CBSE Class 12 Biology Set 3 Question Paper PDF (57/5/2) is now available for download. CBSE conducted the Class 12 Biology examination on March 19, 2024, from 10:30 AM to 1:30 PM. The question paper consists of 33 questions carrying a total of 70 marks. Section A includes 16 MCQs for 1 mark each, Section B contains 5 very short-answer questions for 2 marks each, Section C comprises 7 short-answer questions for 3 marks each, Section D comprises 2 Case-based questions carries 4 marks each and Section E comprises 3 long-answer questions carries 5 marks each.
Candidates can use the link below to download the CBSE Class 12 Biology Set 2 Question Paper with detailed solutions.
CBSE Class 12 Biology Question Paper 2024 (Set 2- 57/5/2) with Answer Key
| CBSE Class 12 2024 Biology Question Paper with Answer Key | Check Solution |
CBSE Class 12 2024 Biology Questions with Solutions
SECTION A
Question 1:
If the sequence of nitrogen bases of the coding strand in a transcription unit is 5' – ATGAATG – 3', the sequence of bases in its RNA transcript would be:
View Solution
The RNA transcript is complementary to the template strand and identical to the coding strand (except that uracil (U) replaces thymine (T) in RNA). Therefore, the RNA transcript of the sequence 5' – ATGAATG – 3' is 5' – AUGAAUG – 3'. Quick Tip: Remember: RNA is complementary to the template strand and identical to the coding strand, except that U replaces T.
How many base pairs will be there in 20 nucleosomes in a DNA double helix?
View Solution
Each nucleosome consists of approximately 200 base pairs of DNA. Therefore, for 20 nucleosomes: \[ 20 \times 200 = 4000 \, base pairs. \] Quick Tip: - Each nucleosome = 200 base pairs of DNA. - Total base pairs = Number of nucleosomes \( \times \) 200.
A person with trisomy of 21st chromosome shows:
(i) Furrowed tongue
(ii) Characteristic palm crease
(iii) Rudimentary ovaries
(iv) Gynaecomastia
Select the correct option, from the choices given below:
(A) (ii) and (iv)
(B) (i), (ii) and (iv)
(C) (ii) and (iii)
(D) (i) and (ii)
View Solution
A person with trisomy of 21st chromosome will be afflicted with Down's syndrome. This condition is characterized by a small round head, furrowed tongue, partially open mouth, and characteristic palm crease. Quick Tip: For conditions like Down's syndrome, remember that trisomy 21 leads to physical and developmental traits such as furrowed tongue and palm crease.
Single-step large mutation leading to speciation is also called:
(A) Founder effect
(B) Saltation
(C) Branching descent
(D) Natural selection
View Solution
Saltation refers to a single-step large mutation that leads to the sudden appearance of a new species or significant evolutionary change. It contrasts with gradual evolutionary changes and is proposed by the theory of "mutationism." Quick Tip: - Saltation = Sudden evolutionary change due to a single-step large mutation.
- Contrasts with gradualism, which involves slow and continuous changes.
Observe the schematic representation of assisted reproductive technology given below:

Identify the most appropriate technique depicted in the above diagram.
(A) IUT
(B) IUI
(C) ICSI
(D) ZIFT
View Solution
The diagram represents Intracytoplasmic Sperm Injection (ICSI), where a single sperm is directly injected into the cytoplasm of the egg using a fine needle. This technique is used in cases of severe male infertility or failed fertilization in conventional IVF. Quick Tip: Remember: In ICSI, a single sperm is injected directly into the egg's cytoplasm using a fine needle.
Match the following genes of the lac operon listed in column ‘A’ with their respective products listed in column ‘B’:
| A (Gene) | B (Products) |
|---|---|
| a. ‘i’ gene | (i) β-galactosidase |
| b. ‘z’ gene | (ii) lac permease |
| c. ‘a’ gene | (iii) repressor |
| d. ‘y’ gene | (iv) transacetylase |
Select the correct option:
View Solution
Solution: In the lac operon:
- The ‘i’ gene codes for the repressor protein, which inhibits the operon when lactose is absent.
- The ‘z’ gene produces β-galactosidase, which breaks down lactose into glucose and galactose.
