angle of the ship for a steady yaw rate respectively are:

A ship with controls fixed is modeled as a two degrees of freedom system. For the linear maneuvering equations of motion for coupled sway and yaw, if the derived eigenvalues are real and negative, then the ship must possess:
Which one of the following cooling systems is used in large marine diesel engines?
Which one of the following reduces the ratio of vibratory response amplitude to the forcing amplitude, in large stationary engine shaft design?
The GZ curve for a stable ship is shown in the figure, where \( P \) is a point of inflection on the curve. Match the labels in Column 1 with the corresponding descriptions in Column 2.

Consider an initially perfectly straight elastic column with pinned supports at both ends. If \( E \) is the Young's modulus of the material, \( L \) is the length of the column between the supports, and \( I \) is the least moment of inertia of the constant cross-sectional area of the column, then the Euler load is given by:
For a plane strain problem in the \( xy \) plane, it is necessary that:
How many independent material constants in solids are required to define isotropic materials?
Which one of the following is the mass conservation equation?
Identify the type of flow from the time series plots of instantaneous fluid velocity (\( u \)) at a point.

A. I - unsteady turbulent flow;
II - steady turbulent flow;
III - steady laminar flow;
IV - unsteady laminar flow.
B. I - steady turbulent flow;
II - unsteady turbulent flow;
III - unsteady laminar flow;
IV - steady laminar flow.
C. I - steady turbulent flow;
II - unsteady turbulent flow;
III - steady laminar flow;
IV - unsteady laminar flow.
D. I - steady turbulent flow;
II - unsteady laminar flow;
III - unsteady turbulent flow;
IV - steady laminar flow.
Which of the following hull distortion(s) is/are resisted by a ship’s transverse bulkhead?
Which of the following boiler(s) is/are NOT used in a nuclear propulsion system for ships?
Which of the following statement(s) is/are correct about strip theory?
Consider an ideal Rankine cycle as shown in the figure, where \( T \) and \( S \) represent the temperature and entropy respectively. The overall efficiency of the cycle can be improved by:

Which of the following statement(s) is/are correct for a thermodynamic closed system?
The arc length of the one arch of the cycloid given by \( x = t - \sin t \) and \( y = 1 - \cos t \) is _____.
A 10 m long pipe with inlet and outlet diameters of 40 cm and 20 cm respectively, is carrying an incompressible fluid with a flow rate of \( 0.04 \, m^3/s \). The ratio of the velocity at the outlet to that at the inlet is ____ (rounded off to one decimal place).
An 80 m long barge with a rectangular cross-section of 12 m beam and 4 m draft floats at even keel. The transverse metacenter (KM) above the keel is ____ m.
A 100 m long ship has a cruising speed of 25 knots. A geometrically similar model of 4 m length is used for resistance prediction in a towing tank. The corresponding speed of the model is ______ knots.
A cube-shaped pontoon with 200 tonnes of mass placed on it floats with a freeboard of 1 m in fresh water. When the mass is removed, the pontoon floats with a freeboard of 3 m. The length of the pontoon is ____ m (rounded off to two decimal places).
Consider a fluid between two horizontal parallel flat plates 5 mm apart as shown in the figure. The top plate of dimensions 0.5 m \( \times \) 2 m is towed with an applied horizontal force \( F \) of \( 0.01 \, N \), while the infinitely long bottom plate is kept fixed. The horizontal velocity profile between the plates is assumed to be linear. If the dynamic viscosity (\( \mu \)) of the fluid is \( 0.89 \times 10^{-3} \, N-s/m^2 \), then the towing velocity of the top plate is ______ \( m/s \) (rounded off to three decimal places).

