CBSE Class 12 Mathematics Question Paper 2024 PDF (Set 1- 65/4/1) is available for download here. CBSE conducted the Mathematics exam on March 9, 2024 from 10:30 AM to 1:30 PM. The total marks for the theory paper are 80. The question paper contains 20% MCQ-based questions, 40% competency-based questions, and 40% short and long answer type questions.
CBSE Class 12 Mathematics Question Paper 2024 (Set 1- 65/4/1) with Answer Key
| CBSE Class 12 2024 Mathematics Question Paper with Answer Key | Check Solution |

CBSE Class 12 2024 Mathematics Questions with Solutions
If \( \begin{bmatrix} a & c & 0
b & d & 0
0 & 0 & 5 \end{bmatrix} \) is a scalar matrix, then the value of \( a + 2b + 3c + 4d \) is:
View Solution
Step 1: {Definition of a scalar matrix
A scalar matrix is a diagonal matrix where all diagonal elements are equal. This means \( a = d = 5 \), and all off-diagonal elements (\( b \), \( c \)) are zero.
Step 2: {Substitute the values
Using the scalar matrix properties: \[ a + 2b + 3c + 4d = 5 + 2(0) + 3(0) + 4(5) = 5 + 0 + 0 + 20 = 25. \]
Step 3: {Verify the options
The correct value is \( 25 \), which corresponds to option (D).
Quick Tip: In scalar matrices, diagonal elements are constant, and off-diagonal elements are zero.
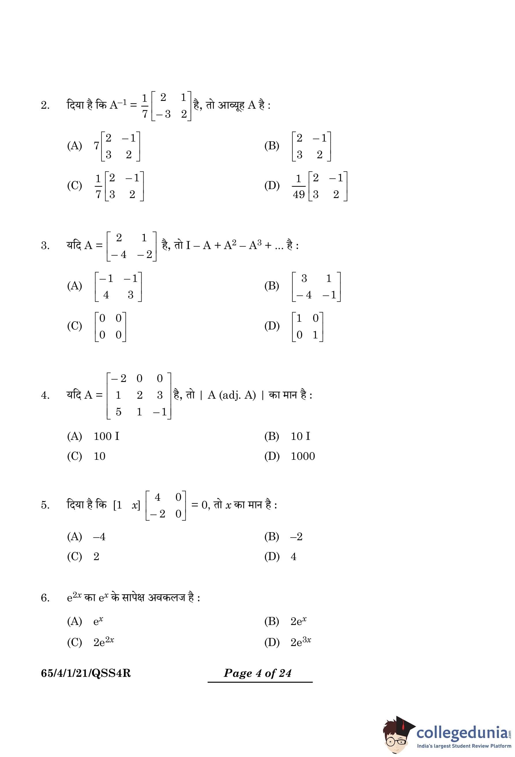
Given that \( A^{-1} = \frac{1}{7} \begin{bmatrix} 2 & 1
-3 & 2 \end{bmatrix} \), matrix \( A \) is:
3 & 2 \end{bmatrix} \)
View Solution
Given that \( A^{-1} = \frac{1}{7} \begin{bmatrix} 2 & 1
-3 & 2 \end{bmatrix} \), we need to find matrix \( A \).
The inverse of a 2x2 matrix \( \begin{bmatrix} a & b
c & d \end{bmatrix} \) is given by:
\[ \frac{1}{ad - bc} \begin{bmatrix} d & -b
-c & a \end{bmatrix} \]
Applying this to \( A^{-1} \):
\[ A^{-1} = \frac{1}{7} \begin{bmatrix} 2 & 1
-3 & 2 \end{bmatrix} \]
The determinant of \( A^{-1} \) is:
\[ det(A^{-1}) = \left(\frac{1}{7}\right)^2 (2 \cdot 2 - 1 \cdot (-3)) = \frac{1}{49} (4 + 3) = \frac{7}{49} = \frac{1}{7} \]
Now, the inverse of \( A^{-1} \) (which is \( A \)) is:
\[ A = \frac{1}{det(A^{-1})} \begin{bmatrix} 2 & -1
3 & 2 \end{bmatrix} = 7 \begin{bmatrix} 2 & -1
3 & 2 \end{bmatrix} \]
Therefore, the correct answer is:
\[ \boxed{A} \]
So, matrix \( A \) is:
\[ 7 \begin{bmatrix} 2 & -1
3 & 2 \end{bmatrix} \] Quick Tip: To find \( A \) from \( A^{-1} \), multiply the inverse by the scalar reciprocal.
If \( A = \begin{bmatrix} 2 & 1
-4 & -2 \end{bmatrix} \), then the value of \( I - A + A^2 - A^3 + \ldots \) is:
4 & 3 \end{bmatrix} \)
View Solution
Step 1: Understand the series \( S \):
The given series is \( S = I - A + A^2 - A^3 + \cdots \), which is an infinite series. It can be expressed as: \[ S = (I - A)^{-1} \]
if the matrix \( (I - A) \) is invertible.
Step 2: Compute \( I - A \):
The identity matrix \( I \) is: \[ I = \begin{bmatrix} 1 & 0
0 & 1 \end{bmatrix} \]
So, \( I - A = \begin{bmatrix} 1 & 0
0 & 1 \end{bmatrix} - \begin{bmatrix} 2 & 1
-4 & -2 \end{bmatrix} = \begin{bmatrix} -1 & -1
4 & 3 \end{bmatrix} \).
Step 3: Check if \( I - A \) is invertible:
The determinant of \( I - A \) is: \[ det(I - A) = (-1)(3) - (-1)(4) = -3 + 4 = 1 \neq 0 \]
Since the determinant is non-zero, \( I - A \) is invertible.
Step 4: Verify the series sum:
The inverse of \( I - A \) is: \[ (I - A)^{-1} = \begin{bmatrix} -1 & -1
4 & 3 \end{bmatrix} \]
Thus, the sum of the series \( S = I - A + A^2 - A^3 + \cdots \) is: \[ S = \begin{bmatrix} -1 & -1
4 & 3 \end{bmatrix} \]
Conclusion:
The correct option is \( \mathbf{(A)} \begin{bmatrix} -1 & -1
4 & 3 \end{bmatrix} \). Quick Tip: For infinite geometric series \( I - A + A^2 - A^3 + \ldots \), check if \( A^2 = 0 \).
If \( A = \begin{bmatrix} -2 & 0 & 0
1 & 2 & 3
5 & 1 & -1 \end{bmatrix} \), then the value of \( |A \cdot adj(A)| \) is:
View Solution
Step 1: {Property of determinants
For a square matrix \( A \), \( |A \cdot adj(A)| = |A|^n \), where \( n \) is the size of \( A \).
Step 2: {Compute \( |A| \)
Using cofactor expansion: \[ |A| = -2 \cdot \begin{vmatrix} 2 & 3
1 & -1 \end{vmatrix} = -2((-2) - 3) = 10. \]
Step 3: {Calculate \( |A \cdot adj(A)| \)
Since \( n = 3 \): \[ |A \cdot adj(A)| = |A|^3 = 10^3 = 1000. \]
Step 4: {Verify the options
The correct value is \( 1000 \), which corresponds to option (D).
Quick Tip: To compute \( |A \cdot adj(A)| \), use the property \( |A|^n \) for \( n \times n \) matrices.
Given that \( \begin{bmatrix} 1 & x \end{bmatrix} \begin{bmatrix} 4 & 0
-2 & 0 \end{bmatrix} = 0 \), then the value of \( x \) is:
View Solution
Step 1: {Matrix multiplication
Perform the matrix multiplication: \[ \begin{bmatrix} 1 & x \end{bmatrix} \begin{bmatrix} 4 & 0
-2 & 0 \end{bmatrix} = \begin{bmatrix} 4 - 2x & 0 \end{bmatrix}. \]
Step 2: {Set the result to zero
For the equation to hold, \( 4 - 2x = 0 \).
Step 3: {Solve for \( x \)
Rearranging: \[ 4 - 2x = 0 \implies x = \frac{4}{2} = 2. \]
Step 4: {Verify the options
The value \( x = 2 \) matches option (C).
Quick Tip: For matrix equations, ensure each resulting element matches the given condition.
Derivative of \( e^{2x} \) with respect to \( e^x \) is:
View Solution
Step 1: {Chain rule
The derivative of \( e^{2x} \) with respect to \( x \) is: \[ \frac{d}{dx} e^{2x} = 2e^{2x}. \]
Step 2: {Substitute \( e^x = u \)
Let \( u = e^x \), so \( e^{2x} = u^2 \). Differentiate \( u^2 \) with respect to \( u \): \[ \frac{d}{du} u^2 = 2u. \]
Step 3: {Final result
Since \( u = e^x \), the result is \( 2e^x \).
Quick Tip: Use substitution to simplify differentiation of exponential functions.
For what value of \( k \), the function given below is continuous at \( x = 0 \)?
\[ f(x) = \begin{cases} \frac{\sqrt{4 + x} - 2}{x}, & x \neq 0
k, & x = 0 \end{cases} \]
View Solution
Step 1: {Condition for continuity
For continuity at \( x = 0 \), \( \lim_{x \to 0} f(x) = f(0) = k \).