- The ‘a’ gene encodes transacetylase, which helps in lactose metabolism.
- The ‘y’ gene produces lac permease, which facilitates the entry of lactose into the cell.
Which one of the following enzymes a fungal cell should be treated with to get the DNA along with other macromolecules released from it?
(A) Lysozyme
(B) Cellulose
(C) Ribonuclease
(D) Chitinase
View Solution
Fungal cell walls contain chitin as a major component. Treating the cell with the enzyme chitinase breaks down the chitin, releasing the DNA and other macromolecules from the fungal cells. Quick Tip: - Fungal cell walls contain chitin. Use chitinase to break it and extract DNA or macromolecules.
During biological treatment of sewage, the masses of bacteria held together by fungal filaments to form mesh-like structures are called:
(A) Primary sludge
(B) Flocs
(C) Activated sludge
(D) Anaerobic sludge
View Solution
Flocs are masses of bacteria held together by fungal filaments. These structures play a key role in the secondary treatment of sewage by helping in the breakdown of organic matter. Quick Tip: - Flocs = Bacteria + fungal filaments, essential for sewage treatment.
Which one of the following is not a characteristic feature of “humus” that is formed during decomposition of detritus?
(A) Amorphous, colloidal, dark-coloured substance
(B) Amorphous, colloidal, light-coloured substance
(C) Substance resistant to microbial action
(D) Colloidal substance
View Solution
Humus is an amorphous, colloidal, dark-coloured substance that forms during decomposition. It is resistant to microbial action and helps improve soil fertility. Light-coloured substances are not a characteristic of humus. Quick Tip: - Humus = Dark, colloidal, and resistant to microbial decomposition.
- Improves soil fertility by retaining water and nutrients.
Interferons are proteins secreted by:
(A) RBC
(B) WBC
(C) Bacteria infected cell
(D) Virus infected cel
View Solution
Interferons are signaling proteins that are secreted by virus-infected cells in response to viral infections. When a cell becomes infected by a virus, it releases interferons as a defense mechanism. These proteins help neighboring cells to prepare for possible viral infections by stimulating the production of antiviral proteins, thereby enhancing the immune response.
- Option (A) RBC (Red Blood Cells): Incorrect. RBCs do not secrete interferons. Their primary role is to transport oxygen.
- Option (B) WBC (White Blood Cells): Incorrect. WBCs play a critical role in immunity, but they do not secrete interferons directly.
- Option (C) Bacteria infected cell: Incorrect. Interferons are not secreted by bacteria-infected cells. They are specifically produced by virus-infected cells.
- Option (D) Virus infected cell: Correct. Virus-infected cells release interferons to protect neighboring healthy cells from being infected. Quick Tip: Interferons are part of the body’s innate immune response and are crucial for fighting viral infections.
Identify the correct labellings in the figure of a fertilised embryo sac of an angiosperm given below:
![[Diagram of Fertilized Embryo Sac]](https://assets.collegedunia.com/public/image/8_5661ce087f73e9efd23fa33fab089125.png?tr=w-349,h-244,c-force)
View Solution
Solution: The correct labellings in the figure are:
- A represents degenerating synergids as they are no longer needed after fertilization.
- B is the zygote formed after the fusion of the male and female gametes.
- C is the primary endosperm nucleus (PEN) formed by the fusion of a sperm with two polar nuclei.
- D represents degenerating antipodals as their function is complete.
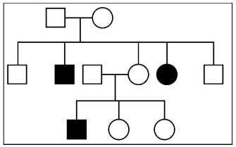
Study the pedigree chart of a family showing the inheritance pattern of a certain disorder. Select the option that correctly identifies the nature of the trait depicted in the pedigree chart:
![[Diagram of Pedigree Chart]](https://assets.collegedunia.com/public/image/9_946f4d316d44ce2b6e158a4823a20e33.png?tr=w-335,h-209,c-force)
View Solution
Solution: The disorder depicted in the pedigree chart follows an autosomal recessive inheritance pattern. This can be inferred from the following observations:
1. The trait skips generations, which is typical for recessive traits.
2. Both males and females are equally affected, indicating an autosomal pattern.
3. The trait is expressed only when an individual inherits two copies of the recessive allele, one from each parent.
Assertion (A): Communities that comprise of more species tend to be more stable.
