CBSE Class 12 Biology Set 3 Question Paper PDF (57/4/3) is now available for download. CBSE conducted the Class 12 Biology examination on March 19, 2024, from 10:30 AM to 1:30 PM. The question paper consists of 33 questions carrying a total of 70 marks. Section A includes 16 MCQs for 1 mark each, Section B contains 5 very short-answer questions for 2 marks each, Section C comprises 7 short-answer questions for 3 marks each, Section D comprises 2 Case-based questions carries 4 marks each and Section E comprises 3 long-answer questions carries 5 marks each.
Candidates can use the link below to download the CBSE Class 12 Biology Set 3 Question Paper with detailed solutions.
CBSE Class 12 Biology Question Paper 2024 (Set 3- 57/4/3) with Answer Key
| CBSE Class 12 2024 Biology Question Paper with Answer Key | Check Solution |
CBSE Class 12 2024 Biology Questions with Solutions
SECTION A
Question 1:
In a fertilized ovule of an angiosperm, the cells in which n, 2n, and 3n conditions respectively occur are:
View Solution
Solution:
• n (haploid): Present in the antipodal cells.
• 2n (diploid): Present in the zygote formed during fertilization.
• 3n (triploid): Present in the endosperm formed through double fertilization.
• This specific distribution of ploidy levels is a distinctive feature of the reproductive process in angiosperms.
Question 2:
Study the following diagram of Transverse Section of a young anther of an angiosperm:

Select the option where parts ‘A’, ‘B’ and ‘C’ are correctly identified
View Solution
Solution:
• A – Connective: Tissue that connects the two lobes of the anther.
• B – Endothecium: The outer layer of the pollen sac that provides structural support.
• C – Pollen grain: The male gametophyte developed within the pollen sac.
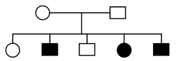
Question 3:
Identify the category of genetic disorder depicted in the pedigree chart given below:

View Solution
Solution:
• The disorder is seen in both males and females, indicating autosomal inheritance.
• It skips generations, suggesting recessive inheritance.
• The affected offspring have parents who are carriers of the recessive allele.
Question 4:
Which of the options has correct identification of ‘P', 'Q', and 'R' in the illustration of 'Central Dogma' given below?

View Solution
Solution:
• Transcription (P): The process by which mRNA is synthesized from a DNA template.
• mRNA (Q): Acts as a blueprint for the synthesis of proteins.
• Translation (R): The process in which the mRNA sequence is translated into a protein.
• The Central Dogma explains the transfer of genetic information from DNA to RNA and then to protein.
Question 5:
Hugo de Vries proposed the mutation theory of organic evolution after his experiments on:
View Solution
Solution: Hugo de Vries observed sudden heritable changes (mutations) while working with the evening primrose plant- Oenothera lamarckiana. His mutation theory proposed that these sudden changes serve as the basis for evolution, introducing new traits into populations.
Question 6:
A list of organisms is given in column ‘R', whereas in column ‘S' a list of products produced by them:
| Column 'R' (Organisms) | Column 'S' (Products) |
|---|---|
| A.Lactobacillus | (i) Cheese |
| B.Saccharomyces cerevisiae | (ii) Curd |
| C.Aspergillus niger | (iii) Citric acid |
| D.Acetobacter aceti | (iv) Bread |
| (v) Acetic acid |
Select the option where the organisms are correctly matched with the product:
View Solution
Solution: The correct matches between the organisms and the products they produce are:
• Lactobacillus – Cheese.
• Saccharomyces cerevisiae – Curd.
• Aspergillus niger – Citric acid.
• Acetobacter aceti – Acetic acid.
Question 7:
Study the table given below:
| Contraceptive | Mode of Action |
|---|---|
| A. The pill | I. Prevent sperm reaching cervix |
| B. Condom | II. Prevent implantation |
| C. Vasectomy | III. Inhibits ovulation |
| D. Copper-T | IV. Semen contains no sperm |
Select the option where contraceptive/contraceptive method are correctly matched with their mode of action:
View Solution
Solution: The contraceptives and their corresponding modes of action are:
• A. The pill – III. Inhibits ovulation.
• B. Condom – I. Prevents sperm from reaching the cervix.
• C. Vasectomy – IV. Semen contains no sperm.
• D. Copper-T – III. Prevents implantation.
Question 8:
Select the option that gives the correct identification of ovum, morula, and blastocyst in a human female reproduction system as shown in the following diagram:

View Solution
Solution:
• Ovum (A): The egg cell that has not been fertilized.
• Morula (E): A solid cluster of cells formed after several rounds of mitotic division.
• Blastocyst (G): A hollow structure formed during early embryonic development that attaches to the uterine wall.
Question 9:
The commonly used vector for human genome sequencing was/were:
View Solution
Solution: BAC (Bacterial Artificial Chromosome) and YAC (Yeast Artificial Chromosome) were used as vectors in the Human Genome Project due to their capacity to clone large fragments of DNA efficiently.
Question 10:
Turner's syndrome in humans occurs due to:
View Solution
Solution: Turner's syndrome is caused by the absence of one X chromosome, resulting in a 45, XO chromosomal pattern. This is a type of aneuploidy, which refers to the presence of an abnormal number of chromosomes.
Question 11:
ELISA technique is based on the principle of:
View Solution
Solution: ELISA (Enzyme-Linked Immunosorbent Assay) detects and quantifies antigens or antibodies using the principle of antigen-antibody interaction. This method is widely used for diagnostic purposes in medical and research fields.
Question 12:
The ‘molecular scissors' fall in the category of:
View Solution
Solution: Restriction enzymes, also known as molecular scissors, cut DNA at specific sequences called recognition sites. These enzymes are essential tools in genetic engineering and molecular biology.
Question 13:
Assertion (A): Plasmids are autonomously replicating circular extra-chromosomal DNA.
Reason (R): Plasmids are usually present in eukaryotic cells.
View Solution
Solution: Plasmids are autonomously replicating circular DNA molecules found in prokaryotic cells, not eukaryotic cells. These plasmids are widely used as vectors in genetic engineering.
Question 14:
Assertion (A): A given fig species can be pollinated only by its partner wasp.
Reason (R): The wasp pollinates the fig inflorescence while searching for suitable egg-laying sites.
View Solution
Solution: The mutualistic relationship between figs and fig wasps involves the wasp pollinating the fig flowers while depositing eggs. This ensures species-specific pollination.
Question 15:
Assertion (A): Some aquatic ecosystems have inverted biomass pyramids.
Reason (R): More energy is required by the organisms occupying higher trophic levels.
View Solution
Solution: Inverted biomass pyramids comes under in aquatic ecosystems because the biomass of primary producers (phytoplankton) is smaller but reproduces rapidly, supporting higher trophic levels. The reason provided is true, but it is not the correct explanation for inverted biomass pyramids. Energy typically decreases with increasing trophic levels, but rapid reproduction of primary producers compensates for their low biomass.
Question 16:
Assertion (A): Patents are granted by the government to an inventor.
Reason (R): Patents prevent others from commercial use of an invention.
View Solution
Solution: Patents are legal rights granted to inventors to protect their innovations, preventing unauthorized commercial use by others. The reason correctly explains the assertion.
SECTION – B
Question 17(a):
Name the first developed transgenic cow.
View Solution
Solution: Rosie was the first transgenic cow developed in 1997. It produced milk enriched with human protein (alpha-lactalbumin), making it more nutritionally suitable for infants.
Question 17(b):
Explain the improvement in the quality of the milk produced by it.
View Solution
Solution: Rosie's milk was enriched with human alpha-lactalbumin, making it nutritionally superior. This milk provided essential proteins required for infant growth and development.
Question 18:
Study the graph given below that represents the changes in the thickening of the uterine wall in women ‘X' and women ‘Y' over a period of one month: (Refer to the provided graph.) What does the graph with respect to woman and woman 'Y' indicate? Give a suitable reason.