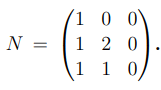
Consider the matrices
and
Which one of the following is true?
A simply supported beam is subjected to a concentrated moment \( M \) at the mid-span as shown in the figure. The magnitude of the bending moment at a distance of \( L/4 \) from the left support \( A \) is equal to:

Consider a two-dimensional ship section as shown in the figure. About the point \( O \), let the sway added mass components be \( a_{22} \) and \( a_{24} \) and roll added moment of inertia be \( a_{44} \). The clockwise roll angle is considered positive. The roll added mass due to roll, about \( P \), which is at a distance \( z_p \) above \( O \), is given by:

A ship with a displacement of 10,000 tonnes has the center of gravity at 4 m above the keel and 1.5 m forward of midship. If 2,000 tonnes of cargo is placed at 10 m above the keel and 1.5 m aft of midship, then the new position of the center of gravity is:
The waterplane area of a ship floating in seawater is \(2000 \, m^2\). The density of seawater is \(1025 \, kg/m^3\). If a mass of \(246 \, tonnes\) is added to the ship, then the TPC (Tonnes Per Centimeter immersion) and increase in draft (in cm) respectively are:
The open water characteristics of a propeller is shown in the figure. Match the labels in Column 1 with the corresponding descriptions in Column 2.

Which one of the following \( p{-}h \) plots represents the ideal vapour compression cycle with intercooling?
\(\textit{Here, \( p \) and \( h \) denote pressure and specific enthalpy respectively.}\)
A steel deck plate of a tanker is supported by two longitudinal stiffeners as shown in the figure. The width of the plate is \( a \) and its length is 5 times the width. Assume that the long edge is simply supported, and the short edge is free. The plate is loaded by a distributed pressure, \( p = p_0 \sin\left(\frac{\pi y}{a}\right) \), where \( p_0 \) is the pressure at \( y = a/2 \). The flexural rigidity of the plate is \( D \). The plate equation is given by

Which one of the following psychrometric processes is represented by the line 1-2 in the figure?

Consider model testing where \( \lambda \) is the prototype-to-model length scale ratio. Let \( v_p \) and \( v_m \) denote the corresponding fluid kinematic viscosities. If Froude and Reynolds similarities are maintained between the prototype and model, then which one of the following is correct?
A uniform flow, a point source of strength \( +\sigma \) at \( (a, 0) \) and a point sink of strength \( -\sigma \) at \( (-a, 0) \) are shown in the figure. The velocity potential \( \phi \) resulting from the superposition of these flow fields is given by

In the solution of statically indeterminate problems, Castigliano’s second theorem employs the
Consider the function \( f(x, y) = x^4 + y^4 - 4xy + 1 \). Which of the following is/are correct?
Consider the \( 2\pi \)-periodic function defined by

Which of the following is/are correct about its Fourier series expansion, \( \frac{a_0}{2} + \sum_{n=1}^\infty a_n \cos nx + b_n \sin nx \)?
Consider the following momentum equation. Let \( A \), \( B \), and \( C \) denote the first, second, and third terms on the left-hand side respectively, and \( D \) and \( E \) denote the first and second terms on the right-hand side respectively. Which of the following statement(s) is/are correct? \[ \rho \left[ \frac{\partial \mathbf{V}}{\partial t} + grad \left( \frac{\mathbf{V}^2}{2} \right) + (curl \mathbf{V}) \times \mathbf{V} \right] = -grad(P + \rho gz) + \mu \nabla^2 \mathbf{V} \]
Consider the flow past a curved wall as shown in the figure. Which of the following statement(s) is/are correct?

