CBSE Class 12 Mathematics Question Paper 2024 PDF (Set 2- 65/1/2) is available for download here. CBSE conducted the Mathematics exam on March 9, 2024 from 10:30 AM to 1:30 PM. The total marks for the theory paper are 80. The question paper contains 20% MCQ-based questions, 40% competency-based questions, and 40% short and long answer type questions.
CBSE Class 12 Mathematics Question Paper 2024 (Set 1- 65/1/2) with Answer Key
| CBSE Class 12 2024 Mathematics Question Paper with Answer Key | Check Solution |
Let \( \theta \) be the angle between two unit vectors \( \hat{a} \) and \( \hat{b} \) such that \( \sin \theta = \frac{3}{5} \). Then, \( \hat{a} \cdot \hat{b} \) is equal to:
View Solution
Step 1: Recall the relationship between the dot product and the angle.
The dot product between two unit vectors is defined as: \[ \hat{a} \cdot \hat{b} = \cos \theta, \]
where \( \cos \theta \) is derived from the angle between the two vectors.
Step 2: Use the Pythagorean identity to calculate \( \cos \theta \).
We know \( \sin \theta = \frac{3}{5} \). Using the Pythagorean identity: \[ \sin^2 \theta + \cos^2 \theta = 1, \]
we substitute \( \sin^2 \theta = \left(\frac{3}{5}\right)^2 \) to find \( \cos^2 \theta \): \[ \cos^2 \theta = 1 - \left(\frac{3}{5}\right)^2 = 1 - \frac{9}{25} = \frac{16}{25}. \]
Taking the square root, we get: \[ \cos \theta = \pm \sqrt{\frac{16}{25}} = \pm \frac{4}{5}. \]
Step 3: Conclude the value of \( \hat{a} \cdot \hat{b} \).
Since the dot product \( \hat{a} \cdot \hat{b} = \cos \theta \), we find: \[ \hat{a} \cdot \hat{b} = \pm \frac{4}{5}. \]
Thus, the correct answer is (C) \( \pm \frac{4}{5} \). Quick Tip: When solving problems involving unit vectors, remember that the dot product can directly provide the cosine of the angle. For trigonometric identities, always ensure you consider both the positive and negative square root values, depending on the quadrant of the angle.
The integrating factor of the differential equation \( x \frac{dy}{dx} - y = x^4 - 3x \) is:
View Solution
Step 1: Rewrite the differential equation in standard form.
The given differential equation is: \[ x \frac{dy}{dx} - y = x^4 - 3x. \]
Dividing through by \( x \) (assuming \( x > 0 \)), we get: \[ \frac{dy}{dx} - \frac{y}{x} = x^3 - \frac{3}{x}. \]
Here, \( P(x) = -\frac{1}{x} \) is the coefficient of \( y \).
Step 2: Calculate the integrating factor.
The integrating factor (IF) for a linear differential equation is given by: \[ IF = e^{\int P(x) \, dx}. \]
Substituting \( P(x) = -\frac{1}{x} \), we have: \[ IF = e^{\int -\frac{1}{x} \, dx}. \]
Integrating: \[ \int -\frac{1}{x} \, dx = -\ln|x|. \]
So: \[ IF = e^{-\ln|x|}. \]
Step 3: Simplify the integrating factor.
Using the property \( e^{\ln a} = a \), this simplifies to: \[ IF = |x|^{-1}. \]
For positive \( x \), we can write: \[ IF = x^{-1}. \]
Hence, the integrating factor is (C) \( x^{-1} \). Quick Tip: When solving linear differential equations, always check the sign of \( P(x) \) and carefully compute the integrating factor using \( e^{\int P(x) \, dx} \). Simplifying the exponential term can help avoid errors.
If the direction cosines of a line are \( \sqrt{3}k, \sqrt{3}k, \sqrt{3}k \), then the value of \( k \) is:
View Solution
Step 1: Recall the condition for direction cosines.
The direction cosines of a line, denoted by \( l, m, n \), satisfy the equation: \[ l^2 + m^2 + n^2 = 1. \]
Step 2: Substitute the given values.