Step 2: {Evaluate the limit
For \( x \neq 0 \): \[ f(x) = \frac{\sqrt{4 + x} - 2}{x}. \]
Multiply numerator and denominator by \( \sqrt{4 + x} + 2 \): \[ f(x) = \frac{(\sqrt{4 + x} - 2)(\sqrt{4 + x} + 2)}{x(\sqrt{4 + x} + 2)} = \frac{4 + x - 4}{x(\sqrt{4 + x} + 2)} = \frac{1}{\sqrt{4 + x} + 2}. \]
Step 3: {Substitute \( x = 0 \)
\[ \lim_{x \to 0} f(x) = \frac{1}{\sqrt{4 + 0} + 2} = \frac{1}{4}. \]
Step 4: {Set \( k = \lim_{x \to 0} f(x) \)
Thus, \( k = \frac{1}{4} \), which matches option (B).
Quick Tip: To find continuity, equate \( \lim_{x \to a} f(x) \) and \( f(a) \).
The value of \( \int_{0}^{3} \frac{dx}{\sqrt{9 - x^2}} \) is:
View Solution
Step 1: {Integral of the given form
The integral \( \int \frac{dx}{\sqrt{a^2 - x^2}} \) is a standard result: \[ \int \frac{dx}{\sqrt{a^2 - x^2}} = \arcsin\left(\frac{x}{a}\right) + C. \]
Step 2: {Substitute limits
Here, \( a = 3 \), so: \[ \int_{0}^{3} \frac{dx}{\sqrt{9 - x^2}} = \arcsin\left(\frac{x}{3}\right) \bigg|_{0}^{3}. \]
Step 3: {Evaluate the bounds
\[ \arcsin\left(\frac{3}{3}\right) - \arcsin\left(\frac{0}{3}\right) = \arcsin(1) - \arcsin(0) = \frac{\pi}{2} - 0 = \frac{\pi}{2}. \]
Step 4: {Verify the options
The correct value is \( \frac{\pi}{2} \), which corresponds to option (C).
Quick Tip: For integrals of \( \frac{1}{\sqrt{a^2 - x^2}} \), use the arcsine formula.
The general solution of the differential equation \( x \, dy + y \, dx = 0 \) is:
View Solution
Step 1: {Rewrite the equation
The given equation \( x \, dy + y \, dx = 0 \) can be written as: \[ \frac{dy}{y} + \frac{dx}{x} = 0. \]
Step 2: {Integrate both sides
\[ \int \frac{dy}{y} + \int \frac{dx}{x} = 0 \implies \ln|y| + \ln|x| = C. \]
Step 3: {Simplify the solution
Combine logarithms: \[ \ln|xy| = C \implies xy = e^C = c. \]
Step 4: {Verify the options
The solution is \( xy = c \), which matches option (A).
Quick Tip: For separable differential equations, rearrange terms and integrate both sides.
The integrating factor of the differential equation \( (x + 2y^2) \frac{dy}{dx} = y \, (y > 0) \) is:
View Solution
Step 1: {Rewriting the equation
Divide through by \( y \): \[ \frac{1}{y} (x + 2y^2) \frac{dy}{dx} = 1. \]
Step 2: {Find the integrating factor
The integrating factor \( \mu(y) \) is determined by identifying the dependency on \( y \) and multiplying the equation by \( \frac{1}{y} \).
Step 3: {Verify integrating factor
After multiplying, the left-hand side becomes exact. The integrating factor is \( \frac{1}{y} \), which matches option (D).
Quick Tip: Integrating factors simplify differential equations by making them exact.
If \( \vec{a} \) and \( \vec{b} \) are two vectors such that \( |\vec{a}| = 1 \), \( |\vec{b}| = 2 \), and \( \vec{a} \cdot \vec{b} = \sqrt{3} \), then the angle between \( 2\vec{a} \) and \( -\vec{b} \) is:
View Solution
Step 1: {Find the angle between \( \vec{a} \) and \( \vec{b} \)
The dot product formula gives: \[ \vec{a} \cdot \vec{b} = |\vec{a}||\vec{b}|\cos\theta \implies \sqrt{3} = (1)(2)\cos\theta \implies \cos\theta = \frac{\sqrt{3}}{2}. \]
Thus, \( \theta = \frac{\pi}{6} \).
Step 2: {Angle between \( 2\vec{a} \) and \( -\vec{b} \)
Since \( 2\vec{a} \) and \( -\vec{b} \) involve a scalar multiplication, the angle becomes: \[ \pi - \frac{\pi}{6} = \frac{5\pi}{6}. \]
Step 3: {Verify the options
The correct angle is \( \frac{5\pi}{6} \), matching option (C).
Quick Tip: The angle between scaled vectors depends only on the original vectors' angle.
The vectors \( \vec{a} = 2\hat{i} - \hat{j} + \hat{k} \), \( \vec{b} = \hat{i} - 3\hat{j} - 5\hat{k} \), and \( \vec{c} = -3\hat{i} + 4\hat{j} + 4\hat{k} \) represent the sides of:
View Solution
The magnitude of a vector \( \mathbf{v} = x\hat{i} + y\hat{j} + z\hat{k} \) is given by:
\[ |\mathbf{v}| = \sqrt{x^2 + y^2 + z^2} \]
1. Magnitude of \( \mathbf{a} \):
\[ |\mathbf{a}| = \sqrt{(2)^2 + (-1)^2 + (1)^2} = \sqrt{6} \]
2. Magnitude of \( \mathbf{b} \):
\[ |\mathbf{b}| = \sqrt{(1)^2 + (-3)^2 + (-5)^2} = \sqrt{35} \]
3. Magnitude of \( \mathbf{c} \):
\[ |\mathbf{c}| = \sqrt{(-3)^2 + (4)^2 + (4)^2} = \sqrt{41} \]
A triangle is a right-angled triangle if the dot product between two vectors representing two sides of the triangle is zero. Let's calculate the dot product of the vectors \( \mathbf{a} \) and \( \mathbf{b} \), \( \mathbf{b} \) and \( \mathbf{c} \), and \( \mathbf{c} \) and \( \mathbf{a} \).
1. Dot product \( \mathbf{a} \cdot \mathbf{b} \):
\[ \mathbf{a} \cdot \mathbf{b} = (2)(1) + (-1)(-3) + (1)(-5) = 0 \]
Since \( \mathbf{a} \cdot \mathbf{b} = 0 \), the vectors \( \mathbf{a} \) and \( \mathbf{b} \) are perpendicular, meaning the angle between them is \( 90^\circ \). Quick Tip: Use dot products to identify right angles in vector triangles.
Let \( \vec{a} \) be any vector such that \( |\vec{a}| = a \). The value of \( |\vec{a} \times \hat{i}|^2 + |\vec{a} \times \hat{j}|^2 + |\vec{a} \times \hat{k}|^2 \) is:
View Solution
Step 1: {Recall the formula for cross product magnitudes
The magnitude of the cross product is: \[ |\vec{a} \times \hat{i}| = |\vec{a}||\hat{i}|\sin\theta. \]
Step 2: {Evaluate each term
For \( \vec{a} \times \hat{i} \), \( \vec{a} \times \hat{j} \), and \( \vec{a} \times \hat{k} \), the contributions along two directions add up, giving: \[ |\vec{a} \times \hat{i}|^2 + |\vec{a} \times \hat{j}|^2 + |\vec{a} \times \hat{k}|^2 = 2a^2. \]
Step 3: {Verify the options
The correct result is \( 2a^2 \), matching option (B).
Quick Tip: Cross product magnitudes depend on sine of the angle between vectors.
The vector equation of a line passing through the point \( (1, -1, 0) \) and parallel to the \( y \)-axis is:
View Solution
Step 1: {Identify the direction vector
The direction vector is along the \( y \)-axis, so it is \( \hat{j} \).
Step 2: {Write the line equation
The vector equation of a line passing through \( (1, -1, 0) \) is: \[ \vec{r} = \vec{r}_0 + \lambda\vec{d}, \]
where \( \vec{r}_0 = \hat{i} - \hat{j} \) and \( \vec{d} = \hat{j} \).
Step 3: {Substitute values
\[ \vec{r} = (\hat{i} - \hat{j}) + \lambda\hat{j} = \hat{i} - \hat{j} + \lambda\hat{j}. \]
Step 4: {Verify the options
The correct equation is \( \vec{r} = \hat{i} - \hat{j} + \lambda\hat{j} \), which matches option (B).
Quick Tip: Vector equations of lines require a point and a direction vector.