If \( X \) is a Poisson random variable with mean \( \mu = 1 \), then the conditional probability of the event \( \{ X \geq 2 \} \) given that the event \( \{ X \geq 4 \} \) has occurred, is _____ (rounded off to two decimal places).
The value of the triple integral \(\iiint (xy^2 + yz^3) \, dx \, dy \, dz\) over the region given by \(-1 \leq x \leq 1\), \(3 \leq y \leq 4\), \(0 \leq z \leq 2\), is _____.
A 4-cylinder, 4-stroke diesel engine operating at 3000 rpm has a compression ratio \(r\) of 12 and cut-off ratio \(r_c\) of 2.5. The temperature rise during the heat addition process is 2400 K. The efficiency of an air-standard diesel cycle is given by: \[ \eta = 1 - \frac{1}{r^{\gamma-1}} \left( \frac{r_c^\gamma - 1}{\gamma (r_c - 1)} \right). \]
Assume the working fluid as air with a mass flow rate of 0.05 kg/s, \(\gamma = 1.4\), and \(C_p = 1.004 \, kJ/kg-K\). The power output of the engine is ___ kW (rounded off to the nearest integer).
A ship travelling in head seas experiences a bending moment of 200 MN-m. The ship’s cross-section is assumed to be a box girder of 30 m beam and 10 m depth with a 10 mm plate thickness. The maximum bending stress is ___ MPa (rounded off to the nearest integer).
A single degree of freedom system has a mass, stiffness, and damping of 200 kg, 20 N/m, and 62 N-s/m respectively. For a forced oscillation system, if the excitation frequency is equal to the undamped natural frequency, then the dynamic magnification factor is ____ (rounded off to three decimal places).
The wave spectrum and the ship heave Response Amplitude Operator (RAO) are shown in the figure. The variance of the heave motion is ____ m\(^2\) (rounded off to three decimal places).

Consider a thin-walled closed cylindrical steel vessel with an internal pressure of \(2 \, N/mm^2\). The inner diameter is \(1 \, m\), and the thickness of the wall is \(10 \, mm\). The hoop stress is ____ \(N/mm^2\) (rounded off to one decimal place).
A propeller disc of diameter \(2 \, m\) produces a thrust of \(88 \, kN\) while advancing at a speed of \(5 \, m/s\) in fresh water of density \(1000 \, kg/m^3\). Based on the axial momentum theory, the propeller efficiency is ____ % (rounded off to one decimal place).
Consider a rectangular plate with in-plane loads. The stress at an arbitrary angle \( \theta \) is given by \( \sigma_x \), \( \sigma_y \), and \( \tau_{xy} \) as shown in the figure. If the principal plane is at \( \theta = 45^\circ \), and the principal stresses are \( \sigma_x = 8 \, N/mm^2 \) and \( \sigma_y = 3 \, N/mm^2 \), then the corresponding \( \tau_{xy} \) is ______ \( N/mm^2. \)

A ship of 5000 tonnes displacement has a rectangular tank 6 m long and 10 m wide, half-filled with oil of relative density 0.8. The virtual reduction in the transverse metacentric height of the ship due to the free surface effect of the oil in the tank is ____ cm.
An ocean wave of period 8 s and height 2 m is propagating in the Indian Ocean from south to north. According to linear wave theory, for the wave to be considered as a deep-water wave, the minimum water depth should be _____ m (rounded off to the nearest integer).
Consider a gas turbine combustor with air as the working fluid. The flow enters the device at 500 K and leaves at 1400 K with a mass flow rate of 0.1 kg/s. The changes in kinetic energy and potential energy of the flow are neglected. Assuming \(C_v = 0.717 kJ/kg-K\) and \(R = 0.287 kJ/kg-K\), calculate the rate of heat addition in kW (rounded off to the nearest integer).
Consider a circular cylinder of diameter 0.5 m and length 2 m, rotating in clockwise direction at a speed of 100 rpm in a flow of velocity 2 m/s. Assume the density of the fluid as 1.225 kg/m\(^3\) and \( \pi = 3.14 \). By Kutta-Joukowski theorem, the lift force on the cylinder is _____\ N (rounded off to the nearest integer).
A new absolute temperature scale is proposed based on a Carnot engine operating between hot and cold reservoirs of temperatures \(T_L\) and \(T_H\) respectively. Let \(Q_L\) and \(Q_H\) be the respective heat transfers, with the relation given by \( \frac{T_L}{T_H} = \frac{Q_L}{Q_H} \). On the new scale, the difference between the steam and ice points of water is 500 units and the efficiency of the engine is 0.268. The steam point of water on this scale is ______ units (rounded off to the nearest integer).









Comments