CBSE Class 12 Biology Set 1 Question Paper PDF (Set 1- 57/4/1) is now available for download. CBSE conducted the Class 12 Biology examination on March 19, 2024, from 10:30 AM to 1:30 PM. The question paper consists of 33 questions carrying a total of 70 marks. Section A includes 16 MCQs for 1 mark each, Section B contains 5 very short-answer questions for 2 marks each, Section C comprises 7 short-answer questions for 3 marks each, Section D comprises 2 Case-based questions carries 4 marks each and Section E comprises 3 long-answer questions carries 5 marks each.
Candidates can use the link below to download the CBSE Class 12 Biology Set 1 Question Paper with detailed solutions.
CBSE Class 12 Biology Question Paper 2024 (Set 1- 57/4/1) with Answer Key
| CBSE Class 12 2024 Biology Question Paper with Answer Key | Check Solution |
CBSE Class 12 2024 Biology Questions with Solutions
SECTION A
Question 1:
In a fertilized ovule of an angiosperm, the cells in which n, 2n, and 3n conditions respectively occur are:
View Solution
Solution:
• In a fertilized ovule of an angiosperm:
- n (haploid): Present in the antipodal cells.
- 2n (diploid): Present in the zygote formed through fertilization.
- 3n (triploid): Present in the endosperm formed via double fertilization.
• This pattern of ploidy levels is a defining feature of the angiosperm reproductive process.
Question 2:
Select the option that gives the correct identification of ovum, morula, and blastocyst in a human female reproduction system as shown in the following diagram:

View Solution
Solution:
• Ovum: The egg cell that has not been fertilized (A), as depicted in the diagram.
• Morula: A solid mass of cells (E) formed during the early cleavage stages after fertilization.
• Blastocyst: A hollow structure (G) that develops early in mammalian development and later implants into the uterine wall.
Question 3:
Study the table given below:
| Contraceptive/Contraceptive Method | Mode of Action |
|---|---|
| A. The pill | I. Prevent sperm reaching cervix |
| B. Condom | II. Prevent implantation |
| C. Vasectomy | III. Inhibits ovulation |
| D. Copper-T | IV. Semen contains no sperm |
Select the option where contraceptive/contraceptive method are correctly matched with their mode of action.
View Solution
Solution:
• A – The pill: Functions by preventing ovulation (III).
• B – Condom: Stops sperm from reaching the cervix (I).
• C – Vasectomy: Involves cutting or tying the vas deferens, leading to semen without sperm (IV).
• D – Copper-T: Prevents the fertilized egg from implanting in the uterus (II).
Question 4:
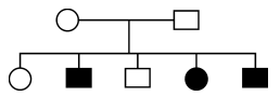
Identify the category of genetic disorder depicted in the pedigree chart given below:

View Solution
Solution: Examine the Pedigree Chart.
- Both males and females are affected, suggesting autosomal inheritance.
- The disorder manifests in siblings but not in the parents, which is typical of a recessive trait.
Final Answer: The genetic disorder shown is autosomal recessive.
Question 5:
Which was the last of the 24 human chromosomes to be completely sequenced?
View Solution
Solution: Review the Human Genome Project-
- Chromosome 1 was the final human chromosome to be fully sequenced due to its large size and complexity. It contains the greatest number of genes and numerous repetitive sequences, making sequencing particularly difficult.
Final Answer: The last chromosome to be entirely sequenced was Chromosome 1.
Question 6:
Study the following diagram of Transverse Section of a young anther of an angiosperm:

View Solution
Solution: Interpret the Anther Diagram-
- Connective tissue joins the two lobes of the anther.
- Endothecium forms the outer wall of the pollen sac.
- Pollen grains are present inside the pollen sac.
Final Answer: The correct identification is A – Connective, B – Endothecium, C – Pollen grain.
Question 7:
Turner's syndrome in humans occurs due to:
View Solution
Solution: About Turner's Syndrome:
- Turner's syndrome is a chromosomal disorder caused by the presence of a single X chromosome (45, XO) instead of two sex chromosomes and a form of aneuploidy, which refers to the loss or gain of chromosomes.
Final Answer: Turner's syndrome is caused by aneuploidy.
Question 8:
Which of the options has correct identification of ‘P', 'Q' and 'R' in the illustration of 'Central Dogma' given below?

