CBSE Class 12 2022 Biology Question Paper Set 3 - 57/5/3 with Answer Key pdf is available for download. The exam was conducted by Central Board of Secondary Education on May 30, 2022 in the Morning Session 10:30 AM to 12:30 PM. The medium of paper was English & Hindi. In terms of difficulty level, CBSE Class 12 Biology paper was of Moderate level. The question paper comprised a total of 13 questions divided among 3 sections.
CBSE Class 12 Biology Question Paper 2022 with Answer Key (May 30, Set 3 - 57/5/3- Morning Session)
| CBSE Class 12 2022 Biology Question Paper PDF | CBSE Class 12 2022 Biology Answer Key PDF |
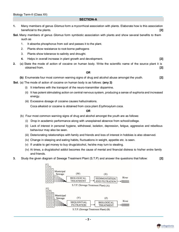
|---|---|
| Download PDF | Download PDF |







Comments