The CBSE Class 12th Board Mathematics exam was conducted on 8th March 2025 from 10:30 AM to 1:30 PM.The Mathematics theory paper is worth 80 marks, and the internal assessment is worth 20 marks. The exam included key topics like algebra, calculus, probability, linear programming, vectors, and Three-Dimensional Geometry, which needed a solid conceptual understanding and problem-solving strategy.
Mathematics question paper includes MCQs (1 mark each), short-answer type questions (2 & 3 marks each), and long-answer type questions (4 & 6 marks each) making up 80 marks.
CBSE Class 12 Mathematics Set-1 (65/1/1) Question Paper and Detailed Solutions PDF is available for download here.
CBSE Class 12 Mathematics Question Paper (65/1/1) with Solution PDF
| CBSE Class 12 2025 Mathematics (65/1/1) Question Paper With Answer Key | Download PDF | Check Solution |

If \[ A = \begin{bmatrix} -1 & 0 & 0\\ 0 & 1 & 0\\0 & 0 & 1 \end{bmatrix}, then;\ A^{-1} is: \]
0 & 1 & 0
0 & 0 & 1 \end{bmatrix} \)
View Solution
If vector \( \mathbf{a} = 3 \hat{i} + 2 \hat{j} - \hat{k} \) and \( \mathbf{b} = \hat{i} - \hat{j} + \hat{k} \), then which of the following is correct?
View Solution
Evaluate the integral: \[ \int_{-1}^{1} \frac{|x|}{x} dx, \, x \neq 0 \]
View Solution
Which of the following is not a homogeneous function of \( x \) \text{ and \( y \)?
View Solution
If \( f(x) = |x| + |x - 1| \), then which of the following is correct?
View Solution
If \( A \) is a square matrix of order 2 such that \( det(A) = 4 \), then \( det(4 \, adj \, A) \) is equal to:
View Solution
If \( E \) and \( F \) are two independent events such that \( P(E) = \frac{2}{3} \), \( P(F) = \frac{3}{7} \), then \( P(E \,|\, F) \) is equal to:
View Solution
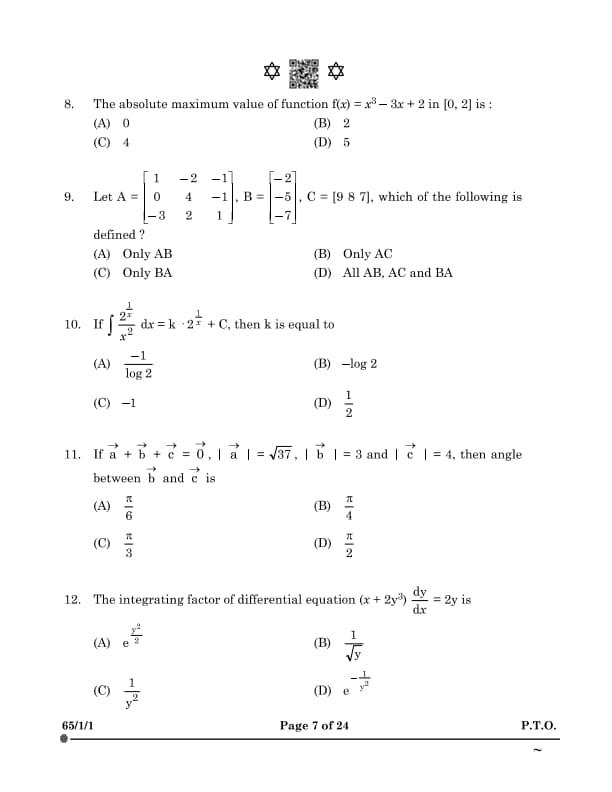
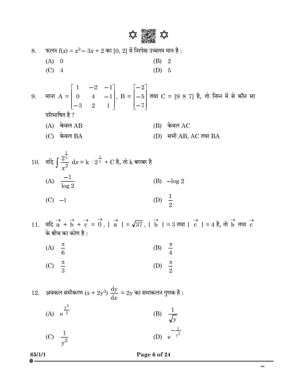
The absolute maximum value of function \( f(x) = x^3 - 3x + 2 \) in \( [0, 2] \) is:
View Solution
Let \( A = \begin{bmatrix} 1 & -2 & -1
0 & 4 & -1
-3 & 2 & 1 \end{bmatrix}, B = \begin{bmatrix} -5
-2 \end{bmatrix}, C = [9 \ 8 \ 7], \) which of the following is defined?