View Solution
Solution: The Central Dogma:
- Transcription (P): DNA to mRNA.
- mRNA (Q): Carries genetic information.
- Translation (R): mRNA to protein.
Final Answer: P – Transcription, Q – mRNA, R – Translation.
Question 9:
Who proposed the mutation theory in favour of organic evolution?
View Solution
Solution: Evolutionary Theories are as follows-
Hugo de Vries proposed the mutation theory, which states that evolution occurs through sudden, heritable changes in an organism's genetic material and These mutations serve as raw material for natural selection.
Final Answer: The mutation theory was proposed by Hugo de Vries.
Question 10:
Study the following list of bioactive substances and their action:
| Bioactive Substance | Role |
|---|---|
| A. Statin | I.Removal of oil stains |
| B. Cyclosporin A | II. Removal of clots from blood vessels |
| C. Streptokinase | III. Lowering of blood cholesterol |
| D. Lipase | IV. Immuno-suppressive agent |
Select the option where contraceptive/contraceptive method are correctly matched with their mode of action.
View Solution
Solution: Match Bioactive Substances to Their Actions-
- Statin: Lowers blood cholesterol (III).
- Cyclosporin A: Acts as an immuno-suppressive agent (IV).
- Streptokinase: Removes clots from blood vessels (II).
- Lipase: Removes oil stains (I).
Final Answer: A – III, B – IV, C – II, D – І.
Question 11:
The ‘molecular scissors' fall in the category of:
View Solution
Solution: About Restriction Enzymes:
- Restriction enzymes, also known as molecular scissors, cut DNA at specific sequences.
- These enzymes are extensively used in genetic engineering and molecular biology.
Therefore, Restriction enzymes are referred to as molecular scissors.
Question 12:
ELISA technique is based on the principle of:
View Solution
Solution:
• ELISA (Enzyme-Linked Immunosorbent Assay) operates based on the principle of antigen-antibody binding to identify specific proteins or antibodies within a sample.
• The interaction between an enzyme-labeled antibody and its corresponding antigen is assessed by color change, which indicates the presence of the antigen.
Question 13:
Assertion (A): A given fig species can be pollinated only by its partner wasp.
Reason (R): The wasp pollinates the fig inflorescence while searching for suitable egg-laying sites.
View Solution
Solution:
• Fig and wasp share a mutualistic relationship where each depends on the other for survival and reproduction.
• Wasps pollinate fig flowers while laying eggs, ensuring mutual benefit.
Question 14:
Assertion (A): Plasmids are autonomously replicating circular extra-chromosomal DNA.
Reason (R): Plasmids are usually present in eukaryotic cells.
View Solution
Solution:
• Plasmids are circular DNA molecules that can replicate independently.
• While they are found in prokaryotic cells, such as bacteria, they are not typically present in eukaryotic cells.
• These plasmids exist separately from chromosomal DNA in prokaryotes.
• Their ability to replicate autonomously allows for the transfer of genetic material between cells.
• Plasmids are essential tools in genetic engineering and biotechnology.
Question 15:
Assertion (A): Patents are granted by governments to an inventor.
Reason (R): Patents prevent others from commercial use of an invention.
View Solution
Solution:
• Patents are legal rights granted to inventors for exclusive use of their inventions.
• The purpose of patents is to prevent unauthorized commercial use and ensure the protection of intellectual property, which directly explains the reason provided.
Question 16:
Assertion (A): Some aquatic ecosystems have inverted biomass pyramids.
Reason (R): More energy is required by organisms occupying higher trophic levels.
View Solution
Solution:
• Inverted biomass pyramids occur in aquatic ecosystems where the biomass of primary consumers exceeds that of producers.
• The energy transfer efficiency in trophic levels determines biomass, not the amount of energy required by higher trophic levels, which makes the reason valid but not explanatory for the assertion.
SECTION – B
Question 17:
Study the graph given below that represents the changes in the thickening of the uterine wall in women ‘X' and women ‘Y' over a period of one month:

What does the graph with respect to women 'X' and women ‘Y' indicate? Give a suitable reason.
View Solution
Correct Answer: Normal and lack of thickening
Solution:
• The graph shows:
- Woman 'X': Normal thickening of the uterine wall due to regular hormonal activity.
- Woman 'Y': Lack of thickening indicates a hormonal imbalance or insufficient estrogen/progesterone secretion.
Question 18(a):
Intensely lactating mothers generally do not conceive. Why?
View Solution
Solution:
• Lactational amenorrhea prevents ovulation during intense lactation.
• Prolactin, the hormone responsible for milk production, suppresses gonadotropin release, thereby preventing the onset of ovulation.
Question 18(b):
Why has our government intentionally imposed strict conditions for MTP (Medical Termination of Pregnancy)?
View Solution
Solution:
• To prevent misuse and ensure MTP is conducted only for genuine medical or legal reasons.
• Protects the health and rights of women.
Question 19(a):
Name the source from which insulin was extracted in earlier times. Why is this insulin no more in use by the diabetic patients?
View Solution
Solution:
• Source: Pancreas of pigs and cows.
• Reason: Animal insulin caused allergic reactions in some patients due to structural differences from human insulin.
Question 19(b):
Why does the insulin synthesized in the human body undergo processing whereas the insulin produced by Eli Lilly company does not need to undergo any processing? Explain.
View Solution
Solution:
• Human insulin is produced as proinsulin and requires processing to remove C-peptide.
• Eli Lilly produces ready-to-use recombinant insulin without requiring further processing.
Question 20(a):
Differentiate between grazing food chain and detritus food chain.
View Solution
Solution:
• Grazing food chain: Begins with producers consumed by herbivores. (e.g., Grass → Deer → Lion)
• Detritus food chain: Begins with decomposers breaking down organic matter. (e.g., Dead leaves → Fungi → Earthworm)
Question 20(b):
Explain Brood parasitism with the help of a suitable example.
View Solution
Solution:
• Brood parasitism: A reproductive strategy where one species lays eggs in the nest of another species.
• Example: Cuckoo lays eggs in crow nests; cuckoo chicks outcompete crow chicks for food.
Question 21(a):
Biodiversity hotspots cover less than 2% of Earth's land area. Strict protection of these areas can reduce the rate of ongoing extinctions. Explain.
View Solution
Solution:
• Biodiversity hotspots are regions rich in endemic species but threatened by habitat loss.
• Protecting hotspots helps conserve numerous species, ensuring ecosystem stability and reducing extinction rates.
Question 21(b):
Name any two hotspots in India.
View Solution
Solution:
• Western Ghats.
• Indo-Burma region.
SECTION – C
Question 22:
Draw a well-labelled diagram of sectional view of male gametophyte/microspore of an angiosperm and write the functions of any two parts labelled. (Any four labels).
View Solution
Answer: The diagram of a male gametophyte/microspore of an angiosperm should include:
Functions:
• Generative cell: Divides to form two male gametes.
• Tube cell: Grows into a pollen tube to facilitate fertilization.
Question 23(a):
A man with blood group ‘A' marries a woman with blood group ‘AB'. The first child born to them has blood group ‘B'. Work out a cross to find the genotype of the father. Give the possible blood groups and their genotypes of the children that could be born to this couple. (Use a Punnet square).
Mother's Genotype: IAIB
View Solution
Solution:
Punnett Square:
| IA | i | |
|---|---|---|
| IA | IAIA | IAi |
| IB | IAIB | IBi |
Children's Blood Groups:
• Blood Group A: IAIA, IAi
• Blood Group B: IBi
• Blood Group AB: IAIB
Question 23(b):
State the basis of ‘ABO' blood grouping in humans.
View Solution
Solution: The ABO blood grouping is based on:
• The presence or absence of antigens (A and B) on the surface of red blood cells.
• The presence of antibodies (anti-A and anti-B) in the plasma.
Question 24(a):
Whose skulls ‘A', 'B', and ‘C' are shown below? Which of the two are more similar to each other?