The lines \( \frac{1 - x}{2} = \frac{y - 1}{3} = \frac{z}{1} \) and \( \frac{2x - 3}{2p} = \frac{y}{-1} = \frac{z - 4}{7} \) are perpendicular to each other for \( p \) equal to:
View Solution
Step 1: Represent the lines in symmetric form:
For the first line (\( L_1 \)), the symmetric equation is given as: \[ \frac{1 - x}{2} = \frac{y - 1}{3} = \frac{z}{1} \]
Rewriting this in parametric form: \[ x = 1 - 2t, \quad y = 1 + 3t, \quad z = t \]
The direction ratios of \( L_1 \) are: \[ a_1 = -2, \, b_1 = 3, \, c_1 = 1 \]
For the second line (\( L_2 \)), the symmetric equation is given as: \[ \frac{2x - 3}{2p} = \frac{y}{-1} = \frac{z - 4}{7} \]
Rewriting this in parametric form: \[ x = \frac{3}{2} + pt, \quad y = -t, \quad z = 4 + 7t \]
The direction ratios of \( L_2 \) are: \[ a_2 = p, \, b_2 = -1, \, c_2 = 7 \]
Step 2: Apply the condition for perpendicularity:
Two lines are perpendicular if the dot product of their direction ratios is zero: \[ a_1 a_2 + b_1 b_2 + c_1 c_2 = 0 \]
Substituting the direction ratios of \( L_1 \) and \( L_2 \): \[ (-2)(p) + (3)(-1) + (1)(7) = 0 \]
Simplify the equation: \[ -2p - 3 + 7 = 0 \] \[ -2p + 4 = 0 \] \[ p = 2 \]
Step 3: Verify the result:
For \( p = 2 \), the direction ratios of \( L_2 \) become: \[ a_2 = 2, \, b_2 = -1, \, c_2 = 7 \]
The dot product with \( L_1 \) is: \[ (-2)(2) + (3)(-1) + (1)(7) = -4 - 3 + 7 = 0 \]
Thus, the lines are perpendicular.
Conclusion:
The value of \( p \) is \( \mathbf{2} \). Quick Tip: To check if two lines are perpendicular, calculate the dot product of their direction ratios. If the dot product is zero, the lines are perpendicular. Always express the lines in symmetric or parametric form to extract direction ratios easily.
The maximum value of \( Z = 4x + y \) for a L.P.P. whose feasible region is given below is:
View Solution
Step 1: {Identify the corner points of the feasible region
From the graph, the vertices of the feasible region are: \[ A(0, 50), \, B(20, 30), \, C(30, 0). \]
Step 2: {Substitute corner points into \( Z = 4x + y \)
Evaluate \( Z \) at each vertex: \[ Z_A = 4(0) + 50 = 50,\] \[\quad Z_B = 4(20) + 30 = 110,\] \quad Z_C = 4(30) + 0 = 120.
\]
Step 3: {Find the maximum value
The maximum value of \( Z \) occurs at \( C(30, 0) \), where \( Z = 120 \).
Step 4: {Verify the options
The maximum value is \( 120 \), which corresponds to option (C).
Quick Tip: For L.P.P., always evaluate the objective function at all vertices of the feasible region.
The probability distribution of a random variable \( X \) is:
where \( k \) is some unknown constant. The probability that the random variable \( X \) takes the value 2 is:
View Solution
Step 1: Write the given equation:
The total probability is given as: \[ P(0) + P(1) + P(2) + P(3) + P(4) = 1 \]
Substituting the known values: \[ 0.1 + k + 2k + k + 0.1 = 1 \]
where \( P(1) = k \), \( P(2) = 2k \), and \( P(3) = k \).
Step 2: Simplify the equation:
Combine the terms: \[ 0.2 + 4k = 1 \]
Subtract \( 0.2 \) from both sides: \[ 4k = 0.8 \]
Divide by \( 4 \) to find \( k \): \[ k = 0.2 = \frac{1}{5} \]
Step 3: Find \( P(2) \):
Given \( P(2) = 2k \), substitute the value of \( k \): \[ P(2) = 2 \times \frac{1}{5} = \frac{2}{5} \]
Conclusion:
The value of \( P(2) \) is \( \mathbf{\frac{2}{5}} \). Quick Tip: To solve probability equations, substitute the known values and simplify step by step. Ensure that the sum of all probabilities equals \( 1 \), as this is the fundamental property of probability distributions.
The function \( f(x) = kx - \sin x \) is strictly increasing for:
View Solution
Step 1: {Find the derivative
The derivative of \( f(x) \) is: \[ f'(x) = k - \cos x. \]
Step 2: {Condition for increasing function
For \( f(x) \) to be strictly increasing: \[ f'(x) > 0 \implies k - \cos x > 0 \implies k > \cos x. \]
Step 3: {Maximum value of \( \cos x \)
The maximum value of \( \cos x \) is 1. Therefore: \[ k > 1. \]
Step 4: {Verify the options
The function is strictly increasing for \( k > 1 \), which matches option (A).
Quick Tip: For strict monotonicity, check the sign of the derivative over the entire domain.
Assertion (A): The relation \( R = \{(x, y) : (x + y) is a prime number and x, y \in \mathbb{N}\} \) is not a reflexive relation.
Reason (R): The number \( 2n \) is composite for all natural numbers \( n \).
View Solution
Step 1: {Analyze Assertion (A)
For \( R \) to be reflexive, \( (x, x) \) must belong to \( R \) for all \( x \in \mathbb{N} \). This means \( x + x = 2x \) must be a prime number. However, for \( x > 1 \), \( 2x \) is not a prime number as it is divisible by \( 2 \). Therefore, \( R \) is not reflexive, and Assertion (A) is true.
Step 2: {Analyze Reason (R)
The Reason states that \( 2n \) is composite for all \( n \). This is false because when \( n = 1 \), \( 2n = 2 \), which is a prime number. Therefore, Reason (R) is false.
Step 3: {Conclusion
Since Assertion (A) is true and Reason (R) is false, the correct answer is option (C).
Quick Tip: A relation is reflexive if every element relates to itself; check this condition for all elements.
Assertion (A): The corner points of the bounded feasible region of a L.P.P. are shown below. The maximum value of \( Z = x + 2y \) occurs at infinite points.
Reason (R): The optimal solution of a LPP having bounded feasible region must occur at corner points.
View Solution
Step 1: {Analyze Assertion (A)
From the graph, the line \( Z = x + 2y \) passes through two corner points \( (60, 0) \) and \( (120, 60) \), providing the same maximum value. This indicates that the maximum value occurs at infinite points along this segment. Thus, Assertion (A) is true.
Step 2: {Analyze Reason (R)
In general, the optimal solution of an LPP occurs at corner points of the feasible region. This is true; however, in this case, the solution lies along a line segment connecting two corner points. Thus, Reason (R) is not the correct explanation of Assertion (A).
Step 3: {Conclusion
Both Assertion (A) and Reason (R) are true, but Reason (R) does not explain Assertion (A). Hence, the correct answer is option (B).
Quick Tip: In linear programming, always check if the objective function is constant along any edge of the feasible region.
Express \( \tan^{-1} \left( \frac{\cos x}{1 - \sin x} \right) \), where \( -\frac{\pi}{2} < x < \frac{\pi}{2} \), in the simplest form.
View Solution
Step 1: {Simplify the expression inside \( \tan^{-1} \)
The given expression is: \[ \tan^{-1} \left( \frac{\cos x}{1 - \sin x} \right). \]
Using trigonometric identities, rewrite: \[ 1 - \sin x = (\cos^2\frac{x}{2} + \sin^2\frac{x}{2}) - 2\sin\frac{x}{2}\cos\frac{x}{2} = (\cos\frac{x}{2} - \sin\frac{x}{2})^2. \]
Step 2: {Transform into a single tangent function
Substituting \( 1 - \sin x \) and \( \cos x = (\cos^2\frac{x}{2} - \sin^2\frac{x}{2}) \): \[ \tan^{-1} \left( \frac{\cos x}{1 - \sin x} \right) = \tan^{-1} \left[ \tan\left(\frac{\pi}{4} + \frac{x}{2}\right) \right]. \]
Step 3: {Simplify using \( \tan^{-1} \tan y = y \)
Since \( -\frac{\pi}{2} < x < \frac{\pi}{2} \), we simplify: \[ \tan^{-1} \left[ \tan\left(\frac{\pi}{4} + \frac{x}{2}\right) \right] = \frac{\pi}{4} + \frac{x}{2}. \]
Conclusion: The simplest form is \( \frac{\pi}{4} + \frac{x}{2} \).
Quick Tip: For expressions involving \( \tan^{-1} \), rewrite in terms of trigonometric identities to simplify.
Find the principal value of \( \tan^{-1}(1) + \cos^{-1}\left(-\frac{1}{2}\right) + \sin^{-1}\left(-\frac{1}{\sqrt{2}}\right) \).
View Solution
Step 1: {Evaluate each term
\[ \tan^{-1}(1) = \frac{\pi}{4}, \quad \cos^{-1}\left(-\frac{1}{2}\right) = \pi - \frac{\pi}{3}, \quad \sin^{-1}\left(-\frac{1}{\sqrt{2}}\right) = -\frac{\pi}{4}. \]
Step 2: {Add the terms
\[ \frac{\pi}{4} + \left(\pi - \frac{\pi}{3}\right) - \frac{\pi}{4}. \]
Simplify: \[ \frac{\pi}{4} + \pi - \frac{\pi}{3} - \frac{\pi}{4} = \frac{2\pi}{3}. \]
Conclusion: The principal value is \( \frac{2\pi}{3} \).
Quick Tip: Always compute inverse trigonometric values in their principal ranges.
If \( y = \cos^3(\sec^2 2t) \), find \( \frac{dy}{dt} \).
View Solution
Step 1: {Differentiate using the chain rule
We have: \[ \frac{dy}{dt} = 3\cos^2(\sec^2 2t) \cdot \left[-\sin(\sec^2 2t)\right] \cdot \frac{d}{dt}(\sec^2 2t). \]
Step 2: {Simplify derivatives
\[ \frac{d}{dt}(\sec^2 2t) = 2\sec^2 2t \tan 2t \cdot 2. \]
Substitute back: \[ \frac{dy}{dt} = -12 \cos^2(\sec^2 2t) \sin(\sec^2 2t) \sec^2 2t \tan 2t. \]
Conclusion: The derivative is \( -12 \cos^2(\sec^2 2t) \sin(\sec^2 2t) \sec^2 2t \tan 2t \).