Reason (R): A higher number of species results in less year-to-year variation in total biomass.
(A) Both (A) and (R) are true and (R) is the correct explanation of (A).
(B) Both (A) and (R) are true, but (R) is not the correct explanation of (A).
(C) (A) is true, but (R) is false.
(D) (A) is false, but (R) is true.
View Solution
The assertion (A) and reason (R) are both true, and the reason correctly explains the assertion. Let's break down why:
- Assertion (A): "Communities that comprise of more species tend to be more stable."
This is true. In ecological studies, it has been observed that biodiversity (the variety of species in a community) contributes to the stability of the ecosystem. More species in a community can create a balance, with different species playing different roles (e.g., herbivores, predators, decomposers), which helps buffer the community against environmental changes and disturbances.
- Reason (R): "A higher number of species results in less year-to-year variation in total biomass."
This is also true. The presence of multiple species helps stabilize the biomass in an ecosystem. If one species experiences a decline due to environmental factors, other species can compensate for the loss, ensuring that the overall biomass remains relatively constant. This buffering effect reduces year-to-year variation in biomass levels.
Thus, the reason (R) explains why communities with more species are more stable, as the diversity of species helps mitigate fluctuations in total biomass.
- Option (A): Correct. Both the assertion and reason are true, and the reason correctly explains the assertion.
- Option (B): Incorrect. Both (A) and (R) are true, but the reason does correctly explain the assertion.
- Option (C): Incorrect. The assertion is true, but the reason is not false.
- Option (D): Incorrect. Both (A) and (R) are true. Quick Tip: Biodiversity enhances ecosystem stability by allowing different species to perform complementary roles, which buffer the community against environmental changes.
Assertion (A): The sugar-phosphate backbone of two chains in DNA double helix show anti-parallel polarity.
Reason (R): The phosphor-diester bonds in one strand go from a 3’ carbon of one nucleotide to a 5’ carbon of adjacent nucleotide, whereas those in complementary strand go vice versa.
(A) Both (A) and (R) are true and (R) is the correct explanation of (A).
(B) Both (A) and (R) are true, but (R) is not the correct explanation of (A).
(C) (A) is true, but (R) is false.
(D) (A) is false, but (R) is true.
View Solution
- Assertion (A): "The sugar-phosphate backbone of two chains in DNA double helix show anti-parallel polarity."
This is true. In the DNA double helix structure, the two strands run in opposite directions, meaning one strand runs from 5' to 3', while the other runs from 3' to 5'. This arrangement is referred to as "anti-parallel polarity." This orientation is critical for the proper pairing of nitrogenous bases in the two strands of DNA, and for the function of enzymes during processes such as DNA replication and transcription.
- Reason (R): "The phosphor-diester bonds in one strand go from a 3’ carbon of one nucleotide to a 5’ carbon of adjacent nucleotide, whereas those in complementary strand go vice versa."
This is also true. In the sugar-phosphate backbone of DNA, the phosphodiester bond connects the 3' carbon of one nucleotide to the 5' carbon of the adjacent nucleotide. In one strand, this bond runs in the 5' to 3' direction, while in the complementary strand, the direction is reversed, with phosphodiester bonds running from 3' to 5'. This ensures the anti-parallel orientation of the two DNA strands.
Therefore, the reason (R) explains the assertion (A) because it describes the directionality of the DNA strands and how their anti-parallel nature arises due to the 5' to 3' orientation of one strand and the 3' to 5' orientation of the other.
- Option (A): Correct. Both the assertion and reason are true, and the reason correctly explains the assertion.
- Option (B): Incorrect. Both (A) and (R) are true, and the reason does explain the assertion.
- Option (C): Incorrect. The assertion is true, but the reason is not false.
- Option (D): Incorrect. Both (A) and (R) are true. Quick Tip: The anti-parallel nature of DNA strands is essential for base pairing and replication. The orientation of the phosphodiester bonds plays a critical role in maintaining the integrity of DNA structure.