View Solution
Solution: The graph shows:
• In woman 'X,' the uterine wall continues to thicken after ovulation, indicating successful implantation and pregnancy.
• In woman 'Y,' the uterine wall thickness reduces after ovulation, indicating no fertilization, leading to menstruation.
Question 19(a):
Mention any two ways by which HIV and Hepatitis-B can be transmitted to a healthy person.
• Through unprotected sexual contact with an infected individual.
• Through sharing needles or other contaminated sharp objects.
View Solution
Solution: Step 1: HIV Transmission.
HIV can be transmitted through sexual contact with an infected person, particularly if there is exposure to infected bodily fluids like semen or blood. Sharing needles used for drug injection can also transmit HIV.
Step 2: Hepatitis-B Transmission.
Hepatitis-B can be transmitted in similar ways, including through unprotected sex with an infected person or through contact with contaminated blood, such as sharing needles.
Question 19(b):
Why is an early detection of these diseases essential?
View Solution
Solution:
• HIV and Hepatitis-B can spread through unprotected sexual contact, blood transfusion, or contaminated syringes.
• Early detection helps in timely management, reduces transmission risk, and improves patient outcomes.
Question 20(a):
Biodiversity hotspots cover less than 2% of Earth's land area. Strict protection of these areas can reduce the rate of ongoing extinctions. Explain.
View Solution
Solution:
• Biodiversity hotspots are regions with a high level of species richness and endemic species under threat due to human activities.
• Protection efforts such as habitat restoration, creating reserves, and sustainable practices help in preserving these species.
Question 20(b):
Name any two hotspots in India.
View Solution
Solution:
• Western Ghats.
• Indo-Burma region.
Question 21(a):
Differentiate between grazing food chain and detritus food chain.
View Solution
Solution:
• Grazing food chain: Begins with producers consumed by herbivores. (e.g., Grass → Deer → Lion)
• Detritus food chain: Begins with decomposers breaking down organic matter. (e.g., Dead leaves → Fungi → Earthworm)
Question 21(b):
Explain Brood parasitism with the help of a suitable example.
View Solution
Solution:
• Brood parasitism: A reproductive strategy where one species lays eggs in the nest of another species.
• Example: Cuckoo lays eggs in crow nests; cuckoo chicks outcompete crow chicks for food.
SECTION – C
Question 22:
Draw a schematic diagram of the 'E.coli' vector pBR 322 and mark the following in it:
- ori
- rop
- ampicillin resistant gene
- tetracycline-resistant gene
- restriction site Bam HI
- restriction site EcoRI
View Solution
Solution: The diagram of the 'E.coli' vector pBR322 should include:

• ori: Origin of replication.
• rop: Codes for proteins to regulate plasmid replication.
• Antibiotic resistance genes for ampicillin and tetracycline.
• Restriction sites: BamHI and EcoRI at specific locations.
Question 23:
How has the use of 'Agrobacterium' as vector helped in controlling 'Meloidogyne incognita' infestation in tobacco plants? Explain in correct sequence.
View Solution
Solution:
• A nematode-specific gene is introduced into the tobacco plant using Agrobacterium tumefaciens.
• The plant produces double-stranded RNA (dsRNA), initiating RNA interference (RNAi).
• RNAi silences the vital genes of Meloidogyne incognita, reducing infestation and damage.
Question 24(a):
Explain the role of the following during the sewage treatment: Flocs
View Solution
Solution:
• Flocs: These are masses of aerobic bacteria and fungi that degrade organic matter, reducing BOD (Biochemical Oxygen Demand) in sewage water.
Question 24(b):
Explain the role of the following during the sewage treatment: Anaerobic sludge digester
View Solution
Solution:
• Anaerobic sludge digester: It processes the settled sludge from the primary treatment under anaerobic conditions, producing biogas (methane, carbon dioxide) as a by-product.
Question 25(a):
Whose skulls ‘A', ‘B", and “C” are shown below? Which of the two are more similar to each other?

