GATE 2024 Textile Engineering and Fibre Science Question Paper PDF is available here. IISc Banglore is going to conduct GATE 2024 Textile Engineering and Fibre Science exam on February 10 in the Forenoon Session from 9:30 AM to 12:30 PM. Students have to answer 65 questions in GATE 2024 Textile Engineering and Fibre Science Question Paper carrying a total weightage of 100 marks. 10 questions are from the General Aptitude section and 55 questions are from Engineering Mathematics and Core Discipline.
GATE 2024 Textile Engineering and Fibre Science Question Paper with Solution PDF
| GATE 2024 Textile Engineering and Fibre Science Question Paper with Solution PDF | Download PDF | Check Solutions |
Question 1:
If '→' denotes increasing order of intensity, then the meaning of the words [dry → arid → parched] is analogous to [diet → fast → ______]. Which one of the given options is appropriate to fill the blank?
If two distinct non-zero real variables \(x\) and \(y\) are such that \((x + y)\) is proportional to \((x - y)\), then the value of \(x/y\):
Consider the following sample of numbers: 9, 18, 11, 14, 15, 17, 10, 69, 11, 13. The median of the sample is:
The number of coins of Rs. 1, Rs. 5, and Rs. 10 denominations that a person has are in the ratio 5:3:13. Of the total amount, the percentage of money in Rs. 5 coins is:
For positive non-zero real variables \(p\) and \(q\), if \[ \log \left(p^2 + q^2\right) = \log p + \log q + 2 \log 3, \]
then, the value of \(\frac{p^4 + q^4}{p^2 q^2}\) is:
In the given text, the blanks are numbered (i)-(iv). Select the best match for all the blanks:
Text: Steve was advised to keep his head _____ (i) before heading _____ (ii) to bat; for, while he had a head _____ (iii) batting, he could only do so with a cool head _____ (iv) his shoulders.
A rectangular paper sheet of dimensions 54 cm x 4 cm is taken. The two longer edges of the sheet are joined together to create a cylindrical tube. A cube whose surface area is equal to the area of the sheet is also taken. Then, the ratio of the volume of the cylindrical tube to the volume of the cube is:
The pie chart presents the percentage contribution of different macronutrients to a typical 2,000 kcal diet of a person. The typical energy density (kcal/g) of these macronutrients is given below:


A rectangular paper of 20 cm × 8 cm is folded 3 times. Each fold is made along the line of symmetry, which is perpendicular to its long edge. The perimeter of the final folded sheet (in cm) is:
The least number of squares to be added in the figure to make AB a line of symmetry is:

The approximate value of the integral \( \int_{2}^{3} \frac{dx}{x} \) using Simpson's rule with \( h = 0.5 \) is:
The differential equation \( \frac{dy}{dx} = \frac{M(x,y)}{N(x,y)} \) is exact if:
The value of the integral \( \int_{0}^{\infty} \frac{dx}{e^x + e^{-x}} \) is:
Amongst the following polymers, the one with the lowest glass transition temperature is:
Amongst the following fibre forming polymers, the one which is synthesised by chain growth polymerisation is:
The purpose of opening in blowroom is:
Amongst the following, forward as well as reverse rotary motion in cotton combing is given to:
A circular weft knitting machine with 24 inch gauge and 20 inch diameter needle bed is used to make a tubular knitted fabric. If the fabric shrinks by 35% in course-wise direction upon withdrawal from the machine, the circumference (inch) of the shrunken tubular fabric is approximately:
A winder operates at 750 m/min with 93% efficiency. Time (min) taken for the winder to wind 1.2 kg of 20 tex yarn is approximately:
With reference to Shirley stiffness tester, the relationship between the fabric bending length (C) and the overhanging length (L) at the standard angle of deflection of 41.5° is approximately:
An evenness tester, working on capacitance principle, provides:
Amongst the following, the chemical used for bleaching of cotton fabric in acidic medium is:
In a discharge printing process, two dyes of different colours, one with high dischargeability (HD) and another with low dischargeability (LD), are to be considered. The correct statement regarding the selection of dyes is:
Amongst the following, the nitrogen containing fibre(s) is/are:
As the package builds up in a roving frame, the component(s) whose speed DOES NOT remain constant, amongst the following, is/are:
Amongst the following, the correct condition(s) that will reduce bumping during weaving is/are:
With reference to the principles of yarn hairiness measurement, the correct statement(s), amongst the following, is/are:
A fluorocarbon-based soil release finish consists of alternating hydrophobic blocks and hydrophilic blocks arranged side by side on fabric surface. The correct statement(s) amongst the following is/are:
If \( g(x) \) is a continuous function such that \[ \int_{a}^{b} g(x) \, dx = \beta \]
then the correct statement(s), amongst the following, is/are:
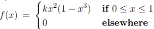
A continuous random variable X has the following probability density function
. If the mean of X is 0.64, then the value of k (rounded off to 2 decimal places) is:
Poly(ethylene terephthalate) has a number average molecular weight of 25000. The degree of polymerisation (rounded off to the nearest integer) is:
A cotton yarn of 20 tex count is replaced by a polyester yarn such that both the yarns have the same diameter and same packing density. Assuming densities of cotton and polyester fibers as 1.52 g/cm\(^3\) and 1.38 g/cm\(^3\), respectively, the count (tex) of the polyester yarn (rounded off to 2 decimal places) is:
A knitted fabric is prepared from a yarn of 15 tex count. The fabric has 16 courses/cm, 17 wales/cm and 2.6 mm loop length. The areal density (g/m\(^2\)) of the fabric (rounded off to the nearest integer) is:
A 59.05 Ne cotton yarn, a 20 tex polyester/cotton blended yarn and a 90 denier polyester filament are twisted together to obtain a 3-ply yarn. Assuming there is no twist contraction, the resultant count (Ne) of the 3-ply yarn (rounded off to 2 decimal places) is:
One kg bone-dry cotton fabric is padded with water to obtain 80% wet pick up. The temperature of the wet fabric after padding is 30°C. Assume the specific heat of water to be 1 cal/(g·°C), the latent heat of evaporation of water to be 540 cal/g, and the specific heat of cotton to be 0.3 cal/(g·°C). The energy (kcal) required to dry the fabric completely (in integer) is:
The three eigenvalues of the matrix