Here, the direction cosines are \( l = \sqrt{3}k \), \( m = \sqrt{3}k \), and \( n = \sqrt{3}k \). Substituting these into the equation: \[ (\sqrt{3}k)^2 + (\sqrt{3}k)^2 + (\sqrt{3}k)^2 = 1. \]
Step 3: Simplify the equation.
Simplify each term: \[ 3k^2 + 3k^2 + 3k^2 = 1, \] \[ 9k^2 = 1. \]
Step 4: Solve for \( k^2 \).
Divide by \( 9 \) on both sides: \[ k^2 = \frac{1}{9}. \]
Take the square root on both sides: \[ k = \pm \frac{1}{3}. \]
Hence, the value of \( k \) is (D) \( \pm \frac{1}{3} \). Quick Tip: The direction cosines of a line are always subject to the condition \( l^2 + m^2 + n^2 = 1 \). Ensure all substitutions and calculations adhere to this fundamental relation.
A linear programming problem deals with the optimization of a/an:
View Solution
Step 1: Understand the concept of linear programming.
Linear programming is a mathematical method for optimizing a linear objective function, subject to a set of linear constraints expressed as inequalities or equations.
Step 2: Define the general structure of a linear programming problem.
A typical linear programming problem involves: \[ Optimize (maximize or minimize): Z = c_1x_1 + c_2x_2 + \dots + c_nx_n, \]
where \( Z \) is the objective function, and \( x_1, x_2, \dots, x_n \) are decision variables. The constraints are also linear equations or inequalities, such as: \[ a_{11}x_1 + a_{12}x_2 + \dots + a_{1n}x_n \leq b_1. \]
Step 3: Conclusion.
Since the objective function and constraints are linear, a linear programming problem always deals with the optimization of a linear function.
Hence, the correct answer is (B) linear function. Quick Tip: Linear programming problems are solved using methods such as the graphical method (for two variables) or the simplex method (for higher dimensions). Always ensure the constraints are linear.
If \( P(A \mid B) = P(A' \mid B) \), then which of the following statements is true?
View Solution
Step 1: Use the definition of conditional probability.
The conditional probability \( P(A \mid B) \) is defined as: \[ P(A \mid B) = \frac{P(A \cap B)}{P(B)}. \]
Similarly: \[ P(A' \mid B) = \frac{P(A' \cap B)}{P(B)}. \]
Step 2: Equate the given conditional probabilities.
We are given: \[ P(A \mid B) = P(A' \mid B). \]
Substitute the definitions of conditional probabilities: \[ \frac{P(A \cap B)}{P(B)} = \frac{P(A' \cap B)}{P(B)}. \]
Since \( P(B) > 0 \), cancel \( P(B) \) from both sides: \[ P(A \cap B) = P(A' \cap B). \]
Step 3: Use the property of probabilities.
From the property of probabilities: \[ P(A \cap B) + P(A' \cap B) = P(B). \]
Substitute \( P(A \cap B) = P(A' \cap B) \) into the equation: \[ P(A \cap B) + P(A \cap B) = P(B). \] \[ 2P(A \cap B) = P(B). \]
Step 4: Solve for \( P(A \cap B) \).
Divide both sides by 2: \[ P(A \cap B) = \frac{1}{2}P(B). \]
Hence, the correct answer is (C) \( P(A \cap B) = \frac{1}{2}P(B) \). Quick Tip: When solving conditional probability problems, always start by writing the definitions of \( P(A \mid B) \) and \( P(A' \mid B) \). Equating and simplifying using basic probability properties can reveal key relationships.
If \( a_{ij} \) and \( A_{ij} \) represent the \((i,j)^th\) element and its cofactor of the matrix: \[ \begin{bmatrix} 2 & -3 & 5
6 & 0 & 4
1 & 5 & -7 \end{bmatrix}, \]
respectively, then the value of \( a_{11}A_{21} + a_{12}A_{22} + a_{13}A_{23} \) is:
View Solution
Step 1: Identify the required calculation.
We need to compute: \[ a_{11}A_{21} + a_{12}A_{22} + a_{13}A_{23}. \]
Here, \( a_{ij} \) represents the elements of the matrix, and \( A_{ij} \) represents the cofactors.
Step 2: Apply the property of determinants.
