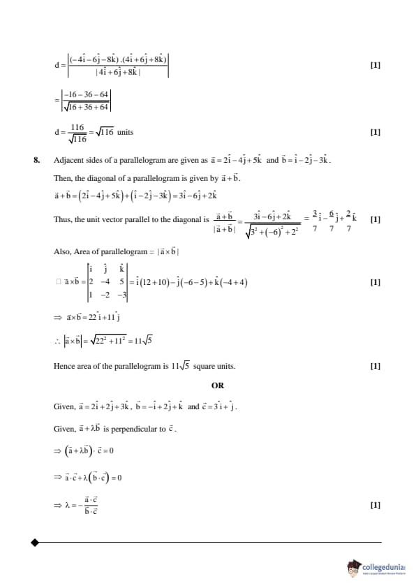
CBSE Class 12 2022 Mathematics Question Paper Set 3 - 65/3/3 with Answer Key pdf is available for download. The exam was conducted by Central Board of Secondary Education on June 7, 2022 in the Morning Session 10:30 AM to 12:30 PM. The medium of paper was English & Hindi. In terms of difficulty level, CBSE Class 12 Mathematics paper was of Moderate level. The question paper comprised a total of 14 questions divided among 3 sections.
CBSE Class 12 Mathematics Question Paper 2022 with Answer Key (June 7, Set 3 - 65/3/3- Morning Session)
| CBSE Class 12 2022 Mathematics Question Paper PDF | CBSE Class 12 2022 Mathematics Answer Key PDF |
|---|---|
| Download PDF | Download PDF |







Comments