View Solution
Solution:
• Skull A: Homo sapiens.
• Skull B: Neanderthals.
• Skull C: Australopithecus.
• Skulls A and B (Homo sapiens and Neanderthals) are more similar to each other.
Question 25(b):
Name the (i) ape-like (ii) man-like primates that existed 1.5 million years ago.
View Solution
Solution:
• (i) Ape-like: Australopithecus.
• (ii) Man-like: Homo erectus.
Question 26(a)(i):
Name the group of drugs whose skeletal molecule is shown below:

View Solution
Solution: -Steroids are the drugs whose skeletal molecule is given. -They are characterized by a four-ring carbon structure. -Steroids can be classified into anabolic steroids, which promote muscle growth, and corticosteroids, which are used to treat inflammation and immune disorders.
Question 26(a)(ii):
How are such drugs consumed?
View Solution
Solution: -These drugs are consumed orally, injected, or applied topically.
-They can have various therapeutic uses, such as treating inflammation, hormone imbalances, and autoimmune diseases.
-However, prolonged or excessive use can lead to side effects, including liver damage, hormonal imbalances, and increased risk of cardiovascular diseases.
Question 26(a)(iii):
Name the human body organ affected by the consumption of these drugs.
View Solution
Solution: Liver is affected by the consumption of steroids. Prolonged use of steroids can lead to liver toxicity, causing conditions like jaundice, liver damage, and in severe cases, liver failure. Steroids can also increase the risk of developing liver tumors or cysts due to their impact on liver function and metabolism.
Question 26(b):
Draw a schematic diagram of an antibody molecule and label any 4 parts. Mention their chemical nature. Name the cells which produce them.
View Solution
Solution:
• Antibodies are Y-shaped molecules produced by B-lymphocytes.
• Chemical Nature: Proteins made of light and heavy polypeptide chains.
Question 27:
A pea plant with purple flowers, when crossed with a plant with white, produced 50 plants with only purple flowers. On selfing these plants produced 482 plants with purple flower and 162 with white flowers. Explain the pattern of inheritance with the help of Punnett square.
View Solution
Solution: The first generation (F1) produced only purple-flowered plants because purple is dominant. In the second generation (F2), the ratio of purple to white flowers is approximately 3:1.
P : PP(purple) × pp(white) F1: All Pp (purple)
F2 generation cross:
Pp × Pp gives: PP, Pp, Pp, pp.
Phenotypic ratio: 3 (purple):1 (white).
Question 28:
Draw a well-labelled diagram of sectional view of male gametophyte/microspore of an angiosperm and write the functions of any two parts labelled. (Any four labels).
View Solution
Correct Answer: The diagram should include:

Solution:
Functions:
- Vegetative nucleus: Controls pollen tube growth.
- Generative nucleus: Divides to form two male gametes for fertilization.
SECTION – D
(Case Based Questions)
Question 29(a):
Name this RNA product transcribed from the DNA that subsequently translates into a polypeptide of 400 amino acids. Mention the enzyme responsible for transcribing this type of RNA from the DNA.
• RNA product: mRNA.
• Enzyme: RNA polymerase II.
View Solution
Solution: mRNA is transcribed from DNA and carries the genetic information for protein synthesis. RNA polymerase II is responsible for transcribing protein-coding genes in eukaryotes. This process is called transcription.
Question 29(b):
Name and explain the process the RNA molecule transcribed from 8000 nucleotide long DNA undergoes to be able to translate a polypeptide of 400 amino acids.
View Solution
Solution:
• Process: Splicing.
• Explanation: During splicing, non-coding regions (introns) are removed from the pre-mRNA, leaving only coding regions (exons) to form mature mRNA. This ensures the correct sequence for translating into a 400 amino acid polypeptide.
Question 29(c):
Write the number of RNA polymerases involved in the transcription of DNA in a prokaryote and eukaryotes.
View Solution
Solution: - Prokaryotes rely on a single RNA polymerase for synthesizing all types of RNA (mRNA, tRNA, and rRNA).
- Eukaryotes have specialized RNA polymerases:
- RNA polymerase I synthesizes rRNA.
- RNA polymerase II synthesizes mRNA.
- RNA polymerase III synthesizes tRNA and some small RNAs.
Question 29(c) OR:
Mention the difference in the site of transcription in a prokaryote and eukaryote cell.
- In eukaryotes, transcription occurs in the nucleus.
View Solution
Solution: - Prokaryotes lack a defined nucleus, so transcription occurs directly in the cytoplasm where translation can occur simultaneously.
- Eukaryotes have a defined nucleus where transcription occurs, separating it from translation which happens in the cytoplasm.
Read the following passage : Populations evolve to maximise their reproductive fitness in the habitat in which they live. Ecologists suggest, the life history of organisms have evolved in relations to the constraints imposed by the biotic and abiotic components of the habitat in which they live. This gets reflected in the population growth pattern of all organisms including humans. Study the population growth curves shown in the given graph and answer the questions that follow :

