CBSE Class 12 Mathematics Compartment Question Paper 2023 with Answer Key pdf (Set 1 - 65/C/1) is available for download here. The exam was conducted by Central Board of Secondary Education on July 17, 2023 in the Morning Session 10:30 AM to 1:30 PM. The question paper comprised a total of 38 questions divided among 5 sections.
CBSE Class 12 Mathematics (Set 1 - 65/C/1) Compartment Question Paper 2023 with Answer Key
| CBSE Class 12 Mathematics Question Paper 2023 PDF | CBSE Class 12 Mathematics Solution 2023 PDF |
|---|---|
| Download PDF | Solution PDF |
CBSE Class 12 Mathematics Compartment Question Paper With Solutions
If A is a square matrix of order 3 and \(|A| = 6\), then the value of \(|adj A|\) is:
The value of \(\displaystyle \int_{0}^{\pi/6} \sin 3x \, dx\) is:
If \(\vec{a}\), \(\vec{b}\) and \((\vec{a} + \vec{b})\) are all unit vectors and \(\theta\) is the angle between \(\vec{a}\) and \(\vec{b}\), then the value of \(\theta\) is:
The projection of vector \(\hat{i}\) on the vector \(\hat{i} + \hat{j} + 2\hat{k}\) is:
A family has 2 children and the elder child is a girl. The probability that both children are girls is:
The vector equation of a line which passes through the point (2, -4, 5) and is parallel to the line \(\displaystyle \frac{x+3}{3} = \frac{4-y}{2} = \frac{z+8}{6}\) is:
For which value of x, are the determinants \[ \begin{vmatrix} 2x & -3
5 & x \end{vmatrix} \quad and \quad \begin{vmatrix} 10 & 1
-3 & 2 \end{vmatrix} equal? \]
The value of the cofactor of the element of second row and third column in the matrix \[ \begin{bmatrix} 4 & 3 & 2
2 & -1 & 0
1 & 2 & 3 \end{bmatrix} is: \]
The difference of the order and the degree of the differential equation \[ \Big( \frac{d^2 y}{dx^2} \Big)^2 + \Big( \frac{dy}{dx} \Big)^3 + x^4 = 0 is: \]
If matrix \(A = \begin{bmatrix} 1 & -1
-1 & 1 \end{bmatrix}\)
and \(A^2 = kA\), then the value of \(k\) is:
Evaluate \(\displaystyle \int \frac{\cos 2x}{\sin^2 x \cdot \cos^2 x} dx\)
The integrating factor of the differential equation \((3x^2 + y) \frac{dx}{dy} = x\) is:
The point which lies in the half-plane \(2x + y - 4 \le 0\) is:
If \((\cos x)^y = (\cos y)^x\), then \(\frac{dy}{dx}\) is:
It is given that \[ X \begin{bmatrix} 3 & 2
1 & -1 \end{bmatrix} = \begin{bmatrix} 4 & 1
2 & 3 \end{bmatrix}. Then matrix X is: \]
If ABCD is a parallelogram and AC and BD are its diagonals, then \(\overrightarrow{AC} + \overrightarrow{BD}\) is:
If \(x = a \cos \theta + b \sin \theta\), \(y = a \sin \theta - b \cos \theta\), then which one is true?
The corner points of the bounded feasible region of an LPP are O(0, 0), A(250, 0), B(200, 50) and C(0, 175). If the maximum value of the objective function \(Z = 2ax + by\) occurs at the points A(250, 0) and B(200, 50), then the relation between a and b is:
Assertion (A): The principal value of \(\cot^{-1}(\sqrt{3})\) is \(\frac{\pi}{6}\).
Reason (R): Domain of \(\cot^{-1} x\) is \(\mathbb{R} - \{-1, 1\}\).
Assertion (A): Quadrilateral formed by vertices A(0, 0, 0), B(3, 4, 5), C(8, 8, 8) and D(5, 4, 3) is a rhombus.
Reason (R): ABCD is a rhombus if \(AB = BC = CD = DA\), and \(AC \ne BD\).
If three non-zero vectors are \(\vec{a}\), \(\vec{b}\) and \(\vec{c}\) such that \[ \vec{a} \cdot \vec{b} = \vec{a} \cdot \vec{c} \quad and \quad \vec{a} \times \vec{b} = \vec{a} \times \vec{c} \], \quad then show that \[ \vec{b} = \vec{c}. \]
Simplify: \[ \tan^{-1} \left( \frac{\cos x}{1 - \sin x} \right). \]
Prove that the greatest integer function \(f : \mathbb{R} \rightarrow \mathbb{R}\), given by \(f(x) = [x]\), is neither one-one nor onto.

Find the intervals in which the function
\(f(x) = x^4 - 4x^3 + 4x^2 + 15\)
is strictly increasing.
If
\(|\vec{a}| = 7\), \(|\vec{b}| = 24\), \(|\vec{c}| = 25\)
and
\(\vec{a} + \vec{b} + \vec{c} = \vec{0}\),
find value of \(\vec{a} \cdot \vec{b} + \vec{b} \cdot \vec{c} + \vec{c} \cdot \vec{a}\).