Assertion (A): In molecular diagnosis, single-stranded DNA or RNA tagged with radioactive molecule is called a probe.
Reason (R): A probe always searches and hybridises with its complementary DNA in a clone of cells.
(A) Both (A) and (R) are true and (R) is the correct explanation of (A).
(B) Both (A) and (R) are true, but (R) is not the correct explanation of (A).
(C) (A) is true, but (R) is false.
(D) (A) is false, but (R) is true.
View Solution
- Assertion (A): "In molecular diagnosis, single-stranded DNA or RNA tagged with radioactive molecule is called a probe."
This is true. In molecular biology and diagnostics, a probe is a single-stranded DNA or RNA molecule that is labeled with a radioactive or fluorescent tag. This allows it to be detected when it binds to its complementary sequence in a sample. Probes are essential for techniques such as Southern blotting, Northern blotting, and in situ hybridization.
- Reason (R): "A probe always searches and hybridises with its complementary DNA in a clone of cells."
This is also true. Probes are designed to bind, or hybridize, with their complementary DNA or RNA sequences. When introduced into a sample, the probe will bind to its complementary sequence, which can be visualized if it is tagged with a detectable marker (like a radioactive or fluorescent tag). The hybridization process is fundamental in various molecular techniques for identifying specific sequences in a mixture or within a clone of cells.
Therefore, the reason (R) correctly explains the assertion (A) because the primary role of a probe is indeed to hybridize with its complementary sequence, facilitating molecular detection and analysis.
- Option (A): Correct. Both the assertion and reason are true, and the reason correctly explains the assertion.
- Option (B): Incorrect. Both (A) and (R) are true, and the reason does explain the assertion.
- Option (C): Incorrect. The assertion is true, and the reason is not false.
- Option (D): Incorrect. Both (A) and (R) are true. Quick Tip: Probes are vital tools in molecular diagnostics as they allow the detection of specific DNA or RNA sequences, crucial for gene mapping, disease diagnosis, and genetic research.
Assertion (A): AIDS is a syndrome caused by HIV.
Reason (R): HIV is a virus that damages the immune system with DNA as its genetic material.
(A) Both (A) and (R) are true and (R) is the correct explanation of (A).
(B) Both (A) and (R) are true, but (R) is not the correct explanation of (A).
(C) (A) is true, but (R) is false.
(D) (A) is false, but (R) is true.
View Solution
- Assertion (A): "AIDS is a syndrome caused by HIV."
This is true. AIDS (Acquired Immunodeficiency Syndrome) is indeed a syndrome caused by HIV (Human Immunodeficiency Virus). HIV attacks and weakens the body's immune system by targeting CD4 cells (T cells), which are crucial for immune defense. As HIV progresses and the immune system becomes severely compromised, it leads to AIDS, which is characterized by the body’s inability to fight off infections and certain cancers.
- Reason (R): "HIV is a virus that damages the immune system with DNA as its genetic material."
This is false. HIV is a virus that damages the immune system, but its genetic material is RNA, not DNA. HIV belongs to the retrovirus family, and retroviruses are RNA viruses. When HIV infects a cell, it uses an enzyme called reverse transcriptase to convert its RNA into DNA, which then integrates into the host cell’s genome. This process allows the virus to replicate and persist in the host. Thus, HIV has RNA as its genetic material, not DNA.
Because the assertion is true, but the reason is false, the correct answer is option (C).
- Option (A): Incorrect. The assertion is true, but the reason is false. Therefore, the reason does not explain the assertion.
- Option (B): Incorrect. While both the assertion and reason are true in isolation, the reason does not explain the assertion accurately.
- Option (C): Correct. The assertion is true, but the reason is false because HIV carries RNA, not DNA.
- Option (D): Incorrect. The assertion is true, and the reason is false, so this option is incorrect. Quick Tip: HIV is a retrovirus with RNA as its genetic material. It uses reverse transcription to convert its RNA into DNA after infecting a host cell. This is crucial for the replication of the virus.
SECTION B
Question 17:
Answer the questions based on the typical biogas plant diagram given below:

(a) Identify 'X', ‘Y' and ‘Z’.
(b) Why is dung preferred for the production of biogas?