View Solution
Solution:
• Skull A: Homo sapiens
• Skull B: Neanderthals
• Skull C: Australopithecus
• Skulls A and B are more similar to each other.
Question 24(b):
Name the (i) ape-like (ii) man-like primates that existed 1.5 million years ago.
View Solution
Solution:
• (i) Australopithecus (ape-like)
• (ii) Homo erectus (man-like)
Question 25(a)(i):
Name the group of drugs whose skeletal molecule is shown below:

View Solution
Solution: -Steroids are the drugs whose skeletal molecule is given. -They are characterized by a four-ring carbon structure. -Steroids can be classified into anabolic steroids, which promote muscle growth, and corticosteroids, which are used to treat inflammation and immune disorders.
Question 25(a)(ii):
How are such drugs consumed?
View Solution
Solution: -These drugs are consumed orally, injected, or applied topically.
Question 25(a)(iii):
Name the human body organ affected by the consumption of these drugs.
View Solution
Solution: Liver is affected by the consumption of steroids.
Prolonged use of steroids can lead to liver toxicity, causing conditions like jaundice, liver damage, and in severe cases, liver failure. Steroids can also increase the risk of developing liver tumors or cysts due to their impact on liver function and metabolism.
Question 25(b):
Draw a schematic diagram of an antibody molecule and label any 4 parts. Mention their chemical nature. Name the cells which produce them.
View Solution
Solution:
• Antibodies are Y-shaped molecules produced by B-lymphocytes.
• Chemical Nature: Proteins made of light and heavy polypeptide chains.
Question 26(a):
Explain the role of the following during the sewage treatment: Flocs
View Solution
Solution:
• Flocs: Aggregates of bacteria and fungi used in the secondary treatment to degrade organic matter in sewage.
Question 26(b):
Explain the role of the following during the sewage treatment: Anaerobic sludge digester
View Solution
Solution:
• Anaerobic sludge digester: Breaks down organic matter into methane, CO2, and water during the anaerobic digestion of sludge.
Question 27:
Study the steps shown below, that are carried during a specific technique :

Question 27(a):
Identify the steps ‘A' and ‘D' in the diagram.
View Solution
Solution:
• A: Denaturation of DNA at high temperatures.
• D: Amplification of DNA after 30 cycles.
Question 27(b):
What does ‘B' represent?
View Solution
Solution: Primer annealing is the process where primers bind to their complementary sequences on the single-stranded DNA template.
This occurs during the cooling phase of the PCR cycle, allowing the primers to stabilize the DNA template for the extension step.
The temperature at which primer annealing occurs is crucial for the specificity and efficiency of the PCR amplification.
Question 27(c):
Write what is ‘C’? Name its source organism.
View Solution
Solution:
• C: Taq DNA polymerase.
• Source: Thermus aquaticus.
Question 27(d):
Mention the use of this technique in molecular diagnostics.
View Solution
Solution:
• Used in Polymerase Chain Reaction (PCR) to amplify DNA for genetic testing, disease diagnosis, and forensic analysis.
Question 28(a):
Explain the role of transgenic animals in: Production of Biological Products
View Solution
Solution:
• Transgenic animals are engineered to produce important biological products like proteins and hormones.
• Example: Transgenic cows producing human lactoferrin, which has therapeutic applications.
Question 28(b):
Explain the role of transgenic animals in: Studying Diseases
View Solution
Solution:
• Transgenic animals are used as models to study human diseases and their progression.
• Example: Transgenic mice are commonly used to study cancer, diabetes, and Alzheimer's disease.
Question 28(c):
Explain the role of transgenic animals in: Chemical Safety Testing
View Solution
Solution:
• Transgenic animals are used to test the safety of chemicals and drugs before they are approved for human use.
• Example: Transgenic mice are used to assess the toxicity of new pharmaceutical compounds.
SECTION – D
(Case Based Questions)
Question No. 29 and 30 are case based questions. Each question has 3 subquestions with internal choice in one sub-question. 29. Populations evolve to maximise their reproductive fitness in the habitat in which they live. Ecologists suggest, the life history of organisms have evolved in relations to the constraints imposed by the biotic and abiotic components of the habitat in which they live. This gets reflected in the population growth pattern of all organisms including humans. Study the population growth curves shown in the given graph and answer the questions that follow :