If a line makes angles \(\alpha\), \(\beta\), \(\gamma\) with x-axis, y-axis, z-axis respectively, then prove that \[ \sin^2 \alpha + \sin^2 \beta + \sin^2 \gamma = 2. \]
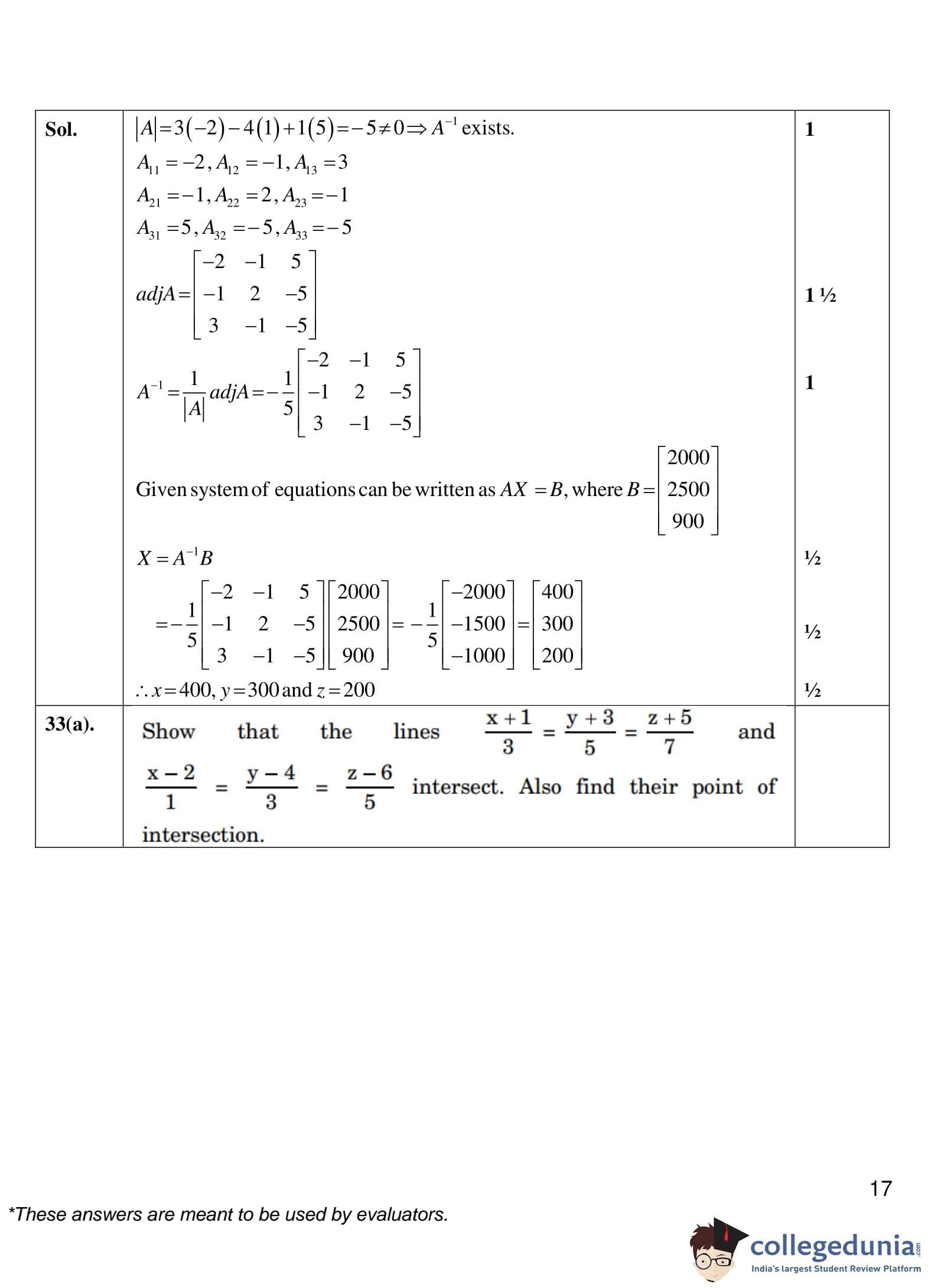
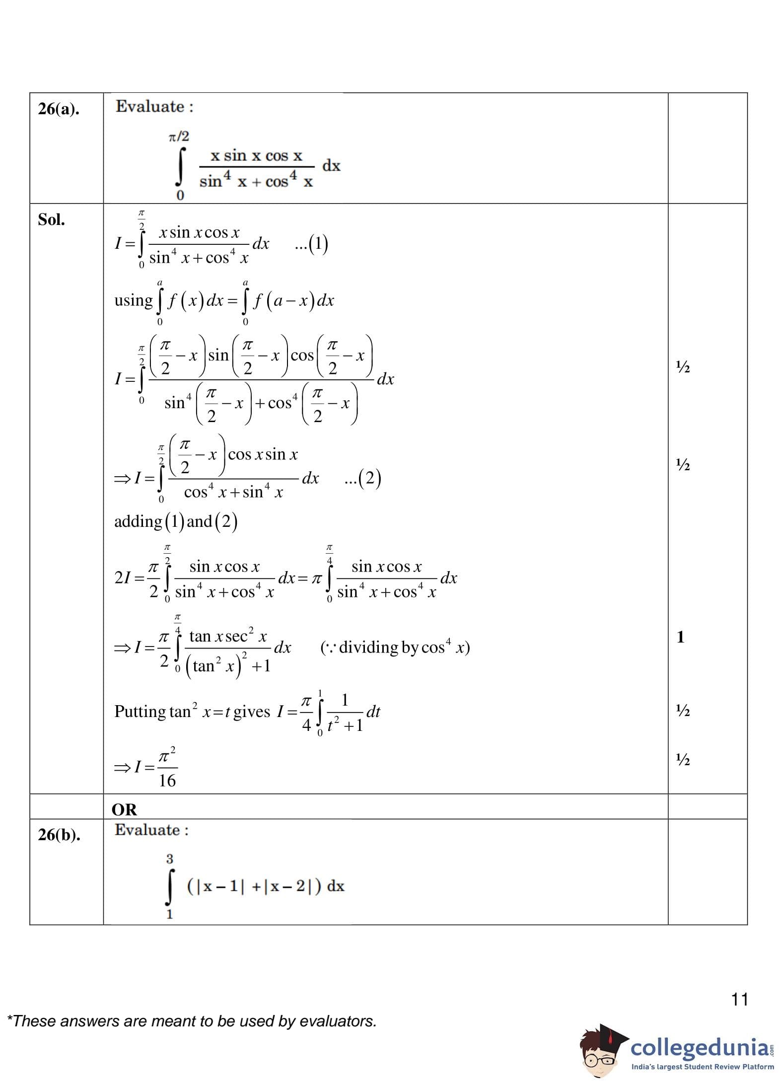
Evaluate: \[ I = \int_{0}^{\pi/2} \frac{ x \sin x \cos x }{ \sin^4 x + \cos^4 x } \, dx. \]
Evaluate: \[ \int_{1}^{3} (|x - 1| + |x - 2|) dx. \]
Find the particular solution of the differential equation: \[ \frac{dy}{dx} = \frac{xy}{x^2 + y^2} \], \quad given that y = 1 when x = 0.
Find the particular solution of: \[ (1 + x^2) \frac{dy}{dx} + 2xy = \frac{1}{1 + x^2}\], \quad y = 0 when x = 1.
Two bags: A (2W, 3R), B (4W, 5R). One red drawn. Find probability it came from B.
50 people, 20 always tell truth. Two selected. Find probability distribution of number of truth-tellers.
Find: \[ I = \int \frac{ \cos \theta }{ \sqrt{ 3 - 3 \sin \theta - \cos^2 \theta } } \, d\theta. \]
Minimise \(z = 3x + 8y\) subject to: \[ 3x + 4y \geq 8,\quad 5x + 2y \geq 11,\quad x \geq 0,\; y \geq 0. \]
Find: \[ I = \int \frac{ 2x^2 + 1 }{ x^2 (x^2 + 4) }\, dx. \]

Show that the lines \[ \frac{x+1}{3} = \frac{y+3}{5} = \frac{z+5}{7}, \quad and \quad \frac{x-2}{1} = \frac{y-4}{3} = \frac{z-6}{5} \]\quad intersect and find their point of intersection.