View Solution
Solution:
(a)
• X: Inlet for the slurry (dung mixed with water).
• Y: Gas outlet for biogas collection.
• Z: Outlet for residual slurry (used as manure).
(b) Dung is preferred for biogas production because:
• It contains methanogenic bacteria essential for biogas production.
• It is readily available and provides a continuous supply of organic material for fermentation.
Question 18:
If the base adenine constitutes 31% of an isolated DNA fragment, then write what will be the expected percentage of the base cytosine in it. Explain how did you arrive at the answer given.
View Solution
Solution:
DNA follows Chargaff's rule, which states:
• Adenine (A) pairs with Thymine (T), and their percentages are equal.
• Cytosine (C) pairs with Guanine (G), and their percentages are equal.
• If A = 31%, then T = 31%. Thus, A + T = 62%.
• The remaining percentage (100% - 62% = 38%) is shared equally between C and G. Therefore, C = 19%.
Question 19:
(a) "Farmers prefer apomictic seeds to hybrid seeds.” Justify giving two reasons.
OR
(b) Mention one advantage and one disadvantage of amniocentesis.
View Solution
Solution (a):
Farmers prefer apomictic seeds because:
• Apomictic seeds maintain hybrid vigor over generations without the need for repeated hybridization.
• These seeds save time and cost as they do not require manual intervention for propagation.
Solution (b):
Advantage: Amniocentesis helps detect genetic disorders in the fetus, enabling early diagnosis.
Disadvantage: The procedure carries a small risk of miscarriage or complications.
Question 20:
Observe the population growth curve and answer the questions given below:

(a) State the conditions under which growth curve 'A' and growth curve 'B' plotted in the graph are possible.
(b) Mention what does 'K' in the graph represent.
View Solution
Solution:
(a)
• Growth curve ‘A' represents exponential growth, which occurs when resources are unlimited and environmental constraints are absent.
• Growth curve ‘B' represents logistic growth, which occurs when resources are limited, leading to population stabilization at carrying capacity.
(b) 'K' in the graph represents the carrying capacity of the environment, which is the maximum population size that can be sustained indefinitely with available resources.
SECTION C
Question 21:
5' – GAATTC – 3'
3' – CTTAA↑G – 5'
(a) Name the restriction enzyme that recognizes the given specific sequence of bases. What are such sequences of bases referred to as?
(b) What are the arrows in the given figure indicating? Write the result obtained thereafter.

View Solution
Solution (a):
The restriction enzyme that recognizes the given sequence is EcoRI. Such sequences are referred to as palindromic sequences, which read the same forward and backward on complementary strands.
Solution (b):
The arrows indicate the sites where the restriction enzyme EcoRI cuts the DNA. The result obtained thereafter is the formation of sticky ends, which are single-stranded overhangs that facilitate the joining of DNA fragments during genetic engineering.
Question 22(a):
How is the grazing food chain different from the detritus food chain?
Question 22(b):
"The detritus food chain may be connected to the grazing food chain at some levels in an ecosystem.” Give an example in support of the statement.
View Solution
Solution:
(a) Differences between grazing food chain and detritus food chain:
• The grazing food chain begins with green plants (producers) and herbivores, while the detritus food chain starts with decomposed organic matter.
• Energy flow in the grazing food chain is based on photosynthesis, whereas in the detritus food chain it depends on detritus breakdown by decomposers.
(b) The detritus food chain is connected to the grazing food chain because decomposers and detritivores recycle nutrients into the soil, which are then absorbed by plants in the grazing food chain. Example: Earthworms (detritivores) break down organic matter, enriching the soil for plant growth.
Question 23:
If the cells in the leaves of a maize plant contain 10 chromosomes each, write the number of chromosomes in its endosperm and zygote. Name and explain the process by which an endosperm and a zygote are formed in maize.
View Solution
Solution:
(a) The number of chromosomes in:
• Zygote: 10 chromosomes (formed by fusion of haploid male and female gametes, each with 10 chromosomes).
• Endosperm: 30 chromosomes (formed by the fusion of two polar nuclei and one male gamete, each contributing 10 chromosomes).
(b) Process:
• Zygote Formation (Syngamy): A haploid male gamete fuses with a haploid female egg cell to form a diploid zygote.