Question 30(a):
Identify the growth curves 'A' and 'B'.
- Curve: Logistic growth curve.
View Solution
Solution: Exponential growth occurs under unlimited resources, showing a J-shaped curve. Logistic growth accounts for environmental constraints and levels off at the carrying capacity (K), forming an S-shaped curve.
Question 30(b):
Mention what the dotted line in the graph indicates and state its importance also.
View Solution
Solution:
• The dotted line represents the carrying capacity (K).
• Importance: Carrying capacity is the maximum population size that an environment can sustain indefinitely. It is determined by resource availability and environmental factors.
Question 30(b) OR:
Growth curve ‘B' shows a different pattern from that of growth curve 'A'. Justify giving one reason.
View Solution
Solution:
• Curve (logistic growth) differs from curve (exponential growth) because it incorporates the concept of limited resources and environmental resistance.
• Logistic growth considers population stabilization when reaching the carrying capacity, making it more realistic.
Question 30(c)(i):
Which one of the two curves is more realistic and why?
View Solution
Solution:
• Curve (logistic growth) is more realistic because populations are subject to resource limitations, predation, and environmental constraints.
• Curve (exponential growth) assumes unlimited resources, which is rarely the case in natural ecosystems.
Question 30(c)(ii):
Which one of the two curves is relevant in present days with respect to human population in our country and why?
View Solution
Solution:
• The exponential growth curve (Curve 2018-2019) is more relevant because the human population continues to grow at a rapid rate, often exceeding the carrying capacity temporarily.
• However, environmental resistance like resource depletion and climate change will eventually necessitate stabilization, transitioning to a logistic growth model.
SECTION – E
Question 31(a):
31. (a) Study the schematic diagram given below and answer the questions that follow :