View Solution
If \( \int \frac{1}{2x^2} \, dx = k \cdot 2x + C \), then \( k \) is equal to:
View Solution
If \( \overrightarrow{a} + \overrightarrow{b} + \overrightarrow{c} = 0 \), \( |\overrightarrow{a}| = \sqrt{37} \), \( |\overrightarrow{b}| = 3 \), and \( |\overrightarrow{c}| = 4 \), then the angle between \( \overrightarrow{b} \) and \( \overrightarrow{c} \) is:
View Solution
The integrating factor of the differential equation \( (x + 2y^3) \frac{dy}{dx} = 2y \) is:
View Solution
If \( \begin{bmatrix} 7 & 0
0 & 7 \end{bmatrix} \) is a scalar matrix, then \( x^y \) is equal to:
View Solution
The corner points of the feasible region in graphical representation of a L.P.P. are \( (2, 72), (15, 20) \) and \( (40, 15) \). If \( Z = 18x + 9y \) be the objective function, then:
View Solution
If \( A \) and \( B \) are invertible matrices, then which of the following is not correct?
View Solution
The feasible region of a linear programming problem with objective function \( Z = ax + by \), is bounded, then which of the following is correct?
View Solution
The area of the shaded region bounded by the curves \( y^2 = x, x = 4 \) and the x-axis is given by:
View Solution
The graph of a trigonometric function is as shown. Which of the following will represent the graph of its inverse?
View Solution
Assertion (A): Let \( Z \) be the set of integers. A function \( f : Z \to Z \) defined as \( f(x) = 3x - 5 \), \( \forall x \in Z \), is a bijective.
Reason (R): A function is bijective if it is both surjective and injective.
View Solution
(a) Differentiate \(2\cos^2 x\) w.r.t. \(\cos^2 x\).
View Solution
(b) If \(\tan^{-1}(x^2 + y^2) = a^2\), then find \(\frac{dy}{dx}\).
View Solution
Evaluate: \( \tan^{-1} \left[ 2 \sin \left( 2 \cos^{-1} \frac{\sqrt{3}}{2} \right) \right]\)
View Solution
The diagonals of a parallelogram are given by \( \mathbf{a} = 2 \hat{i} - \hat{j} + \hat{k} \) and
\( \mathbf{b = \hat{i + 3 \hat{j - \hat{k . Find the area of the parallelogram.
View Solution
Find the intervals in which the function \(f(x) = 5x^3 - 3x^2\) is (i) increasing (ii) decreasing.
View Solution
(a) Two friends while flying kites from different locations, find the strings of their kites crossing each other. The strings can be represented by vectors \( \mathbf{a} = 3 \hat{i} + \hat{j} + 2 \hat{k} \) and \( \mathbf{b} = 2 \hat{i} - 2 \hat{j} + 4 \hat{k} \).
Determine the angle formed between the kite strings. Assume there is no slack in the strings.
View Solution
The side of an equilateral triangle is increasing at the rate of 3 cm/s. At what rate is its area increasing when the side of the triangle is 15 cm?
View Solution
Solve the following linear programming problem graphically:
Maximise \( Z = x + 2y \)
Subject to the constraints: \[ x - y \geq 0 \] \[ x - 2y \geq -2 \] \[ x \geq 0, \, y \geq 0 \]
View Solution
(a) Find : \[ I = \int \frac{x + \sin x}{1 + \cos x} \, dx \]
View Solution
(b) Evaluate : \[ I = \int_0^{\frac{\pi}{4}} \frac{dx}{\cos^3 x \sqrt{2 \sin 2x}} \]
View Solution
(a) Verify that lines given by \( \vec{r} = (1 - \lambda) \hat{i} + (\lambda - 2) \hat{j} + (3 - 2\lambda) \hat{k} \) and \( \vec{r} = (\mu + 1) \hat{i} + (2\mu - 1) \hat{j} - (2\mu + 1) \hat{k} \) are skew lines. Hence, find shortest distance between the lines.
View Solution
(b) During a cricket match, the position of the bowler, the wicket keeper and the leg slip fielder are in a line given by \( \vec{B} = 2\hat{i} + 8\hat{j} \), \( \vec{W} = 6\hat{i} + 12\hat{j} \) and \( \vec{F} = 12\hat{i} + 18\hat{j} \) respectively. Calculate the ratio in which the wicketkeeper divides the line segment joining the bowler and the leg slip fielder.
View Solution
(a) The probability distribution for the number of students being absent in a class on a Saturday is as follows: \[ \begin{array}{|c|c|} \hline X & P(X)
\hline 0 & p
2 & 2p
4 & 3p
5 & p
\hline \end{array} \]
Where \( X \) is the number of students absent.
(i) Calculate \( p \).
(ii) Calculate the mean of the number of absent students on Saturday.