• Endosperm Formation (Double Fertilization): One male gamete fuses with two polar nuclei in the embryo sac, forming a triploid (3n) endosperm.
Question 24(a):
Why must a cell be made ‘competent' in biotechnology experiments? How does calcium ion help in doing so?
Question 24(b):
State the role of ‘biolistic gun' in biotechnology experiments.
View Solution
Solution:
(a) A cell must be made 'competent' to allow the uptake of foreign DNA in biotechnology experiments. Calcium ions help by:
• Creating pores in the cell membrane.
• Neutralizing the negative charge on DNA and the cell membrane, facilitating DNA entry into the cell.
(b) The 'biolistic gun' or gene gun is used to introduce foreign DNA into cells by bombarding them with high-velocity microprojectiles coated with DNA. This method is especially useful for plant cells with rigid cell walls.
Question 25(a):
Why does DNA replication occur within a replication fork and not in its entire length simultaneously?
Question 25(b):
“DNA replication is continuous and discontinuous on the two strands within the replication fork.” Explain with the help of a schematic representation.
View Solution
Solution:
(a) DNA replication occurs within a replication fork because:
• DNA polymerase can synthesize new strands only in the 5' to 3' direction.
• Replication proceeds progressively as the DNA helix unwinds at the fork.
(b) DNA replication is:
• Continuous on the leading strand: Synthesized in the 5' to 3' direction towards the replication fork.
• Discontinuous on the lagging strand: Synthesized in fragments (Okazaki fragments) away from the replication fork, which are later joined by DNA ligase.
Question 26:
Expression of different genes for different traits may show dominance, incomplete dominance, or co-dominance. Write about expression of such genes with the help of one example each.
View Solution
Solution:
(a) Dominance: A dominant allele masks the expression of the recessive allele.
Example: In pea plants, tall (T) is dominant over dwarf (t).
(b) Incomplete Dominance: The heterozygous phenotype is intermediate between the two homozygous phenotypes.
Example: In snapdragons, crossing a red flower (RR) with a white flower (rr) produces pink flowers (Rr).
(c) Co-dominance: Both alleles are expressed simultaneously in the heterozygote.
Example: In human blood groups, the AB blood type shows co-dominance, as both A and B alleles are expressed.
Question 27(a):
Tropical regions harbour more species than the temperate regions. How have biologists tried to explain this in their own ways? Explain.
OR
Question 27(b):
(i) What does an ecological pyramid represent?
(ii) The ecological pyramids may have an ‘upright' or an ‘inverted' shape. Justify with the help of suitable examples.
View Solution
Solution (a):
Tropical regions harbour more species than temperate regions due to:
• Stable Climate: Tropical regions have a consistent climate, allowing year-round reproduction and growth.
• Longer Evolutionary Time: These regions have remained undisturbed for millions of years, promoting species diversification.
• High Productivity: High temperature and sunlight lead to greater plant growth, which supports more species.
Solution (b):
(i) An ecological pyramid represents the trophic structure and function of an ecosystem, illustrating the flow of energy, biomass, or number of organisms across different trophic levels.
(ii)
• Upright Pyramid: The energy pyramid is always upright as energy decreases with each trophic level. Example: Grassland ecosystem.
• Inverted Pyramid: The biomass pyramid in aquatic ecosystems is inverted as the biomass of phytoplankton (producers) is smaller than that of zooplankton (primary consumers).
Question 28:
Identify a, b, c, d, e, and f in the table given below:
| Sl. No. | Organism | Bioactive Molecule | Use |
|---|---|---|---|
| 1 | Monascus purpureus | a | b |
| 2 | c | d | Antibiotic |
| 3 | e | Cyclosporin A | f |
View Solution
Solution:
The completed table is as follows:
| Sl. No. | Organism | Bioactive Molecule | Use |
|---|---|---|---|
| 1 | Monascus purpureus | Statins | Lowers blood cholesterol |
| 2 | Streptomyces | Streptomycin | Antibiotic |
| 3 | Trichoderma polysporum | Cyclosporin A | Immunosuppressant |
SECTION D
Question 29:
“Mosquitoes are drastically affecting human health in almost all the developing tropical countries. Different species of mosquitoes cause very fatal diseases so much so that many humans lose their life and if they survive, are unable to put in productive hours to sustain their life. With the result, the health index of the country goes down."