Find the shortest distance between the pair of lines: \[ L_1: \frac{x-1}{2} = \frac{y+1}{3} = z,\quad L_2: \frac{x+1}{5} = \frac{y-2}{1} = z = 2. \]
Find the area of triangle ABC bounded by: \[ 5x - 2y - 10 = 0,\quad x - y - 9 = 0,\quad 3x - 4y - 6 = 0, \]\quad using integration method.
Show that the relation \(S = \{ (a,b) : a \leq b^3, a,b \in \mathbb{R} \}\)
is neither reflexive, nor symmetric, nor transitive.
Relation R on \(A = \{1,2,3,4,5,6,7\}\): \[ R = \{ (a,b): \]a,b both odd or both even \}.
Show \(R\) is an equivalence relation and find \([1]\).
Find the probability that the age of the selected student is a composite number.
Find the probability distribution of random variable X and hence find the mean age.
A student was selected at random and his age was found to be greater than 15 years. Find the probability that his age is a prime number.
Write cost C(h) as a function in terms of h.
Use second derivative test to find the value of h for which cost of constructing the pool is minimum. What is the minimum cost of construction of the pool ?.
Use first derivative test to find the depth of the pool so that cost of construction is minimum. Also, find relation between x and h for minimum cost.
What are the critical points of the function f(x) ?
Using second derivative test, find the minimum value of the function.







Comments