(i) Identify the polarity from ‘X' to ‘Y' in the mRNA segment shown. Mention how many more amino acids can be added to the polypeptide that is being translated and why.
View Solution
Solution:
• Polarity: 5' to 3' direction.
• Number of additional amino acids: Depends on the number of codons left untranslated on the mRNA.
• Reason: Each codon corresponds to one amino acid, and translation stops when a stop codon is encountered.
Question 31(a)(ii):
Write the initiating codon for translation, its anticodon, and the amino acid it codes for.
View Solution
Solution:
• Initiating codon: AUG.
• Anticodon: UAC.
• Amino acid: Methionine.
Question 31(a)(iii):
Explain the charging of an adaptor molecule. Why this molecule needs to be charged?
View Solution
Solution:
• Charging of tRNA: Aminoacyl-tRNA synthetase attaches a specific amino acid to its corresponding tRNA, forming aminoacyl-tRNA.
• Importance: Charged tRNA ensures accurate addition of amino acids to the growing polypeptide chain during translation.
OR
Question 31(b)(i):
Why is sickle-cell anaemia, a human blood disorder, so named?
View Solution
Solution:
• The disorder causes red blood cells to assume a sickle shape under low oxygen conditions, leading to its name.
Question 31(b)(ii):
Explain the genetic basis that results in the expression of this disorder.
View Solution
Correct Answer: Point mutation and mutated HBSolution:
• It is caused by a point mutation in the -globin gene, where glutamic acid is replaced by valine at the sixth position of the haemoglobin protein.
• The mutated haemoglobin (HbS) polymerizes under low oxygen conditions, leading to cell deformation.
Question 31(b)(iii):
Work out a cross to explain how normal parents may have a sickle-cell anaemic child.
View Solution
Solution:
• When both parents are carriers (HbA HbS), the offspring have a 25% chance of inheriting two sickle-cell alleles (HbS HbS), causing the disorder.
Question 32(a):
Describe the life cycle of HIV from the time of its entry into the human body till full-blown AIDS sets in.
View Solution
Correct Answer: Entry, Reverse transciption, Integration, Replication, Assembly and relaese.Solution:
• Entry: HIV enters host cells (CD4+ T-cells) via surface receptors.
• Reverse transcription: Viral RNA is converted into DNA by reverse transcriptase.
• Integration: Viral DNA integrates into the host genome via integrase enzyme.
• Replication: Host machinery synthesizes viral components.
• Assembly and release: New viral particles are assembled and released, infecting other cells.
• Progression to AIDS: Gradual destruction of CD4+ cells leads to weakened immunity and opportunistic infections, culminating in AIDS.
OR
Question 32(b)(i):
Write the symptoms of malaria in humans and explain what causes these symptoms.
View Solution
Solution:
• Symptoms:
- High fever with chills.
- Sweating and headache.
- Nausea and vomiting.
• Cause: The symptoms are caused by the rupture of red blood cells during the release of merozoites and the immune response to parasitic toxins.
Question 32(b)(ii):
Describe the different steps in the sexual mode of reproduction in the life cycle of a malarial parasite from the time of its initiation till where it is completed and ready to start a fresh cycle.
View Solution
Solution:
• Gametocytes: Male and female gametocytes are ingested by a mosquito during a blood meal.
• Fertilization: Gametocytes fuse in the mosquito's gut to form a zygote.
• Development: The zygote develops into an ookinete, which penetrates the gut wall and forms an oocyst.
• Sporozoites: The oocyst releases sporozoites that migrate to the mosquito's salivary glands, ready to infect a new host.
Question 33(a)(i):
State the objective of adopting artificial hybridization programme in plants.
View Solution
Solution: Artificial hybridization is used in plant breeding to combine the best traits from different plant varieties, improving crop quality and yield. To obtain desired traits such as disease resistance, higher yield, or improved quality in plants by crossing two genetically different plants.
Question 33(a)(ii):
Describe the steps followed in this technique.
View Solution
Solution: The steps in artificial hybridisation are:
• Emasculation: Removal of stamens from the bisexual flowers of the female parent to prevent self-pollination.
• Bagging: Covering the emasculated flower with a bag to prevent contamination from unwanted pollen.
• Pollination: Dusting pollen from the male parent onto the stigma of the female parent.
• Re-bagging: Re-covering the flower to ensure fertilization occurs without external interference.
OR
Question 33(b)(i):
Describe the development of placenta during pregnancy in a human female.
View Solution
Solution: -The placenta develops from the chorionic villi of the embryo and the uterine tissue of the mother. It establishes a structural and functional connection between the fetus and the mother.
-The placenta facilitates the exchange of nutrients, gases, and waste products between the maternal and fetal blood.
-It also produces hormones like human chorionic gonadotropin (hCG), progesterone, and estrogen to support pregnancy.
Question 33(b)(ii) OR:
Explain its role.
View Solution
Solution: The placenta performs the following functions:
• Facilitates exchange of nutrients, gases, and waste products between the mother and fetus.
• Produces hormones such as hCG, progesterone, and estrogens to maintain pregnancy.
• Acts as a barrier to certain harmful substances while allowing essential nutrients to pass through.







Comments