The CBSE conducted the Class 12 Chemistry Board Exam on February 27, 2025, from 10:30 AM to 1:30 PM. The Chemistry theory paper has 70 marks, while 30 marks are allocated for the practical assessment.
The paper is divided into Physical, Organic, and Inorganic Chemistry, with MCQ (1 mark each), short-answer questions (3 marks each), and long-answer questions (5 marks each).
CBSE Class 12 Chemistry 56-4-3 Question Paper and Detailed Solutions PDF is available for download here.
CBSE Class 12 2025 Chemistry 56-4-3 Question Paper with Solution PDF
| CBSE Class 12 Chemistry Question Paper With Answer Key | Download PDF | Check Solutions |

In an electrochemical cell, the following reaction takes place:
2Cu+ (aq) + Zn (s) \(\rightarrow\) 2Cu (s) + Zn2+ (aq)
Eocell = 1.28 V
As the reaction progresses, what will happen to the overall voltage of the cell?
View Solution
Out of Ti3+, Cr3+, Fe2+ and Ni2+ ions, the one which is the most stable ion in aqueous solution is:
View Solution
Hofmann Bromamide degradation reaction is given by:
View Solution
The value of Henry’s constant KH is:
View Solution
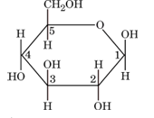
In the Haworth structure of the following carbohydrate, various carbon atoms have been numbered. The anomeric carbon is numbered as:

View Solution
Out of the following statements, the correct statement is:
View Solution
In the given reaction sequence, the structure of Y would be:

View Solution
Out of 2-Bromobutane, 1-Bromobutane, 2-Bromopropane and 1-Bromopropane, the molecule which is chiral in nature is:
View Solution
Which of the following properties of transition metals enables them to behave as catalysts?
View Solution
What amount of electric charge is required for the oxidation of 1 mole of FeO to Fe\textsubscript{2}O\textsubscript{3}?
View Solution
Alkenes are formed by heating alcohols with conc. H\textsubscript{2}SO\textsubscript{4}. The first step in the reaction is:
View Solution
Polyhalogen compounds have wide application in industries and agriculture. DDT is also a very important polyhalogen compound. It is a:
View Solution
Assertion (A): Acetanilide is less basic than aniline.
Reason (R): Acetylation of aniline results in decrease of electron density on nitrogen.
View Solution
Assertion (A): Cuprous salts are diamagnetic.
Reason (R): Cuprous ion has completely filled 3d-orbitals.
View Solution
Assertion (A): n-Butyl chloride has higher boiling point than n-Butyl bromide.
Reason (R): C–Cl bond is more polar than C–Br bond.
View Solution
Assertion (A): Electrolysis of aqueous NaCl gives H\textsubscript{2 at cathode and Cl\textsubscript{2 at anode.
Reason (R): Chlorine has higher oxidation potential than H\textsubscript{2O.
View Solution
What is meant by essential amino acids? Why are amino acids amphoteric in nature?
View Solution
Identify and draw the main products formed in the following chemical reactions:

View Solution
Name and define the cell which was used for providing electric power in the Apollo space programme. Also write its one advantage.
View Solution
PdCl2·2KCl does not give precipitate of AgCl with AgNO3 solution. Write the structural formula and IUPAC name of the complex.
View Solution
The reaction between A\textsubscript{2} (g) and B\textsubscript{2} (g) was carried out in a sealed isothermal container. The rate law for the reaction was found to be:
Rate = k[A\textsubscript{2}][B\textsubscript{2}]
If 1 mole of A\textsubscript{2} (g) was added to the reaction chamber and the temperature was kept constant, then predict the change in rate of the reaction and the rate constant.
View Solution
Reactant ‘A’ underwent a decomposition reaction. The concentration of ‘A’ was measured periodically and recorded in the table given below:
0 & 0.88
1 & 0.44
2 & 0.22
3 & 0.11
Based on the above data, predict the order of the reaction and write the expression for the rate law.
View Solution
Give explanation for each of the following observations:
(a) With the same d-orbital configuration (d\textsuperscript{4), Mn\textsuperscript{3+ ion is an oxidising agent whereas Cr\textsuperscript{2+ ion is a reducing agent.
(b) Actinoid contraction is greater from element to element than that among lanthanoids.
(c) Transition metals form large number of interstitial compounds with H, B, C and N.
View Solution
An aromatic compound ‘A’ with molecular formula C\textsubscript{8}H\textsubscript{8}O gives positive 2,4-DNP test. It gives yellow precipitate of compound ‘B’ on treatment with sodium hypoiodite. Compound ‘A’ does not react with Tollen’s or Fehling’s reagent; on drastic oxidation with KMnO\textsubscript{4} it forms a carboxylic acid ‘C’. Elucidate the structures of A, B and C. Also give their IUPAC names.
View Solution
Arrange the following compounds as asked:
(a) In decreasing order of pK\textsubscript{b values
C\textsubscript{2H\textsubscript{5NH\textsubscript{2, (C\textsubscript{2H\textsubscript{5)\textsubscript{2NH, C\textsubscript{6H\textsubscript{5NHCH\textsubscript{3, C\textsubscript{6H\textsubscript{5NH\textsubscript{2
(b) In increasing order of boiling point
C\textsubscript{2H\textsubscript{5OH, C\textsubscript{2H\textsubscript{5NH\textsubscript{2, (CH\textsubscript{3)\textsubscript{2NH
(c) In increasing order of solubility in water
C\textsubscript{6H\textsubscript{5NH\textsubscript{2, (C\textsubscript{2H\textsubscript{5)\textsubscript{2NH, C\textsubscript{2H\textsubscript{5NH\textsubscript{2
View Solution
(a) Account for the following:
(i) Allyl chloride is hydrolysed more readily than n-propyl chloride.
(ii) Isocyanides are formed when alkyl halides are treated with alcoholic AgCN.
(iii) Methyl chloride reacts faster with OH\textsuperscript{-- ion in S\textsubscript{N2 reaction than t-butyl chloride.
View Solution
Complete the following reactions by writing the structural formulae of ‘A’ and ‘B’:
(i) CH\textsubscript{3CH=CH\textsubscript{2 \xrightarrow[\text{Peroxide]{\text{HBr ‘A’ \xrightarrow{\text{aq. KOH ‘B’
(ii) \chemfig{CH_3CH_2C(CH_3)(Cl) \xrightarrow{\text{alc. KOH, \Delta ‘A’ \xrightarrow{\text{HBr ‘B’
(iii) ‘A’ \xrightarrow{\text{Mg CH\textsubscript{3CH\textsubscript{2MgCl \xrightarrow[\text{H\textsuperscript{+]{H\textsubscript{2O ‘B’ (Main product)
View Solution
(a) Can sodium propoxide and t-butyl chloride be used for the preparation of t-butyl propyl ether? Give suitable explanation.
(b) Give the IUPAC name of the above mentioned ether.
View Solution
An aqueous solution of NaOH was made and its molar mass from the measurement of osmotic pressure at 25\(^\circ\)C was found to be 28 g mol\textsuperscript{-1. Calculate the percentage dissociation of NaOH in this solution.
[Atomic mass: Na = 23, O = 16, H = 1]
View Solution
Calculate the cell voltage of the voltaic cell which is set up by joining the following half-cells at 25\(^\circ\)C:
Al/Al\textsuperscript{3+ (0.002 M) and Ni/Ni\textsuperscript{2+ (0.002 M)
Given: \(E^\circ_{Ni^{2+}/Ni} = -0.25\) V
\(E^\circ_{Al^{3+}/Al} = -1.66\) V
\(\log 5 = 0.6990\)
View Solution
Give one example of miscible liquid pair which shows negative deviation from Raoult’s law. What is the reason for such deviation?
View Solution
State Raoult’s law for a solution containing volatile components.
View Solution
Raoult’s law is a special case of Henry’s law. Comment.
View Solution
Write two characteristics of an ideal solution.