Quick Tip: When differentiating trigonometric functions, apply the chain rule carefully.
If \( x^y = e^{x-y} \), prove that \( \frac{dy}{dx} = \frac{\log x}{(1 + \log x)^2} \).
View Solution
Step 1: {Take logarithms of both sides
The given equation is: \[ x^y = e^{x-y}. \]
Taking the natural logarithm on both sides, we get: \[ \log(x^y) = \log(e^{x-y}). \]
Step 2: {Simplify using logarithmic properties
Using the properties of logarithms: \[ y \log x = x - y. \]
Rearranging the terms to express \( y \): \[ y (1 + \log x) = x. \]
Thus, we have: \[ y = \frac{x}{1 + \log x}. \]
Step 3: {Differentiate \( y \) with respect to \( x \)
Differentiate both sides of \( y = \frac{x}{1 + \log x} \) with respect to \( x \) using the quotient rule: \[ \frac{dy}{dx} = \frac{(1 + \log x) \cdot 1 - x \cdot \frac{1}{x}}{(1 + \log x)^2}. \]
Step 4: {Simplify the derivative
Simplify the numerator: \[ \frac{dy}{dx} = \frac{(1 + \log x) - 1}{(1 + \log x)^2}. \]
This reduces to: \[ \frac{dy}{dx} = \frac{\log x}{(1 + \log x)^2}. \]
Conclusion: The derivative is proved to be: \[ \frac{dy}{dx} = \frac{\log x}{(1 + \log x)^2}. \]
Quick Tip: For functions involving both \( x \) and \( y \), logarithmic differentiation often simplifies the process.
Find the interval in which the function \( f(x) = x^4 - 4x^3 + 10 \) is strictly decreasing.
View Solution
Step 1: {Find the derivative of \( f(x) \)
\[ f'(x) = 4x^3 - 12x^2 = 4x^2(x - 3). \]
Step 2: {Solve \( f'(x) < 0 \)
Factorize: \[ f'(x) < 0 \implies 4x^2(x - 3) < 0. \]
The critical points are \( x = 0 \) and \( x = 3 \). Analyze the sign of \( f'(x) \) in intervals: \[ (-\infty, 0), (0, 3), and (3, \infty). \]
Step 3: {Determine intervals
\( f'(x) < 0 \) on \( (-\infty, 0) \cup (0, 3) \).
Conclusion: The function is strictly decreasing on \( (-\infty, 0) \cup (0, 3) \).
Quick Tip: Use the derivative sign test to find intervals of increase or decrease.
The volume of a cube is increasing at the rate of \( 6 \, cm^3/s \). How fast is the surface area of the cube increasing, when the length of an edge is \( 8 \, cm \)?
View Solution
Step 1: {Relate volume and surface area of the cube
The volume of the cube is: \[ V = x^3, \]
where \( x \) is the length of an edge. Differentiating with respect to \( t \), we get: \[ \frac{dV}{dt} = 3x^2 \frac{dx}{dt}. \]
Substitute \( \frac{dV}{dt} = 6 \, cm^3/s \): \[ 6 = 3(8)^2 \frac{dx}{dt}. \]
Solve for \( \frac{dx}{dt} \): \[ \frac{dx}{dt} = \frac{6}{192} = \frac{1}{32} \, cm/s. \]
Step 2: {Find the rate of change of surface area
The surface area of the cube is: \[ S = 6x^2. \]
Differentiating with respect to \( t \), we get: \[ \frac{dS}{dt} = 12x \frac{dx}{dt}. \]
Substitute \( x = 8 \, cm \) and \( \frac{dx}{dt} = \frac{1}{32} \): \[ \frac{dS}{dt} = 12(8)\left(\frac{1}{32}\right) = 3 \, cm^2/s. \]
Conclusion: The surface area of the cube is increasing at \( 3 \, cm^2/s \).
Quick Tip: For related rates problems, identify the variables, write their relationships, and differentiate with respect to time.
Evaluate \( \int \frac{dx}{x(x^2-1)} \).
View Solution
Step 1: {Decompose the integral
The given integral is: \[ I = \int \frac{dx}{x(x^2-1)}. \]
Decompose into partial fractions: \[ \frac{1}{x(x^2-1)} = \frac{1}{x} - \frac{1}{x^2-1}. \]
Step 2: {Simplify and integrate
The integral becomes: \[ I = \int \frac{1}{x} dx - \int \frac{1}{x^2-1} dx. \]
For \( \int \frac{1}{x^2-1} dx \), use partial fractions: \[ \frac{1}{x^2-1} = \frac{1}{2} \left( \frac{1}{x-1} - \frac{1}{x+1} \right). \]
Thus: \[ I = \log|x| - \frac{1}{2} \log|x-1| + \frac{1}{2} \log|x+1| + C. \]
Step 3: {Combine terms
Combine the logarithmic terms: \[ I = \frac{1}{2} \log \left| \frac{x^2-1}{x^2} \right| + C. \]
Conclusion: The integral evaluates to: \[ \int \frac{dx}{x(x^2-1)} = \frac{1}{2} \log \left| \frac{x^2-1}{x^2} \right| + C. \]
Quick Tip: For rational functions, decompose into partial fractions for simpler integration.
Given that \( y = (\sin x)^x \cdot x^{\sin x} + a^x \), find \( \frac{dy}{dx} \).
View Solution
Step 1: {Express \( y \) in terms of simpler functions
We have: \[ y = (\sin x)^x \cdot x^{\sin x} + a^x. \]
Let \( u = (\sin x)^x \cdot x^{\sin x} \). Thus: \[ \frac{dy}{dx} = \frac{du}{dx} + \frac{d(a^x)}{dx}. \]
Step 2: {Differentiate \( u \)
Taking logarithm: \[ \log u = x \log(\sin x) + \sin x \log x. \]
Differentiating with respect to \( x \): \[ \frac{1}{u} \frac{du}{dx} = \log(\sin x) + x \cot x + \log x \cdot \cos x + \sin x \cdot \frac{1}{x}. \]
Thus: \[ \frac{du}{dx} = u \cdot [\log(\sin x) + x \cot x + \sin x \log x + \cos x \log x]. \]
Step 3: {Add the derivative of \( a^x \)
The derivative of \( a^x \) is: \[ \frac{d}{dx}(a^x) = a^x \log a. \]
Conclusion: The derivative is: \[ \frac{dy}{dx} = (\sin x)^x x^{\sin x} [\log(\sin x) + x \cot x + \sin x \log x + \cos x \log x] + a^x \log a. \]
Quick Tip: For functions involving powers and products, logarithmic differentiation simplifies the process.
Evaluate \( \int_{0}^{\pi/4} \frac{x}{1+\cos 2x + \sin 2x} \, dx \).
View Solution
Step 1: {Apply symmetry property of definite integrals
Let: \[ I = \int_{0}^{\pi/4} \frac{x}{1+\cos 2x + \sin 2x} \, dx. \]
Using the property \( \int_{0}^{a} f(x) \, dx = \int_{0}^{a} f(a-x) \, dx \), we get: \[ I = \int_{0}^{\pi/4} \frac{\pi/4 - x}{1+\cos 2x + \sin 2x} \, dx. \]
Step 2: {Combine integrals
Adding the two forms of \( I \): \[ 2I = \int_{0}^{\pi/4} \frac{\pi/4}{1+\cos 2x + \sin 2x} \, dx. \]
Step 3: {Simplify the integrand
Rewrite \( 1 + \cos 2x + \sin 2x \): \[ \cos 2x + \sin 2x = \sqrt{2} \sin(2x + \pi/4), \]
and simplify: \[ I = \frac{\pi}{16} \int_{0}^{\pi/4} \frac{1}{\cos^2 x + \sin x \cos x} \, dx. \]
Step 4: {Integrate and simplify
The integral evaluates to: \[ I = \frac{\pi}{16} (\log |1 + \tan x|)_{0}^{\pi/4}. \]
Substitute limits: \[ I = \frac{\pi}{16} \log 2. \]
Conclusion: The integral evaluates to \( \frac{\pi}{16} \log 2 \).
Quick Tip: For definite integrals with symmetric limits, apply symmetry properties to simplify.
Find: \( \int e^x \left[ \frac{1}{(1+x^2)^{3/2}} + \frac{x}{\sqrt{1+x^2}} \right] dx \).