Question 29(a):
Identify the growth curves 'A' and 'B'.
- Curve: Logistic growth curve.
View Solution
Solution: Exponential growth occurs under unlimited resources, showing a J-shaped curve. Logistic growth accounts for environmental constraints and levels off at the carrying capacity (K), forming an S-shaped curve.
Question 29(b):
Mention what the dotted line in the graph indicates and state its importance also.
View Solution
Solution:
• The dotted line represents the carrying capacity (K).
• Importance: Carrying capacity is the maximum population size that an environment can sustain indefinitely. It is determined by resource availability and environmental factors.
Question 29(b) OR:
Growth curve ‘B' shows a different pattern from that of growth curve 'A'. Justify giving one reason.
View Solution
Solution:
• Curve 2018B2019 (logistic growth) differs from curve 2018A2019 (exponential growth) because it incorporates the concept of limited resources and environmental resistance.
• Logistic growth considers population stabilization when reaching the carrying capacity, making it more realistic.
Question 29(c)(i):
Which one of the two curves is more realistic and why?
View Solution
Solution:
• Curve (logistic growth) is more realistic because populations are subject to resource limitations, predation, and environmental constraints.
• Curve (exponential growth) assumes unlimited resources, which is rarely the case in natural ecosystems.
Question 29(c)(ii):
Which one of the two curves is relevant in present days with respect to human population in our country and why?
View Solution
Solution:
• The exponential growth curve (Curve 2018A2019) is more relevant because the human population continues to grow at a rapid rate, often exceeding the carrying capacity temporarily.
• However, environmental resistance like resource depletion and climate change will eventually necessitate stabilization, transitioning to a logistic growth model.
Question 30(a):
Name this RNA product transcribed from the DNA that subsequently translates into a polypeptide of 400 amino acids. Mention the enzyme responsible for transcribing this type of RNA from the DNA.
View Solution
Solution:
• The RNA product is mRNA (messenger RNA).
• Enzyme responsible: RNA polymerase II.
Question 30(b):
Name and explain the process the RNA molecule transcribed from 8000 nucleotide long DNA undergoes to be able to translate a polypeptide of 400 amino acids.
View Solution
Solution:
• Process: Splicing.
• Explanation: During splicing, non-coding regions (introns) are removed from the pre-mRNA, leaving only coding regions (exons) to form mature mRNA. This ensures the correct sequence for translating into a 400 amino acid polypeptide.
Question 30(c):
Write the number of RNA polymerases involved in the transcription of DNA in a prokaryote and eukaryotes.
View Solution
Solution:
• Prokaryotes: One RNA polymerase is involved in transcription.
• Eukaryotes: Three RNA polymerases (RNA polymerase I, II, and III) are involved in transcription.
Question 30(c) OR:
Mention the difference in the site of transcription in a prokaryote and eukaryote cell.
View Solution
Solution:
• Prokaryotes: Transcription occurs in the cytoplasm.
• Eukaryotes: Transcription occurs in the nucleus.
SECTION – E
31. (a) The given diagram shows the sectional view of a seminiferous tubule of Human testis :