are \( \lambda_1 = 5 \) and \( \lambda_2 = \lambda_3 = -3 \). The value of \( x \) is:
A scientist wants to find the root of the equation \[ 2x^3 + x^2 - 1 = 0 \]
lying in (0,1). He applies the Secant method only once by taking two initial guesses 0.5 and 0.7. The value of the root is approximately:
Determine the correctness or otherwise of the following Assertion [a] and Reason [r]:
[a]: Nylon 6 should be thoroughly dried before melt spinning.
[r]: The glass transition temperature of Nylon 6 decreases in presence of moisture.
Determine the correctness or otherwise of the following Assertion [a] and Reason [r]:
[a]: Cotton does not exhibit melting behaviour when exposed to flame.
[r]: Cotton is not crystalline enough to exhibit melting behaviour.
Amongst the different zones in a carding machine, if
P draft between feed roller and taker-in
Q = draft between taker-in and cylinder
R= draft between cylinder and doffer
then the drafts follow the order
Group I lists yarn manufacturing technologies and Group II contains typical structural features of the yarns. Match the manufacturing technology with the structural features of the yarn.

Group I lists weaving machine-related parameters, and Group II contains the shortcomings of these parameters. Match the machine-related parameter with its shortcoming.

Determine the correctness or otherwise of the following Assertion [a] and Reason [r]:
[a]: The variability of fibre diameter in melt-blown nonwoven fabric is remarkably higher than that in spunbond nonwoven fabric.
[r]: Hot air attenuation in the melt-blown process is responsible for high variation in fibre diameter.
A print paste for pigment printing of cotton fabric is prepared by using a synthetic thickener. The suitable chemical, amongst the following, to build the viscosity of the print paste is:
Consider the following diagram where an oil droplet is formed on a fabric immersed in water. At equilibrium, the balance of various interfacial forces acting on the droplet is given by the following equation:
\[ \gamma_{FW} = \gamma_{FO} + \gamma_{OW} \cos\theta \]
When a surfactant is added to water, assuming that \( \gamma_{OW} \) and \( \gamma_{FO} \) remain unchanged, the following happens:

Polymer melt flowing through a capillary exhibits die-swell. The correct statement(s), amongst the following, is/are:
Amongst the given options, the spinning technology(ies) in which the concept of spinning triangle exists is/are:
Consider the following equation \( C = C_1 + C_2 - C_1C_2 \) where \( C \) stands for fractional cover of a fabric, \( C_1 \) denotes the fractional cover of warp and \( C_2 \) refers to the fractional cover of weft. Amongst the given options, the fabric structure(s) in which the aforesaid equation is valid is/are:
With reference to the KES FB-1 system, the correct statement(s) amongst the following is/are:
With reference to cotton fibre testing systems, the correct statement(s) amongst the following is/are:
Amongst the given options, the condition(s) which will increase the equilibrium wicking height of water in a yarn is/are:
Consider the following equilibrium dyeing isotherms for dyeing of polyester with a disperse dye at 100 °C and 120 °C. Amongst the following, the correct statement(s) is/are:

Amongst the following, the property(ies) of a disperse dye that allow(s) it to be applied on polyester by thermofixation method is/are:
Consider the following function:

If \( f(x) \) is continuous at \( x = 1 \), the value of \( k \) (correct up to 2 decimal places) is:
A textile company decides to find the coefficient of correlation (\( r \)) between fibre quality (\( X \)) and yarn quality (\( Y \)). The company randomly selects 10 samples and observes the following: \( \Sigma X = 50 \), \( \Sigma Y = 40 \), \( \Sigma X^2 = 260 \), \( \Sigma Y^2 = 228 \), \( \Sigma XY = 222 \), and \( r(X,Y) = 0.84 \). If the correct pairs (\( X = 4, Y = 11 \)) and (\( X = 6, Y = 9 \)) are taken wrongly as (\( X = 6, Y = 15 \)) and (\( X = 4, Y = 5 \)), respectively, then the correct value of \( r(X,Y) \), rounded off to 2 decimal places, is:
Three melt-spun fibre samples A, B, and C produced from the same polymer under different conditions are found to have densities 1.10 g/cm³, 1.15 g/cm³, and 1.20 g/cm³, respectively. If the mass fraction based degree of crystallinity (\( x_c \)) of A and C is 0.45 and 0.75, respectively, then \( x_c \) for B (rounded off to 2 decimal places) is:
A 200 m long bone-dry Nylon fibre with circular cross-section and density of 1.2 g/cm³, absorbs 0.003 g moisture. If the moisture content of the fibre becomes 4% after moisture absorption, then the diameter (μm) of bone-dry Nylon fibre (rounded off to 1 decimal place) is:
A parallel fibre strand of 30 tex count is coming out from the nip of the front delivery rollers of a ring spinning machine. This strand is given twist to produce a yarn such that the length of the yarn becomes 0.95 times the length of the parallel fibre strand. If 600 turns are present in 1 m length of the yarn, then the twist factor (tpm .tex^{0.5}) of the yarn
(rounded off to the nearest integer) is:
A plied yarn is prepared by twisting two single yarns (A and B). Yarn A has a mean count of 20 tex and a coefficient of variation (CV) of count of 20%. Yarn B has a mean count of 30 tex and a CV of count of 10%. Neglecting twist contraction during plying, the CV (%) of the count of the plied yarn (in integer) is:
A plain woven fabric with square construction, prepared from yarns of 0.2 mm diameter, has a fractional cover of 0.7. The distance (mm) between the two adjacent ends (rounded off to 2 decimal places) is:
Two shuttle looms (A and B), running at the same picks per minute, have the same mass of sley and associated system for beat up. The crank radius (\(r\)) and the eccentricity ratio (\(e\)) of the looms are \(r_A = 10\) cm, \(e_A = 0.5\); \(r_B = 6\) cm, \(e_B = 0.4\). The ratio of the beat up force of loom A to that of loom B (rounded off to 1 decimal place) is:
A polyester fiber of circular cross-section has a density of 1.38 g/cm³ and a diameter of 20 μm. The fineness (denier) of the fiber (rounded off to 1 decimal place) is:
The relationship between tensile stress (\(\sigma\)) and tensile strain (\(\epsilon\)) of a yarn is given by \(\sigma = 1.5\sqrt{\epsilon}\). If the breaking strain of the yarn is 1.2, the work factor of the yarn (rounded off to 2 decimal places) is:
A ballistic type impact tester is shown below. The test specimen is connected to the bob of the pendulum of 10 N weight. The pendulum is released from a height of 1 m from the base, and this results in the rupture of the test specimen. Considering no frictional losses and neglecting the weight of the connecting rod, if the work of rupture of the specimen is 10 N·m, then the total swing angle (in integer) that the pendulum makes during its travel is:

A 200 m long bone-dry Nylon fibre with circular cross-section and density of 1.2 g/cm\(^3\), absorbs 0.003 g moisture. If the moisture content of the fibre becomes 4% after moisture absorption, then the diameter (\(\mu\)m) of bone-dry Nylon fibre (rounded off to 1 decimal place) is: ________.







Comments