View Solution
Step 1: The given integral can be written as: \[ I = \int e^x \left( \frac{x}{\sqrt{1+x^2}} + \frac{1}{(1+x^2)^{\frac{3}{2}}} \right) dx \]
Let: \[ f(x) = \frac{x}{\sqrt{1+x^2}} \]
Step 2: Now, calculate the derivative of \( f(x) \): \[ f'(x) = \frac{\sqrt{1+x^2} - \frac{x \cdot x}{\sqrt{1+x^2}}}{1+x^2} = \frac{\sqrt{1+x^2} - \frac{x^2}{\sqrt{1+x^2}}}{1+x^2} \]
Simplify the numerator: \[ f'(x) = \frac{\sqrt{1+x^2} - \frac{x^2}{\sqrt{1+x^2}}}{1+x^2} = \frac{1}{(1+x^2)^{\frac{3}{2}}} \]
Thus, the integral becomes: \[ I = \int e^x \left( f(x) + f'(x) \right) dx \]
Step 3: Using the standard result: \[ \int e^x \left( f(x) + f'(x) \right) dx = e^x f(x) + C \]
Substitute \( f(x) = \frac{x}{\sqrt{1+x^2}} \): \[ I = e^x \frac{x}{\sqrt{1+x^2}} + C \]
\subsection*{Final Answer: \[ \boxed{I = e^x \frac{x}{\sqrt{1+x^2}} + C} \]
\subsection*{Explanation:
1. Splitting the Integral: The given integral is split into terms containing \( \frac{x}{\sqrt{1+x^2}} \) and \( \frac{1}{(1+x^2)^{\frac{3}{2}}} \).
2. Defining \( f(x) \): The function \( f(x) \) is chosen as \( \frac{x}{\sqrt{1+x^2}} \) because its derivative results in the second term, \( \frac{1}{(1+x^2)^{\frac{3}{2}}} \).
3. Applying the Formula: The integral formula for \( \int e^x (f(x) + f'(x)) dx = e^x f(x) + C \) is directly applied.
4. Substitution: Finally, substituting \( f(x) \) into the formula gives the result. Quick Tip: For integrals involving a combination of functions \( f(x) \) and \( f'(x) \), use the substitution \( u = f(x) \) to simplify.
Find: \( \int \frac{3x+5}{\sqrt{x^2+2x+4}} dx \).
View Solution
Step 1: {Simplify the denominator
The denominator \( \sqrt{x^2+2x+4} \) can be written as \( \sqrt{(x+1)^2+3} \).
Step 2: {Split the integral
The integral becomes: \[ I = \int \frac{3x+5}{\sqrt{x^2+2x+4}} dx = \int \frac{2x+2}{\sqrt{x^2+2x+4}} dx + \int \frac{1}{\sqrt{x^2+2x+4}} dx. \]
Step 3: {Solve each part separately
For the first part: \[ \int \frac{2x+2}{\sqrt{x^2+2x+4}} dx = 2\sqrt{x^2+2x+4}. \]
For the second part: \[ \int \frac{1}{\sqrt{x^2+2x+4}} dx = \log\left|x+1+\sqrt{x^2+2x+4}\right|. \]
Step 4: {Combine results
Combine the results to get: \[ I = 3\sqrt{x^2+2x+4} + 2\log\left|x+1+\sqrt{x^2+2x+4}\right| + C. \]
Conclusion: The integral evaluates to: \[ \int \frac{3x+5}{\sqrt{x^2+2x+4}} dx = 3\sqrt{x^2+2x+4} + 2\log\left|x+1+\sqrt{x^2+2x+4}\right| + C. \]
Quick Tip: For integrals with quadratic expressions inside square roots, complete the square to simplify.
Find the particular solution of the differential equation \( \frac{dy}{dx} = y \cot 2x \), given that \( y\left(\frac{\pi}{4}\right) = 2 \).
View Solution
Step 1: Separating the Variables
Rewriting the equation: \[ \frac{1}{y} \, dy = \cot 2x \, dx \]
Step 2: Integrating Both Sides
Integrate both sides: \[ \int \frac{1}{y} \, dy = \int \cot 2x \, dx \]
The left-hand side becomes: \[ \log |y| \]
The right-hand side uses the integral of \( \cot 2x \): \[ \int \cot 2x \, dx = \frac{1}{2} \log |\sin 2x| \]
So the equation becomes: \[ \log |y| = \frac{1}{2} \log |\sin 2x| + \log c \]
Here, \( \log c \) is the constant of integration.
\subsection*{Step 3: Simplify the Expression
Combine the logarithms: \[ \log |y| = \log \left( c \sqrt{\sin 2x} \right) \]
Exponentiate both sides to remove the logarithm: \[ y = c \sqrt{\sin 2x} \]
\subsection*{Step 4: Finding the Particular Solution
We are given the condition \( y\left( \frac{\pi}{4} \right) = 2 \). Substitute \( x = \frac{\pi}{4} \) and \( y = 2 \) into the solution: \[ 2 = c \sqrt{\sin\left( 2 \cdot \frac{\pi}{4} \right)} \]
Simplify: \[ 2 = c \sqrt{\sin\left( \frac{\pi}{2} \right)} \]
Since \( \sin\left( \frac{\pi}{2} \right) = 1 \), we have: \[ 2 = c \cdot 1 \quad \Rightarrow \quad c = 2 \]
\subsection*{Step 5: Final Solution
Substitute \( c = 2 \) back into the solution: \[ y = 2 \sqrt{\sin 2x} \]
\subsection*{Final Answer: \[ \boxed{y = 2 \sqrt{\sin 2x}} \]
This is the required particular solution to the given differential equation. Quick Tip: For separable differential equations, isolate \( y \) and \( x \), then integrate both sides.
Find the particular solution of the differential equation \( \left( x (e)^y/^x + y \right) dx = x \, dy \), given that \( y = 1 \) when \( x = 1 \).
View Solution
Step 1: Rewrite the given differential equation
Rearrange the equation to separate variables: \[ \frac{dy}{dx} = x (e)^y/^x + \frac{y}{x} \]
This is a homogeneous differential equation.
Step 2: Substitution
Let: \[ y = v x \quad \Rightarrow \quad \frac{dy}{dx} = v + x \frac{dv}{dx} \]
Substitute \( y = v x \) into the equation: \[ v + x \frac{dv}{dx} = x (e)^y/^x + v \]
Simplify: \[ x \frac{dv}{dx} = x (e)^y/^x \]
Step 3: Solve for \( v \)
Rearrange the equation for integration: \[ \int e^{-v} \, dv = \int \frac{1}{x} \, dx \]
Evaluate the integrals: \[ -e^{-v} = \log |x| + c \]
Substitute \( v = \frac{y}{x} \): \[ -e^{-\frac{y}{x}} = \log |x| + c \quad \dots (1) \]
Step 4: Apply the initial condition
We are given that \( y = 1 \) when \( x = 1 \). Substitute \( x = 1 \) and \( y = 1 \) into equation (1): \[ -e^{-\frac{1}{1}} = \log |1| + c \]
Since \( \log |1| = 0 \): \[ -e^{-1} = c \]
Thus: \[ c = -e^{-1} \]
Step 5: Substitute \( c \) back into the solution
Substitute \( c = -e^{-1} \) into equation (1): \[ -e^{-\frac{y}{x}} = \log |x| - e^{-1} \]
Rearranging: \[ \log |x| + e^{-\frac{y}{x}} = e^{-1} \]
% Final Answer
Final Answer: \[ \boxed{\log |x| + e^{-\frac{y}{x}} = e^{-1}} \] Quick Tip: For homogeneous differential equations, use substitution \( y = v x \) to simplify the equation and separate variables.
Solve the following linear programming problem graphically:
Maximise \( Z = 2x + 3y \), subject to the constraints: \( x + y \leq 6, \, x \geq 2, \, y \geq 3, \, x \geq 0, \, y \geq 0. \)
View Solution
Step 1: {Plot the constraints
Graph the constraints \( x+y \leq 6, \, x \geq 2, \, y \geq 3, \, x \geq 0, \, y \geq 0 \) on the Cartesian plane. The feasible region is the shaded region bounded by these lines.
Step 2: {Find corner points
The corner points of the feasible region are: \[ A(2, 3), \, B(3, 3), \, C(6, 0), \, D(2, 0). \]
Step 3: {Evaluate \( Z = 2x + 3y \) at each point
\[ Z(2, 3) = 13, \quad Z(3, 3) = 15, \quad Z(6, 0) = 12, \quad Z(2, 0) = 4. \]
Conclusion: The maximum value of \( Z \) is \( 15 \), which occurs at \( (3, 3) \).
Quick Tip: In linear programming, always evaluate the objective function at the corner points of the feasible region.
A card from a well-shuffled deck of 52 playing cards is lost. From the remaining cards of the pack, a card is drawn at random and is found to be a King. Find the probability of the lost card being a King.
View Solution
Step 1: Define the events
Let \( E_1 \) be the event that the lost card is a King, and \( E_2 \) be the event that the lost card is not a King. Let \( A \) be the event of drawing a King from the remaining 51 cards.
Step 2: Assign probabilities to the events
\[ P(E_1) = \frac{1}{13}, \quad P(E_2) = \frac{12}{13}, \quad P(A|E_1) = \frac{3}{51}, \quad P(A|E_2) = \frac{4}{51} \]
Step 3: Use Bayes' Theorem
The required probability is \( P(E_1|A) \), which is given by: \[ P(E_1|A) = \frac{P(A|E_1) \cdot P(E_1)}{P(A|E_1) \cdot P(E_1) + P(A|E_2) \cdot P(E_2)} \]
Substituting the values: \[ P(E_1|A) = \frac{\frac{1}{13} \cdot \frac{3}{51}}{\frac{1}{13} \cdot \frac{3}{51} + \frac{12}{13} \cdot \frac{4}{51}} = \frac{\frac{3}{663}}{\frac{3}{663} + \frac{48}{663}} = \frac{3}{51} = \frac{1}{17} \]
Step 4: Final result
The probability that the lost card is a King is \( \frac{1}{17} \). Quick Tip: When solving problems involving missing or conditional probabilities, use Bayes' Theorem and clearly define all events and conditional probabilities.