Question 31(a)(i):
Name and describe the process depicted in the diagram which results in the development of spermatozoa.
View Solution
Solution:
• Process: Spermatogenesis.
• Description: Spermatogenesis is the process of formation of sperm cells (spermatozoa) from the spermatogonial cells in the seminiferous tubules of the testes. It includes the following stages:
- Multiplication Phase: Mitotic division of spermatogonia to produce primary spermatocytes.
- Growth Phase: Enlargement of primary spermatocytes.
- Maturation Phase: Meiosis to produce haploid spermatids from secondary spermatocytes.
- Differentiation Phase: Spermatids transform into spermatozoa.
Question 31(a)(ii):
Identify the cell where you are seeing a cluster of spermatozoa attached in the diagram. Write the function of the cell.
View Solution
Solution:
• The cell is the Sertoli cell.
• Function: Sertoli cells provide nourishment and structural support to the developing sperm cells. They also secrete inhibin, which regulates spermatogenesis.
31(b): Observe the picture of Commelina plant bearing two types of flowers given above.
Question 31(b)(i) OR:
Identify the two types of flowers labelled ‘A' and ‘B' in the picture.
View Solution
Solution:
• 'A': Chasmogamous flower.
• 'B': Cleistogamous flower.
Question 31(b)(ii) OR:
Compare the two types of flowers with reference to: (1) Characteristic feature (2) Modes of pollination
View Solution
Solution:
• Characteristic feature:
- Chasmogamous flowers: Open flowers, reproductive parts exposed.
- Cleistogamous flowers: Closed flowers, reproductive parts not exposed.
• Modes of pollination:
- Chasmogamous flowers: Cross-pollination facilitated by agents like wind, insects, or water.
- Cleistogamous flowers: Self-pollination occurs as flowers never open.
Question 31(b)(iii) OR:
List any two ‘out breeding devices' in flowering plants. Explain why do plants develop such devices.
View Solution
Solution:
• Out breeding devices:
- Self-incompatibility.
- Production of unisexual flowers.
• Explanation: These devices prevent self-pollination and promote cross-pollination, which enhances genetic diversity and adaptation.
32. (a) Study the schematic diagram given below and answer the questions that follow :
![32(A)]()
Question 32(a)(i):
Identify the polarity from ‘X' to ‘Y' in the mRNA segment shown. Mention how many more amino acids can be added to the polypeptide that is being translated and why.
View Solution
Solution:
• Polarity: 5' to 3' direction.
• Number of additional amino acids: Depends on the number of codons left untranslated on the mRNA.
• Reason: Each codon corresponds to one amino acid, and translation stops when a stop codon is encountered.
Question 32(a)(ii):
Write the initiating codon for translation, its anticodon, and the amino acid it codes for.
View Solution
Solution:
• Initiating codon: AUG.
• Anticodon: UAC.
• Amino acid: Methionine.
Question 32(a)(iii):
Explain the charging of an adaptor molecule. Why this molecule needs to be charged?
View Solution
Solution:
• Charging of tRNA: Aminoacyl-tRNA synthetase attaches a specific amino acid to its corresponding tRNA, forming aminoacyl-tRNA.
• Importance: Charged tRNA ensures accurate addition of amino acids to the growing polypeptide chain during translation.
Question 32(b)(i) OR:
Why is sickle-cell anaemia, a human blood disorder, so named?
View Solution
Solution:
• The disorder causes red blood cells to assume a sickle shape under low oxygen conditions, leading to its name.
Question 32(b)(ii) OR:
Explain the genetic basis that results in the expression of this disorder.
View Solution
Solution:
• It is caused by a point mutation in the -globin gene, where glutamic acid is replaced by valine at the sixth position of the haemoglobin protein.
• The mutated haemoglobin (HbS) polymerizes under low oxygen conditions, leading to cell deformation.
Question 32(b)(iii) OR:
Work out a cross to explain how normal parents may have a sickle-cell anaemic child.
View Solution
Solution:
• When both parents are carriers (HbA HbS), the offspring have a 25% chance of inheriting two sickle-cell alleles (HbS HbS), causing the disorder.
Question 33(a):
Describe the life cycle of HIV from the time of its entry into the human body till full blown AIDS sets in.
View Solution
Solution:
• Entry: HIV enters host cells (CD4+ T-cells) via surface receptors.
• Reverse transcription: Viral RNA is converted into DNA by reverse transcriptase.
• Integration: Viral DNA integrates into the host genome via integrase enzyme.
• Replication: Host machinery synthesizes viral components.
• Assembly and release: New viral particles are assembled and released, infecting other cells.
• Progression to AIDS: Gradual destruction of CD4+ cells leads to weakened immunity and opportunistic infections, culminating in AIDS.
OR
Question 33(b)(i):
Write the symptoms of malaria in humans and explain what causes these symptoms.
View Solution
Solution:
• Symptoms:
- High fever with chills.
- Sweating and headache.
- Nausea and vomiting.
• Cause: The symptoms are caused by the rupture of red blood cells during the release of merozoites and the immune response to parasitic toxins.
Question 33(b)(ii):
Describe the different steps in the sexual mode of reproduction in the life cycle of a malarial parasite.
View Solution
Solution:
• Gametocytes develop in human blood and are taken up by a mosquito during a blood meal.
• Fertilization occurs in the mosquito's gut, forming a zygote.
• The zygote develops into an ookinete and then an oocyst.
• Sporozoites are released from the oocyst and migrate to the salivary glands, ready to infect another human.









Comments