The sum of the product of elements from one row and the cofactors from another row of the same matrix is always zero. Mathematically: \[ \sum_{j=1}^n a_{ij}A_{kj} = 0 \quad for i \neq k. \]
In this problem, the first-row elements (\(a_{11}, a_{12}, a_{13}\)) are multiplied by the second-row cofactors (\(A_{21}, A_{22}, A_{23}\)). Since \( i = 1 \) and \( k = 2 \), the result is: \[ a_{11}A_{21} + a_{12}A_{22} + a_{13}A_{23} = 0. \]
Step 3: Conclude the solution.
By the above determinant property, we conclude: \[ a_{11}A_{21} + a_{12}A_{22} + a_{13}A_{23} = 0. \]
Hence, the correct answer is (A) 0. Quick Tip: The sum of the product of elements from one row and the cofactors from another row of a matrix is always zero. This property can save time when solving determinant-based problems.
The derivative of \( \sin(x^2) \) w.r.t. \( x \), at \( x = \sqrt{\pi} \), is:
View Solution
Step 1: Differentiate the given function.
The given function is: \[ f(x) = \sin(x^2). \]
Using the chain rule, the derivative is: \[ f'(x) = \frac{d}{dx}[\sin(x^2)] = \cos(x^2) \cdot \frac{d}{dx}[x^2]. \]
The derivative of \( x^2 \) with respect to \( x \) is: \[ \frac{d}{dx}[x^2] = 2x. \]
Thus: \[ f'(x) = \cos(x^2) \cdot 2x. \]
Step 2: Evaluate the derivative at \( x = \sqrt{\pi} \).
Substitute \( x = \sqrt{\pi} \) into the derivative: \[ f'(\sqrt{\pi}) = \cos((\sqrt{\pi})^2) \cdot 2\sqrt{\pi}. \]
Simplify \( (\sqrt{\pi})^2 \) to \( \pi \): \[ f'(\sqrt{\pi}) = \cos(\pi) \cdot 2\sqrt{\pi}. \]
Step 3: Simplify the expression.
The value of \( \cos(\pi) \) is \( -1 \). Therefore: \[ f'(\sqrt{\pi}) = -1 \cdot 2\sqrt{\pi} = -2\sqrt{\pi}. \]
Hence, the correct answer is (C) \(-2\sqrt{\pi}\). Quick Tip: The chain rule is essential for differentiating composite functions like \( \sin(x^2) \). Differentiate the outer function first, then multiply by the derivative of the inner function to avoid errors.
The order and degree of the differential equation: \[ \left[ 1 + \left( \frac{dy}{dx} \right)^2 \right]^3 = \frac{d^2y}{dx^2}, \]
respectively, are:
View Solution
Step 1: Determine the order of the differential equation.
The order of a differential equation is the highest derivative present in the equation. In the given equation: \[ \left[ 1 + \left( \frac{dy}{dx} \right)^2 \right]^3 = \frac{d^2y}{dx^2}, \]
the highest derivative is: \[ \frac{d^2y}{dx^2}. \]
Therefore, the order of the equation is \( 2 \).
Step 2: Determine the degree of the differential equation.
The degree of a differential equation is the power of the highest order derivative, provided the equation is free from fractional powers or radicals involving derivatives.
Here, the highest order derivative \( \frac{d^2y}{dx^2} \) is raised to the power of \( 1 \). Thus, the degree of the equation is: \[ Degree = 1. \]
Conclusion:
The order and degree of the given differential equation are \( 2 \) and \( 1 \), respectively.
Final Answer: (C) 2, 1. Quick Tip: The order of a differential equation is based on the highest derivative, and the degree is determined after ensuring that all derivatives are free of radicals or fractional powers.
The vector with terminal point \( A(2, -3, 5) \) and initial point \( B(3, -4, 7) \) is:
View Solution
Step 1: Formula for the vector between two points.
The vector from the initial point \( B(3, -4, 7) \) to the terminal point \( A(2, -3, 5) \) is given by: \[ \vec{v} = \vec{A} - \vec{B}. \]
This means: \[ \vec{v} = (x_2 - x_1)\hat{i} + (y_2 - y_1)\hat{j} + (z_2 - z_1)\hat{k}. \]
Step 2: Calculate the components.