(a) Name the form in which *Plasmodium* gains entry into (i) human body (ii) the female *Anopheles* body.
(b) Why do the symptoms of malaria not appear in a person immediately after being bitten by an infected female *Anopheles*? Give one reason. Explain when and how do the symptoms of the disease appear.
OR
(b) Explain the events which occur within a female *Anopheles* mosquito after it has sucked blood from a malaria patient.
(c) Name a species of mosquito other than female *Anopheles* and the disease for which it carries the pathogen.
View Solution
Solution:
(a)
• (i) In humans, *Plasmodium* enters in the form of sporozoites, which are injected by the female *Anopheles* mosquito during a bite.
• (ii) In the female *Anopheles* body, *Plasmodium* enters in the form of gametocytes, which are taken up with the blood meal from an infected person.
(b) The symptoms of malaria do not appear immediately after the bite because the parasite undergoes an incubation period inside the human liver and blood cells. Symptoms appear 10-14 days later when the parasite multiplies and ruptures red blood cells, releasing toxins. This results in fever, chills, and sweating.
OR
In the female *Anopheles* mosquito, after sucking blood from an infected person:
• The gametocytes of *Plasmodium* develop into sporozoites in the mosquito's gut.
• The sporozoites migrate to the salivary glands of the mosquito, making it ready to infect another human during its next bite.
(c) A mosquito species other than *Anopheles* is *Aedes aegypti*, which carries the pathogen for dengue fever.
Question 30:
In a human female, the reproductive phase starts on the onset of puberty and ceases around the middle age of the female. Study the graph given below regarding the menstrual cycle and answer the questions that follow:

(a) Name the hormones and their source organ, which are responsible for the menstrual cycle at puberty.
(b) For successful pregnancy, at what phase of the menstrual cycle can an early embryo (up to 3 blastomeres) be implanted in the uterus (IUT) of a human female who has opted for Assisted Reproductive Technology (ART)? Support your answer with a reason.
(c) Name the hormone and its source organ responsible for the events occurring during the proliferative phase of the menstrual cycle. Explain the event.
OR
(c) In a normal human female, why does menstruation occur only if the released ovum is not fertilised? Explain.
View Solution
Solution:
(a) The hormones responsible for the menstrual cycle at puberty are:
• FSH (Follicle Stimulating Hormone): Secreted by the anterior pituitary gland, stimulates follicle development.
• LH (Luteinizing Hormone): Secreted by the anterior pituitary gland, triggers ovulation and corpus luteum formation.
• Estrogen and Progesterone: Secreted by the ovaries, regulate the uterine lining during the cycle.
(b) Implantation should occur during the secretory phase (days 15-28) of the menstrual cycle. During this phase, the uterine lining (endometrium) is thick and vascularized due to the action of progesterone, creating a suitable environment for embryo implantation.
(c) The hormone responsible for the proliferative phase is Estrogen, secreted by the developing ovarian follicles. It stimulates the regeneration and thickening of the uterine lining (endometrium) after menstruation.
OR
If the released ovum is not fertilized, the corpus luteum degenerates, leading to a drop in progesterone levels. This causes the uterine lining (endometrium) to break down and shed, resulting in menstruation.
SECTION E
Question 31:

1. Natural selection operates in different ways in nature. Identify the type of natural selection depicted in the graph above.
2. In England after industrialisation, the population of dark-winged moths was more favoured than white-winged moths. Explain.
3. Anthropogenic action can enhance the rate of evolution. Explain with the help of an example.
OR
1. Why did Hershey and Chase use 35S and 32P in their experiment? Explain.
2. State the importance of (1) blending and (2) centrifugation in their experiment.
3. Write the conclusion they arrived at the end of their experiment.
View Solution
Solution (a):
(i) The type of natural selection depicted is directional selection, as one extreme phenotype (dark-winged moth) is favoured over the other (white-winged moth).