View Solution
What products would be formed when DNA is hydrolysed? How is DNA different from RNA with reference to a structure?
View Solution
Differentiate between nucleotide and nucleoside.
View Solution
- A nucleoside consists of a nitrogenous base (purine or pyrimidine) linked to a sugar (ribose or deoxyribose).
- A nucleotide is a nucleoside with one or more phosphate groups attached to it.
Quick Tip: Think of a nucleotide as a nucleoside plus phosphate group(s).
Mention two important functions of nucleic acid.
View Solution
1. DNA stores genetic information and ensures inheritance across generations.
2. RNA is involved in protein synthesis through different types—mRNA, tRNA, and rRNA.
Quick Tip: DNA stores genetic code, while RNA plays a key role in decoding and protein synthesis.
Name the linkage which joins two nucleotides. Name the base that is found in nucleotide of RNA but not in DNA.
View Solution
- The linkage that connects two nucleotides is called a phosphodiester bond.
- The base found in RNA but absent in DNA is uracil.
Quick Tip: The phosphodiester bond links nucleotides into a chain; uracil replaces thymine in RNA.
[Ni(CO)\(_4\)] is diamagnetic whereas [NiCl\(_4\)]\(^{2-}\) is paramagnetic. [Atomic number: Ni = 28]
View Solution
CO is a stronger complexing agent than NH\(_3\).
View Solution
The trans isomer of complex [Co(en)\(_2\)Cl\(_2\)]\(^+\) is optically inactive.
View Solution
Using Crystal Field theory, write the number of unpaired electrons in octahedral complexes of Fe\(^{3+}\) in the presence of:
(I) Strong field ligand
(II) Weak field ligand
[Atomic number: Fe = 26]
View Solution
Name the type of isomerism exhibited by the following compounds. Also draw their corresponding isomers.
(I) [Co(NH\(_3\))\(_6\)][Cr(CN)\(_6\)]
(II) [Co(en)\(_3\)]\(^{3+}\)
(III) [Co(NH\(_3\))\(_3\)(NO\(_2\))\(_3\)]
View Solution
Differentiate between weak field and strong field ligands. How does the strength of the ligand influence the spin of the complex?
View Solution
The initial concentration of N\(_2\)O\(_5\) in the first order reaction:
N\(_2\)O\(_5\) (g) → 2NO\(_2\) (g) + \(\frac{1{2}\) O\(_2\) (g)
was 1.2 \(\times\) 10\(^{-2\) mol L\(^{-1}\). The concentration of N\(_2\)O\(_5\) after 60 minutes was 0.2 \(\times\) 10\(^{-2}\) mol L\(^{-1}\). Calculate the rate constant of the reaction at 318 K.
[log 6 = 0.778]
View Solution
We cannot determine the order of a reaction by taking into consideration the balanced chemical equation.
View Solution
A bimolecular reaction may become kinetically of first order under a specified condition.
View Solution
The rate of the chemical reaction doubles for an increase of 10 K in absolute temperature from 298 K. Calculate activation energy (E\(_a\)).
[2.303 R = 19.15 JK\(^{-1}\) mol\(^{-1}\), log 2 = 0.3]
View Solution
Use Arrhenius equation: \[ \log \left( \frac{k_2}{k_1} \right) = \frac{E_a}{2.303 R} \left( \frac{T_2 - T_1}{T_1 T_2} \right) \] \[ \log 2 = \frac{E_a}{2.303 \times 19.15} \times \frac{10}{298 \times 308} \] \[ 0.3 = \frac{E_a \times 10}{2.303 \times 19.15 \times 298 \times 308} \Rightarrow E_a = \frac{0.3 \times 2.303 \times 19.15 \times 298 \times 308}{10} \approx 115.0 \, kJ/mol \] Quick Tip: To find activation energy, use the temperature dependence of rate constant via Arrhenius equation.
For the reaction:
2H\(_2\)O\(_2\) \(\xrightarrow{I^-}\) 2H\(_2\)O + O\(_2\)
Given mechanism:
(I) H\(_2\)O\(_2\) + I\(^-\) → H\(_2\)O + IO\(^-\) (slow)
(II) H\(_2\)O\(_2\) + IO\(^-\) → H\(_2\)O + I\(^-\) + O\(_2\) (fast)
(1) Write rate law for the reaction.
(2) Write the overall order and molecularity of the reaction.
View Solution
(a)(i) Complete the following reactions by writing the structure of the main products:
View Solution
(a) (ii) Give simple chemical test to distinguish between the following pairs of compounds:
View Solution
(I) Ethyl benzoate vs Benzoic acid: Add NaHCO\(_3\) solution — Benzoic acid effervesces due to CO\(_2\) release; ethyl benzoate does not.
(II) Propanal vs Propanone: Add Tollens’ reagent — Propanal gives silver mirror test (Aldehyde), propanone (Ketone) does not.
Quick Tip: Carboxylic acids react with sodium bicarbonate, and aldehydes give silver mirror with Tollens' reagent.
(b) (i) Complete each synthesis by giving missing starting material, reagent or products:
View Solution
(b) (ii) Carry out the following conversions:
View Solution







Comments