Substitute the coordinates of \( A(2, -3, 5) \) and \( B(3, -4, 7) \): \[ \vec{v} = (2 - 3)\hat{i} + (-3 - (-4))\hat{j} + (5 - 7)\hat{k}. \]
Simplify each component: \[ \vec{v} = (-1)\hat{i} + (1)\hat{j} + (-2)\hat{k}. \]
Step 3: Final vector.
Thus, the vector is: \[ \vec{v} = -\hat{i} + \hat{j} - 2\hat{k}. \]
Hence, the vector is \( -\hat{i} + \hat{j} - 2\hat{k} \), and the correct answer is (D). Quick Tip: To find the vector between two points, subtract the coordinates of the initial point from the corresponding coordinates of the terminal point: \[ \vec{v} = (x_2 - x_1)\hat{i} + (y_2 - y_1)\hat{j} + (z_2 - z_1)\hat{k}. \] Double-check each subtraction to avoid sign errors.
The distance of the point \( P(a, b, c) \) from the y-axis is:
View Solution
Step 1: Understand the problem.
The distance of a point \( P(a, b, c) \) from the y-axis is the perpendicular distance from the point to the y-axis. The y-axis in three-dimensional space has all points where \( x = 0 \) and \( z = 0 \).
Step 2: Use the distance formula.
The distance of \( P(a, b, c) \) from the y-axis is given by the projection of \( P \) onto the \( xz \)-plane. The formula for the distance in three-dimensional space is: \[ Distance = \sqrt{x^2 + z^2}. \]
Step 3: Apply the coordinates of the point.
For \( P(a, b, c) \), the \( x \)-coordinate is \( a \) and the \( z \)-coordinate is \( c \). Substituting these into the distance formula: \[ Distance from y-axis = \sqrt{a^2 + c^2}. \]
Hence, the correct answer is (C) \( \sqrt{a^2 + c^2} \). Quick Tip: To find the distance of a point from an axis in three-dimensional space, exclude the coordinate corresponding to that axis and use the Pythagorean theorem on the remaining coordinates.
The number of corner points of the feasible region determined by the constraints \( x \geq 0, y \geq 0, x + y \geq 4 \) is:
View Solution
Step 1: Interpret the constraints.
The given constraints are: \[ x \geq 0, \quad y \geq 0, \quad x + y \geq 4. \]
- \( x \geq 0 \): The region lies to the right of the \( y \)-axis.
- \( y \geq 0 \): The region lies above the \( x \)-axis.
- \( x + y \geq 4 \): The region is above or on the line \( x + y = 4 \).
Step 2: Determine the intersection points.
The line \( x + y = 4 \) intersects the axes at:
- \( x = 4, y = 0 \) (on the \( x \)-axis),
- \( x = 0, y = 4 \) (on the \( y \)-axis).
Step 3: Identify the feasible region.
The feasible region is the intersection of these constraints in the first quadrant. The region is unbounded but includes two corner points at: \[ (4, 0) \quad and \quad (0, 4). \]
Step 4: Count the corner points.
The feasible region has exactly two corner points.
Hence, the correct answer is (C) 2. Quick Tip: In linear programming, corner points of the feasible region are found by solving equations of intersecting constraint lines. Ensure the region satisfies all inequalities.
If \( A \) and \( B \) are two non-zero square matrices of the same order such that: \[ (A + B)^2 = A^2 + B^2, \]
then:
View Solution
Step 1: Expand the given equation.
We are given: \[ (A + B)^2 = A^2 + B^2. \]
Expand \( (A + B)^2 \) using the distributive property of matrix multiplication: \[ (A + B)^2 = A^2 + AB + BA + B^2. \]
Step 2: Substitute and simplify.
Substitute the expansion into the given equation: \[ A^2 + AB + BA + B^2 = A^2 + B^2. \]
Cancel \( A^2 \) and \( B^2 \) from both sides: \[ AB + BA = 0. \]
Step 3: Rearrange the terms.
Rearrange the equation: \[ AB = -BA. \]
This shows that \( A \) and \( B \) satisfy the relation \( AB = -BA \), meaning they are anti-commutative.