(ii) After industrialisation, soot darkened tree trunks. Dark-winged moths were camouflaged and escaped predation, while white-winged moths were easily spotted by predators. This is an example of natural selection.
(iii) Anthropogenic actions like pesticide usage or antibiotic resistance drive evolution. Example: Overuse of antibiotics has led to the evolution of drug-resistant bacteria.
Solution (b):
(i) Hershey and Chase used 35S to label protein and 32P to label DNA to distinguish which molecule entered bacterial cells during viral infection.
(ii)
• Blending: Removed phage particles attached to the bacterial surface.
• Centrifugation: Separated heavier infected bacterial cells from lighter viral components.
(iii) The conclusion was that DNA is the genetic material, as only 32P (DNA) was found inside the bacterial cells.
Question 32(a):
(i) Describe the events of spermatogenesis with the help of a schematic diagram. (ii) Explain the role of hormones in spermatogenesis.
OR
Question 32(b):
(i) Show the development of megaspore mother cell up to the formation of mature embryo sac in flowering plants with the help of labelled diagrams only.
(ii) How does geitonogamy differ from xenogamy?
(iii) Name the type of flowers that are invariably autogamous.
View Solution
Solution (a):
(i) Events of Spermatogenesis:
• Multiplication Phase: Spermatogonia (diploid cells) divide mitotically to form primary spermatocytes.
• Growth Phase: Primary spermatocytes grow in size.
• Maturation Phase: Primary spermatocytes undergo meiosis I to form secondary spermatocytes (haploid), which further undergo meiosis II to form spermatids.
• Differentiation Phase: Spermatids differentiate into mature spermatozoa (sperms).

(ii) Role of Hormones in Spermatogenesis:
• FSH (Follicle-Stimulating Hormone): Stimulates spermatogonia to undergo mitosis and supports Sertoli cells.
• LH (Luteinizing Hormone): Stimulates Leydig cells to secrete testosterone.
• Testosterone: Regulates spermatogenesis and promotes the differentiation of spermatids into spermatozoa.
Solution (b):
(i) Development of Megaspore Mother Cell:

(ii) Difference Between Geitonogamy and Xenogamy:
• Geitonogamy: Transfer of pollen grains from the anther of one flower to the stigma of another flower on the same plant.
• Xenogamy: Transfer of pollen grains from the anther of one flower to the stigma of a flower on a different plant.
(iii) Flowers that are invariably autogamous are cleistogamous flowers.
Question 33(a):
Draw a schematic diagram of the cloning vector pBR 322 and label (1) Bam HI site (2) gene for ampicillin resistance (3) ‘ori' (4) ‘rop' gene.
State the role of ‘rop' gene.
A cloning vector does not have a selectable marker. How will it affect the process of cloning?
Why is insertional inactivation preferred over the use of selectable markers in cloning vectors?
OR
Question 33(b):
Name the nematode (scientific name) that infects the roots of tobacco plant and reduces its yield.
Name the vector that is used to introduce nematode-specific genes into the host plant (tobacco).
How do sense and anti-sense RNAs function?
Why could the parasite not survive in a transgenic tobacco plant?
View Solution
Solution (a):
(i) A schematic diagram of the cloning vector pBR 322 is shown below:

(ii) The 'rop' gene in pBR 322 encodes proteins involved in maintaining the copy number of the plasmid.
(iii) If a cloning vector does not have a selectable marker, it would be difficult to differentiate between transformed and non-transformed cells, complicating the identification of successful clones.
(iv) Insertional inactivation is preferred because it allows direct identification of recombinant colonies. It inactivates a selectable marker gene (e.g., antibiotic resistance), so only recombinant cells are easily identified.
Solution (b):
(i) The nematode that infects the roots of tobacco plants is *Meloidogyne incognita*.
(ii) The vector used to introduce nematode-specific genes into the host plant is *Agrobacterium tumefaciens*.
(iii) Sense and anti-sense RNAs are complementary RNA strands. When expressed together, they form a double-stranded RNA that silences the target nematode gene through RNA interference (RNAi).
(iv) The parasite could not survive in the transgenic tobacco plant because the RNAi mechanism silences the nematode-specific genes, preventing its growth and reproduction.







Comments