A biased die is twice as likely to show an even number as an odd number. If such a die is thrown twice, find the probability distribution of the number of sixes. Also, find the mean of the distribution.
View Solution
Step 1: Assign probabilities
Let \( P(3) = P(5) = p \), so \( P(2) = P(4) = P(6) = 2p \).
As the total probability is 1: \[ P(1) + P(2) + P(3) + P(4) + P(5) + P(6) = 1 \implies 9p = 1 \implies p = \frac{1}{9} \]
Thus, \( P(6) = 2p = \frac{2}{9} \), and \( P(Not getting six) = 1 - P(6) = \frac{7}{9} \).
Step 2: Define the random variable \( X \)
Let \( X \) represent the number of sixes. The possible values of \( X \) are \( 0, 1, 2 \).
Step 3: Compute probabilities for \( X \)
\[ P(X = 0) = \left( \frac{7}{9} \right)^2 = \frac{49}{81}, \quad P(X = 1) = 2 \cdot \frac{2}{9} \cdot \frac{7}{9} = \frac{28}{81}, \quad P(X = 2) = \left( \frac{2}{9} \right)^2 = \frac{4}{81} \]
Step 4: Compute the mean of \( X \)
The mean is given by: \[ \mu = \sum_{i=1}^{3} X_i \cdot P(X_i) = 0 \cdot \frac{49}{81} + 1 \cdot \frac{28}{81} + 2 \cdot \frac{4}{81} = \frac{28}{81} + \frac{8}{81} = \frac{36}{81} = \frac{4}{9} \]
The mean of the distribution is \( \frac{4}{9} \). Quick Tip: When working with biased probability distributions, ensure the total probability sums to 1 and carefully calculate probabilities for each outcome.
Sketch the graph of \( y = x|x| \) and hence find the area bounded by this curve, the X-axis, and the ordinates \( x = -2 \) and \( x = 2 \), using integration.
View Solution
Step 1: Rewrite the function \( y = x|x| \)
The function \( y = x|x| \) can be expressed as: \[ y = \begin{cases} -x^2, & x < 0
x^2, & x \geq 0 \end{cases} \]
Step 2: Graph the function
The graph of \( y = x|x| \) is a parabola, concave downwards for \( x < 0 \) and concave upwards for \( x \geq 0 \). (Refer to the attached graph.)
Step 3: Area computation using integration
The area of the shaded region between \( x = -2 \) and \( x = 2 \) is given by: \[ Area = \int_{-2}^{2} |y| \, dx = 2 \int_{0}^{2} x^2 \, dx \]
Step 4: Evaluate the integral
\[ \int_{0}^{2} x^2 \, dx = \left[ \frac{x^3}{3} \right]_{0}^{2} = \frac{2^3}{3} - \frac{0^3}{3} = \frac{8}{3} \]
Thus, the total area is: \[ Area = 2 \cdot \frac{8}{3} = \frac{16}{3} \]
Step 5: Final result
The area bounded by the curve \( y = x|x| \), the X-axis, and the ordinates \( x = -2 \) and \( x = 2 \) is \( \frac{16}{3} \). Quick Tip: When finding the area bounded by curves, split the integral into regions where the function behaves differently (e.g., absolute values or piecewise functions).
Using integration, find the area bounded by the ellipse \( 9x^2 + 25y^2 = 225 \), the lines \( x = -2, x = 2 \), and the X-axis.
View Solution
Step 1: Rewrite the equation of the ellipse
The equation of the ellipse is: \[ 9x^2 + 25y^2 = 225 \implies y = \pm \frac{3}{5} \sqrt{25 - x^2} \]
Step 2: Set up the integral for the area
The area of the region bounded by the ellipse, the X-axis, and the lines \( x = -2 \) and \( x = 2 \) is given by: \[ Area = 2 \int_{0}^{2} \frac{3}{5} \sqrt{25 - x^2} \, dx \]
Step 3: Simplify the integral
Let \( I = \int \sqrt{a^2 - x^2} \, dx \), where \( a = 5 \). Using the standard formula: \[ \int \sqrt{a^2 - x^2} \, dx = \frac{x}{2} \sqrt{a^2 - x^2} + \frac{a^2}{2} \sin^{-1}\left(\frac{x}{a}\right) + C \]
Step 4: Evaluate the integral
Substitute \( a = 5 \) and evaluate \( \int_{0}^{2} \sqrt{25 - x^2} \, dx \): \[ \int_{0}^{2} \sqrt{25 - x^2} \, dx = \left[ \frac{x}{2} \sqrt{25 - x^2} + \frac{25}{2} \sin^{-1}\left(\frac{x}{5}\right) \right]_{0}^{2} \]
At \( x = 2 \): \[ \frac{2}{2} \sqrt{25 - 2^2} + \frac{25}{2} \sin^{-1}\left(\frac{2}{5}\right) = \sqrt{21} + \frac{25}{2} \sin^{-1}\left(\frac{2}{5}\right) \]
At \( x = 0 \): \[ \frac{0}{2} \sqrt{25 - 0^2} + \frac{25}{2} \sin^{-1}(0) = 0 \]
Thus: \[ \int_{0}^{2} \sqrt{25 - x^2} \, dx = \sqrt{21} + \frac{25}{2} \sin^{-1}\left(\frac{2}{5}\right) \]
Step 5: Final area calculation
Multiply by \( \frac{6}{5} \) to account for \( \frac{3}{5} \) and the factor of 2: \[ Area = \frac{6}{5} \left(\sqrt{21} + \frac{25}{2} \sin^{-1}\left(\frac{2}{5}\right)\right) \]
Step 6: Final result
The area bounded by the ellipse, the X-axis, and the lines \( x = -2 \) and \( x = 2 \) is: \[ \frac{6\sqrt{21}}{5} + 15 \sin^{-1}\left(\frac{2}{5}\right) \] Quick Tip: When integrating to find areas involving ellipses or circles, use symmetry and standard integral formulas for \( \sqrt{a^2 - x^2} \).
Let \( A = \mathbb{R} - \{5\} \) and \( B = \mathbb{R} - \{1\} \). Consider the function \( f : A \to B \), defined by \( f(x) = \frac{x - 3}{x - 5} \). Show that \( f \) is one-one and onto.
View Solution
Step 1: Prove that \( f \) is one-one
Let \( f(x_1) = f(x_2) \), where \( x_1, x_2 \in A \): \[ \frac{x_1 - 3}{x_1 - 5} = \frac{x_2 - 3}{x_2 - 5} \]
Cross-multiply: \[ (x_1 - 3)(x_2 - 5) = (x_2 - 3)(x_1 - 5) \]
Simplify: \[ x_1x_2 - 5x_1 - 3x_2 + 15 = x_1x_2 - 5x_2 - 3x_1 + 15 \] \[ -5x_1 - 3x_2 = -5x_2 - 3x_1 \implies 5(x_2 - x_1) = 3(x_2 - x_1) \]
If \( x_1 \neq x_2 \), this leads to a contradiction. Hence, \( x_1 = x_2 \), proving \( f \) is one-one.
Step 2: Prove that \( f \) is onto
Let \( y \in B \). Solve \( f(x) = y \): \[ \frac{x - 3}{x - 5} = y \implies x - 3 = y(x - 5) \] \[ x - 3 = yx - 5y \implies x - yx = -5y + 3 \] \[ x(1 - y) = -5y + 3 \implies x = \frac{-5y + 3}{1 - y} \]
For \( y \neq 1 \) (since \( y \in B \)), \( x \) exists in \( A \). Thus, \( f \) is onto.
Step 3: Conclude the function properties
Since \( f \) is both one-one and onto, \( f \) is a bijection. Quick Tip: To prove a function is one-one, show that \( f(x_1) = f(x_2) \) implies \( x_1 = x_2 \). To prove onto, solve \( f(x) = y \) and ensure \( x \) lies in the domain.
Check whether the relation \( S \) in the set of real numbers \( \mathbb{R} \), defined by \( S = \{(a, b) : a - b + \sqrt{2} is an irrational number\} \), is reflexive, symmetric, or transitive.
View Solution
Step 1: Reflexivity
For \( a \in \mathbb{R} \): \[ a - a + \sqrt{2} = \sqrt{2} is irrational. \]
Thus, \( (a, a) \in S \), and \( S \) is reflexive.
Step 2: Symmetry
Let \( (a, b) \in S \), so: \[ a - b + \sqrt{2} is irrational. \]
Now, check if \( (b, a) \in S \): \[ b - a + \sqrt{2} may or may not be irrational. \]
For example: \[ a = \sqrt{2}, \, b = 1 \implies a - b + \sqrt{2} = \sqrt{2} - 1 + \sqrt{2} = 2\sqrt{2} - 1 (irrational), but \] \[ b - a + \sqrt{2} = 1 - \sqrt{2} + \sqrt{2} = 1 (rational). \]
Thus, \( S \) is not symmetric.