View Solution
(b) For the vacancy advertised in the newspaper, 3000 candidates submitted their applications. From the data, it was revealed that two-thirds of the total applicants were females and the other were males. The selection for the job was done through a written test. The performance of the applicants indicates that the probability of a male getting a distinction in the written test is 0.4 and that a female getting a distinction is 0.35. Find the probability that the candidate chosen at random will have a distinction in the written test.
View Solution
Sketch the graph of \( y = |x + 3| \) and find the area of the region enclosed by the curve, x-axis, between \( x = -6 \) and \( x = 0 \), using integration.
View Solution
(a) If \( \sqrt{1 - x^2} + \sqrt{1 - y^2} = a(x - y) \), then prove that \( \frac{dy}{dx} = \frac{\sqrt{1 - y^2}}{\sqrt{1 - x^2}} \).
View Solution
(b) If \( x = a \left( \cos \theta + \log \tan \frac{\theta}{2} \right) \) and \( y = \sin \theta \), then find \( \frac{d^2y}{dx^2} \) at \( \theta = \frac{\pi}{4} \).
View Solution
Find the absolute maximum and absolute minimum of the function \( f(x) = 2x^3 - 15x^2 + 36x + 1 \) on \( [1, 5] \).
View Solution
(a) Find the image \( A' \) of the point \( A(1, 6, 3) \) in the line \( \frac{x - 1}{1} = \frac{y - 1}{2} = \frac{z - 2}{3} \). Also, find the equation of the line joining \( A \) and \( A' \).
View Solution
(b) Find a point \( P \) on the line \( \frac{x + 5}{1} = \frac{y + 3}{4} = \frac{z - 6}{-9} \) such that its distance from point \( Q(2, 4, -1) \) is 7 units. Also, find the equation of the line joining \( P \) and \( Q \).
View Solution
A school wants to allocate students into three clubs: Sports, Music, and Drama, under the following conditions:
- The number of students in the Sports club should be equal to the sum of the number of students in the Music and Drama clubs.
- The number of students in the Music club should be 20 more than half the number of students in the Sports club.
- The total number of students to be allocated in all three clubs is 180.
Find the number of students allocated to different clubs, using the matrix method.
View Solution
A technical company is designing a rectangular solar panel installation on a roof using 300 metres of boundary material. The design includes a partition running parallel to one of the sides dividing the area (roof) into two sections.
Let the length of the side perpendicular to the partition be \( x \) metres and the side parallel to the partition be \( y \) metres.
Based on this information, answer the following questions:
(i) Write the equation for the total boundary material used in the boundary and parallel to the partition in terms of \( x \) and \( y \).
(ii) Write the area of the solar panel as a function of \( x \).
(iii) (a) Find the critical points of the area function. Use the second derivative test to determine critical points at the maximum area. Also, find the maximum area.
OR
(iii) (b) Using the first derivative test, calculate the maximum area the company can enclose with the 300 metres of boundary material, considering the parallel partition.
View Solution
A classroom teacher is keen to assess the learning of her students the concept of "relations" taught to them. She writes the following five relations each defined on the set \( A = \{1, 2, 3\} \): \[ R_1 = \{(2, 3), (3, 2)\}, \quad R_2 = \{(1, 2), (1, 3), (3, 2)\}, \quad R_3 = \{(1, 2), (2, 1), (1, 1)\}, \] \[ R_4 = \{(1, 1), (1, 2), (3, 3), (2, 2)\}, \quad R_5 = \{(1, 1), (1, 2), (3, 3), (2, 2), (2, 1), (2, 3), (3, 2)\}. \]
The students are asked to answer the following questions about the above relations:
(i) Identify the relation which is reflexive, transitive but not symmetric.
\
(ii) Identify the relation which is reflexive and symmetric but not transitive.
(iii) (a) Identify the relations which are symmetric but neither reflexive nor transitive.
OR
(iii) (b) What pairs should be added to the relation \( R_2 \) to make it an equivalence relation?
View Solution
A bank offers loans to its customers on different types of interest rates namely, fixed rate, floating rate, and variable rate. From the past data with the bank, it is known that a customer avails loan on fixed rate, floating rate, or variable rate with probabilities 10%, 20%, and 70% respectively. A customer after availing a loan can pay the loan or default on loan repayment. The bank data suggests that the probability that a person defaults on loan after availing it at fixed rate, floating rate, and variable rate is 5%, 3%, and 1% respectively.
Based on the above information, answer the following:
(i) What is the probability that a customer after availing the loan will default on the loan repayment?
(ii) A customer after availing the loan, defaults on loan repayment. What is the probability that he availed the loan at a variable rate of interest?
View Solution







Comments