Step 3: Transitivity
Let \( (a, b) \in S \) and \( (b, c) \in S \), so: \[ a - b + \sqrt{2} is irrational, and b - c + \sqrt{2} is irrational. \]
Check if \( (a, c) \in S \): \[ a - c + \sqrt{2} = (a - b + \sqrt{2}) + (b - c + \sqrt{2}) - \sqrt{2} may or may not be irrational. \]
For example: \[ a = 1, b = \sqrt{3}, c = \sqrt{3} - \sqrt{2} \implies a - c + \sqrt{2} = 1 - (\sqrt{3} - \sqrt{2}) + \sqrt{2} = 1 - \sqrt{3} + 2\sqrt{2}. \]
This is irrational, but a counterexample exists for other values. Thus, \( S \) is not transitive.
Step 4: Final conclusion
The relation \( S \) is reflexive but neither symmetric nor transitive. Quick Tip: To test reflexivity, verify if \( (a, a) \in S \) for all \( a \). For symmetry and transitivity, check logical equivalence and counterexamples.
If \( A = \begin{bmatrix} 2 & 1 & -3
3 & 2 & 1
1 & 2 & -1 \end{bmatrix} \), find \( A^{-1} \) and hence solve the following system of equations:
\[ 2x + y - 3z = 13, \quad 3x + 2y + z = 4, \quad x + 2y - z = 8 \]
View Solution
Step 1: Compute \( A^{-1} \)
The given matrix \( A \) is: \[ A = \begin{bmatrix} 2 & 1 & -3
3 & 2 & 1
1 & 2 & -1 \end{bmatrix} \]
The determinant of \( A \) is: \[ |A| = 2(2 \cdot -1 - 1 \cdot 2) - 1(3 \cdot -1 - 1 \cdot 1) + (-3)(3 \cdot 2 - 2 \cdot 1) = -16 \]
Since \( |A| \neq 0 \), \( A^{-1} \) exists. The adjoint of \( A \) is: \[ adj(A) = \begin{bmatrix} -4 & -5 & 7
4 & 1 & -11
4 & -3 & 1 \end{bmatrix} \]
Thus: \[ A^{-1} = \frac{1}{|A|} adj(A) = -\frac{1}{16} \begin{bmatrix} -4 & -5 & 7
4 & 1 & -11
4 & -3 & 1 \end{bmatrix} \]
Step 2: Represent the system in matrix form
The system of equations can be written as: \[ AX = B, \quad where A = \begin{bmatrix} 2 & 1 & -3
3 & 2 & 1
1 & 2 & -1 \end{bmatrix}, \, X = \begin{bmatrix} x
y
z \end{bmatrix}, \, B = \begin{bmatrix} 13
4
8 \end{bmatrix} \]
To solve for \( X \): \[ X = A^{-1} B \]
Step 3: Solve for \( X \)
\[ X = -\frac{1}{16} \begin{bmatrix} -4 & -5 & 7
4 & 1 & -11
4 & -3 & 1 \end{bmatrix} \begin{bmatrix} 13
4
8 \end{bmatrix} \] \[ X = -\frac{1}{16} \begin{bmatrix} -16
-32
48 \end{bmatrix} = \begin{bmatrix} 1
2
-3 \end{bmatrix} \]
Step 4: Final result
The solution to the system of equations is: \[ x = 1, \quad y = 2, \quad z = -3 \] Quick Tip: Always verify the determinant before finding the inverse of a matrix. If \( |A| = 0 \), the inverse does not exist.
Find the distance between the line \( \frac{x}{2} = \frac{2y - 6}{4} = \frac{1 - z}{-1} \) and another line parallel to it passing through the point \( (4, 0, -5) \).
View Solution
Step 1: Standardize the equations of the lines
The given line \( L_1 \) is: \[ \frac{x}{2} = \frac{2y - 6}{4} = \frac{1 - z}{-1} \implies \vec{r}_1 = \vec{0} + \lambda(2\hat{i} + \hat{j} + \hat{k}) \]
The line \( L_2 \) parallel to \( L_1 \) and passing through \( (4, 0, -5) \) is: \[ \vec{r}_2 = (4\hat{i} - 5\hat{k}) + \mu(2\hat{i} + \hat{j} + \hat{k}) \]
Step 2: Vector between the lines
Let \( \vec{a}_2 - \vec{a}_1 = (4\hat{i} - 5\hat{k}) - (0) = 4\hat{i} - 5\hat{k} \). The direction vector \( \vec{b} = 2\hat{i} + \hat{j} + \hat{k} \).
Step 3: Find the shortest distance
The shortest distance \( S.D. \) is given by: \[ S.D. = \frac{|(\vec{a}_2 - \vec{a}_1) \cdot (\vec{b})|}{|\vec{b}|} \]
Compute \( \vec{b} \times (\vec{a}_2 - \vec{a}_1) \): \[ \vec{b} \times (\vec{a}_2 - \vec{a}_1) = \begin{vmatrix} \hat{i} & \hat{j} & \hat{k}
2 & 1 & 1
4 & 0 & -5 \end{vmatrix} = 9\hat{i} - 16\hat{j} + 14\hat{k} \]
The magnitude: \[ | \vec{b} | = \sqrt{2^2 + 1^2 + 1^2} = 3 \] \[ S.D. = \frac{\sqrt{81 + 256 + 196}}{3} = \frac{\sqrt{533}}{3} \, units. \] Quick Tip: For the shortest distance between skew or parallel lines, use the cross-product approach for accuracy.
If the lines \( \frac{x - 1}{-3} = \frac{y - 2}{2k} = \frac{z - 3}{2} \) and \( \frac{x - 1}{3k} = \frac{y - 1}{1} = \frac{z - 6}{-7} \) are perpendicular to each other, find the value of \( k \) and hence write the vector equation of a line perpendicular to these two lines passing through the point \( (3, -4, 7) \).
View Solution
Step 1: Find \( k \)
The direction ratios of the first line are \( \langle -3, 2k, 2 \rangle \) and for the second line are \( \langle 3k, 1, -7 \rangle \). Since the lines are perpendicular: \[ (-3)(3k) + (2k)(1) + (2)(-7) = 0 \] \[ -9k + 2k - 14 = 0 \implies -7k = 14 \implies k = -2 \]
Step 2: Find the vector equation of the perpendicular line
The direction vectors are: \[ \vec{b}_1 = \langle -3, -4, 2 \rangle, \quad \vec{b}_2 = \langle -6, 1, -7 \rangle \]
The perpendicular vector is: \[ \vec{b} = \vec{b}_1 \times \vec{b}_2 = \begin{vmatrix} \hat{i} & \hat{j} & \hat{k}
-3 & -4 & 2
-6 & 1 & -7 \end{vmatrix} = 26\hat{i} - 33\hat{j} - 27\hat{k} \]
The required equation is: \[ \vec{r} = \langle 3, -4, 7 \rangle + \lambda(26\hat{i} - 33\hat{j} - 27\hat{k}) \] Quick Tip: For perpendicular lines, use the dot product of their direction vectors to solve for unknown parameters.
Determine the number of units (\( x \)) that should be sold to maximise the revenue \( R(x) = x \cdot p(x) \). Also verify the result.
View Solution
Step 1: Express revenue as a function of \( x \)
Revenue is given by: \[ R(x) = x \cdot p(x) = x \cdot \left( 450 - \frac{x}{2} \right) = 450x - \frac{x^2}{2}. \]
Step 2: Differentiate to find critical points
The first derivative of \( R(x) \) is: \[ \frac{dR}{dx} = 450 - x. \]
For maximum or minimum, set \( \frac{dR}{dx} = 0 \): \[ 450 - x = 0 \implies x = 450. \]
Step 3: Verify using the second derivative
The second derivative of \( R(x) \) is: \[ \frac{d^2R}{dx^2} = -1 < 0. \]
Since \( \frac{d^2R}{dx^2} < 0 \), \( R(x) \) is maximum when \( x = 450 \).
Step 4: Final result
The number of units that should be sold to maximise revenue is \( x = 450 \). Quick Tip: To maximise revenue or profit, always verify the nature of the critical point using the second derivative test.
What rebate in price of the calculator should the store give to maximise the revenue?
View Solution
Step 1: Calculate the price at \( x = 450 \)
The price is given by: \[ p = 450 - \frac{x}{2} = 450 - \frac{450}{2} = 225. \]
Step 2: Compute the rebate
The original price is Rs. 350. The rebate is: \[ Rebate = 350 - 225 = 125 \, (Rs. per calculator). \]
Step 3: Final result
The rebate required to maximise the revenue is Rs. 125 per calculator. Quick Tip: For pricing and revenue problems, calculate the optimal price after determining the maximum quantity sold.
How far is the star \( V \) from star \( A \)?
View Solution
Step 1: Compute the position vector of \( \overrightarrow{AV} \)
\[ \overrightarrow{AV} = Position vector of V - Position vector of A \] \[ \overrightarrow{AV} = (-3\hat{i} + 7\hat{j} + 11\hat{k}) - (7\hat{i} + 5\hat{j} + 8\hat{k}) = -10\hat{i} + 2\hat{j} + 3\hat{k}. \]
Step 2: Compute the magnitude of \( \overrightarrow{AV} \)
\[ |\overrightarrow{AV}| = \sqrt{(-10)^2 + 2^2 + 3^2} = \sqrt{100 + 4 + 9} = \sqrt{113}. \]
Step 3: Final result
The distance between star \( V \) and star \( A \) is \( \sqrt{113} \) units. Quick Tip: To find the distance between two points, use the magnitude of the difference of their position vectors.
Find a unit vector in the direction of \( \overrightarrow{DA} \).
View Solution
Step 1: Compute \( \overrightarrow{DA} \)
\[ \overrightarrow{DA} = Position vector of A - Position vector of D \] \[ \overrightarrow{DA} = (7\hat{i} + 5\hat{j} + 8\hat{k}) - (2\hat{i} + 3\hat{j} + 4\hat{k}) = 5\hat{i} + 2\hat{j} + 4\hat{k}. \]
Step 2: Find the magnitude of \( \overrightarrow{DA} \)
\[ |\overrightarrow{DA}| = \sqrt{(5)^2 + (2)^2 + (4)^2} = \sqrt{25 + 4 + 16} = \sqrt{45} = 3\sqrt{5}. \]
Step 3: Compute the unit vector
The unit vector is: \[ \hat{u} = \frac{\overrightarrow{DA}}{|\overrightarrow{DA}|} = \frac{5\hat{i} + 2\hat{j} + 4\hat{k}}{3\sqrt{5}} = \frac{5}{3\sqrt{5}}\hat{i} + \frac{2}{3\sqrt{5}}\hat{j} + \frac{4}{3\sqrt{5}}\hat{k}. \]
Step 4: Final result
The unit vector in the direction of \( \overrightarrow{DA} \) is: \[ \frac{5}{3\sqrt{5}}\hat{i} + \frac{2}{3\sqrt{5}}\hat{j} + \frac{4}{3\sqrt{5}}\hat{k}. \] Quick Tip: To find a unit vector, divide the vector by its magnitude.
Find the measure of \( \angle VDA \).
View Solution
Step 1: Recall the formula for the angle between vectors
The angle \( \theta \) between two vectors \( \overrightarrow{VD} \) and \( \overrightarrow{DA} \) is given by: \[ \cos \theta = \frac{\overrightarrow{VD} \cdot \overrightarrow{DA}}{|\overrightarrow{VD}| \cdot |\overrightarrow{DA}|}. \]
Step 2: Compute \( \overrightarrow{VD} \) and \( \overrightarrow{DA} \)
From previous calculations: \[ \overrightarrow{VD} = \overrightarrow{V} - \overrightarrow{D} = (-3\hat{i} + 7\hat{j} + 11\hat{k}) - (2\hat{i} + 3\hat{j} + 4\hat{k}) = -5\hat{i} + 4\hat{j} + 7\hat{k}. \] \[ \overrightarrow{DA} = 5\hat{i} + 2\hat{j} + 4\hat{k}. \]
Step 3: Compute \( \overrightarrow{VD} \cdot \overrightarrow{DA} \)
\[ \overrightarrow{VD} \cdot \overrightarrow{DA} = (-5)(5) + (4)(2) + (7)(4) = -25 + 8 + 28 = 11. \]
Step 4: Compute magnitudes of \( \overrightarrow{VD} \) and \( \overrightarrow{DA} \)
\[ |\overrightarrow{VD}| = \sqrt{(-5)^2 + 4^2 + 7^2} = \sqrt{25 + 16 + 49} = \sqrt{90}. \] \[ |\overrightarrow{DA}| = \sqrt{(5)^2 + (2)^2 + (4)^2} = \sqrt{25 + 4 + 16} = \sqrt{45}. \]
Step 5: Compute \( \cos \theta \)
\[ \cos \theta = \frac{11\sqrt{2}}{\sqrt{90} \cdot \sqrt{45}} = \frac{11\sqrt{2}}{\sqrt{4050}} = \frac{11\sqrt{2}}{90}. \]
Step 6: Final result
The measure of \( \angle VDA \) is: \[ \theta = \cos^{-1} \left( \frac{11\sqrt{2}}{90} \right). \] Quick Tip: For angles between vectors, always use the dot product formula and ensure the magnitude is correctly computed.
What is the projection of vector \( \overrightarrow{DV} \) on vector \( \overrightarrow{DA} \)?
View Solution
Step 1: Recall the formula for projection
The projection of \( \overrightarrow{DV} \) on \( \overrightarrow{DA} \) is given by: \[ Projection = \frac{\overrightarrow{DV} \cdot \overrightarrow{DA}}{|\overrightarrow{DA}|}. \]
Step 2: Compute \( \overrightarrow{DV} \)
\[ \overrightarrow{DV} = \overrightarrow{V} - \overrightarrow{D} = (-5\hat{i} + 4\hat{j} + 7\hat{k}). \]
Step 3: Compute \( \overrightarrow{DV} \cdot \overrightarrow{DA} \)
From the previous calculations: \[ \overrightarrow{DV} \cdot \overrightarrow{DA} = (-5)(5) + (4)(2) + (7)(4) = -25 + 8 + 28 = 11. \]
Step 4: Compute \( |\overrightarrow{DA}| \)
\[ |\overrightarrow{DA}| = \sqrt{(5)^2 + (2)^2 + (4)^2} = \sqrt{45} = 3\sqrt{5}. \]
Step 5: Compute the projection
\[ Projection = \frac{\overrightarrow{DV} \cdot \overrightarrow{DA}}{|\overrightarrow{DA}|} = \frac{11}{3\sqrt{5}}. \]
Step 6: Final result
The projection of \( \overrightarrow{DV} \) on \( \overrightarrow{DA} \) is: \[ \frac{11\sqrt{5}}{15}. \] Quick Tip: The projection of one vector onto another gives the component of the first vector along the direction of the second.
What is the probability that at least one of them is selected?
View Solution
Step 1: Probability of no one being selected
The probability that none of them are selected is: \[ P(No one selected) = \left( 1 - \frac{1}{5} \right) \cdot \left( 1 - \frac{1}{3} \right) \cdot \left( 1 - \frac{1}{4} \right) = \frac{4}{5} \cdot \frac{2}{3} \cdot \frac{3}{4} = \frac{2}{5}. \]
Step 2: Probability of at least one being selected
The probability that at least one of them is selected is: \[ P(At least one selected) = 1 - P(No one selected) = 1 - \frac{2}{5} = \frac{3}{5}. \]
Final Result: The probability that at least one of them is selected is \( \frac{3}{5} \). Quick Tip: To find the probability of "at least one" event happening, use the complement rule: \( P(At least one) = 1 - P(None) \).
Find \( P(G \cap \overline{H}) \), where \( G \) is the event of Jaspreet's selection and \( \overline{H} \) denotes the event that Rohit is not selected.
View Solution
\( \mathrm{P}(\mathrm{G}|\overline{\mathrm{H}}) \) is the conditional probability of \( G \) given \( \overline{H} \).
\( P(G \cap \overline{H}) \) is the probability that both \( G \) and \( \overline{H} \) occur.
\( P(\overline{H}) \) is the probability that \( H \) does not occur.
\[ \mathrm{P}(\mathrm{G}|\overline{\mathrm{H}}) = \frac{P(G \cap \overline{H})}{P(\overline{H})} = \frac{1}{3} \] Quick Tip: For independent events, the probability of their intersection is the product of their individual probabilities.
Find the probability that exactly one of them is selected.
View Solution
Step 1: Compute the probability of exactly one being selected
The probability of exactly one being selected is: \[ P(Exactly one selected) = P(R) \cdot P(\overline{J}) \cdot P(\overline{A}) + P(\overline{R}) \cdot P(J) \cdot P(\overline{A}) + P(\overline{R}) \cdot P(\overline{J}) \cdot P(A), \]
where: \[ P(\overline{J}) = 1 - P(J) = \frac{2}{3}, \quad P(\overline{A}) = 1 - P(A) = \frac{3}{4}, \quad P(\overline{R}) = 1 - P(R) = \frac{4}{5}. \]
Substitute the values: \[ P(Exactly one selected) = \frac{1}{5} \cdot \frac{2}{3} \cdot \frac{3}{4} + \frac{4}{5} \cdot \frac{1}{3} \cdot \frac{3}{4} + \frac{4}{5} \cdot \frac{2}{3} \cdot \frac{1}{4}. \]
Simplify each term: \[ P(Exactly one selected) = \frac{6}{60} + \frac{12}{60} + \frac{8}{60} = \frac{26}{60} = \frac{13}{30}. \]
Final Result: The probability that exactly one of them is selected is \( \frac{13}{30} \). Quick Tip: To calculate "exactly one" selection, consider all cases where one succeeds, and the others fail, then sum the probabilities.
Find the probability that exactly two of them are selected.
View Solution
Step 1: Compute the probability of exactly two being selected
The probability of exactly two being selected is: \[ P(Exactly two selected) = P(R) \cdot P(J) \cdot P(\overline{A}) + P(R) \cdot P(\overline{J}) \cdot P(A) + P(\overline{R}) \cdot P(J) \cdot P(A). \]
Substitute the values: \[ P(Exactly two selected) = \frac{1}{5} \cdot \frac{1}{3} \cdot \frac{3}{4} + \frac{1}{5} \cdot \frac{2}{3} \cdot \frac{1}{4} + \frac{4}{5} \cdot \frac{1}{3} \cdot \frac{1}{4}. \]
Simplify each term: \[ P(Exactly two selected) = \frac{3}{60} + \frac{2}{60} + \frac{4}{60} = \frac{9}{60} = \frac{3}{20}. \]
Final Result: The probability that exactly two of them are selected is \( \frac{3}{20} \). Quick Tip: For "exactly two" events, consider all pairs of selections and one failure, and sum their probabilities.








Comments