Hence, the correct answer is (B) \( AB = -BA \). Quick Tip: For matrix equations, always expand and simplify terms carefully, keeping in mind the non-commutative nature of matrix multiplication.
A relation \( R \) defined on set \( A = \{x : x \in \mathbb{Z} and 0 \leq x \leq 10\} \) as \( R = \{(x, y) : x = y\} \) is given to be an equivalence relation. The number of equivalence classes is:
View Solution
Step 1: Analyze the given relation.
The relation \( R = \{(x, y) : x = y\} \) is the equality relation. This means \( x \) is equivalent to \( y \) only if \( x = y \). The set \( A \) is: \[ A = \{0, 1, 2, \dots, 10\}. \]
Step 2: Verify that \( R \) is an equivalence relation.
- Reflexive: For all \( x \in A \), \( (x, x) \in R \). True, since \( x = x \).
- Symmetric: If \( (x, y) \in R \), then \( (y, x) \in R \). True, since \( x = y \) implies \( y = x \).
- Transitive: If \( (x, y) \in R \) and \( (y, z) \in R \), then \( (x, z) \in R \). True, since \( x = y \) and \( y = z \) imply \( x = z \).
Thus, \( R \) is an equivalence relation.
Step 3: Count the equivalence classes.
For an equality relation, each element of \( A \) forms its own equivalence class because \( x = y \) only holds for a single \( y \). The equivalence classes are: \[ \{0\}, \{1\}, \{2\}, \dots, \{10\}. \]
The total number of equivalence classes is equal to the number of elements in \( A \), which is: \[ 11. \]
Hence, the correct answer is (D) 11. Quick Tip: For an equality relation \( R = \{(x, y) : x = y\} \) on a finite set, the number of equivalence classes is the same as the number of elements in the set.
If a matrix has 36 elements, the number of possible orders it can have is:
View Solution
Step 1: Understand the problem.
The total number of elements in a matrix is given by the product of its rows and columns: \[ m \times n = 36, \]
where \( m \) is the number of rows, and \( n \) is the number of columns.
Step 2: Find all factor pairs of 36.
The possible orders of the matrix are determined by finding all pairs of positive integers \( (m, n) \) such that their product equals \( 36 \). These pairs are: \[ (1, 36), (2, 18), (3, 12), (4, 9), (6, 6), (9, 4), (12, 3), (18, 2), (36, 1). \]
Step 3: Count the number of pairs.
There are \( 9 \) such pairs, corresponding to \( 9 \) possible orders of the matrix.
Hence, the number of possible orders is (D) 9. Quick Tip: The number of possible orders of a matrix with \( n \) elements is equal to the number of factor pairs of \( n \). Each pair \( (m, n) \) represents a valid order where \( m \times n = n \).
The number of points, where \( f(x) = \lfloor x \rfloor \), \( 0 < x < 3 \) (\(\lfloor \cdot \rfloor\) denotes the greatest integer function), is not differentiable is:
View Solution
Step 1: Behavior of \( \lfloor x \rfloor \) (greatest integer function).
The function \( f(x) = \lfloor x \rfloor \) assigns the greatest integer less than or equal to \( x \) for any real number \( x \).
- The function \( \lfloor x \rfloor \) is constant in each open interval between consecutive integers, i.e., it takes the same value in \( n \leq x < n+1 \) for any integer \( n \).
- At integer points \( x = n \), the function has a discontinuity in its derivative because of the jump in its value.
Step 2: Analyze the interval \( 0 < x < 3 \).
The interval \( 0 < x < 3 \) contains the integers \( 1 \) and \( 2 \).
- At \( x = 1 \) and \( x = 2 \), the function \( f(x) = \lfloor x \rfloor \) is not differentiable due to the jump in its value.
Step 3: Count the non-differentiable points.
The function \( f(x) \) is not differentiable at \( x = 1 \) and \( x = 2 \).
Thus, the total number of non-differentiable points is: \[ 2. \]
Hence, the correct answer is (B) 2. Quick Tip: The greatest integer function \( \lfloor x \rfloor \) is not differentiable at integer points because of the discontinuity in its value at these points.
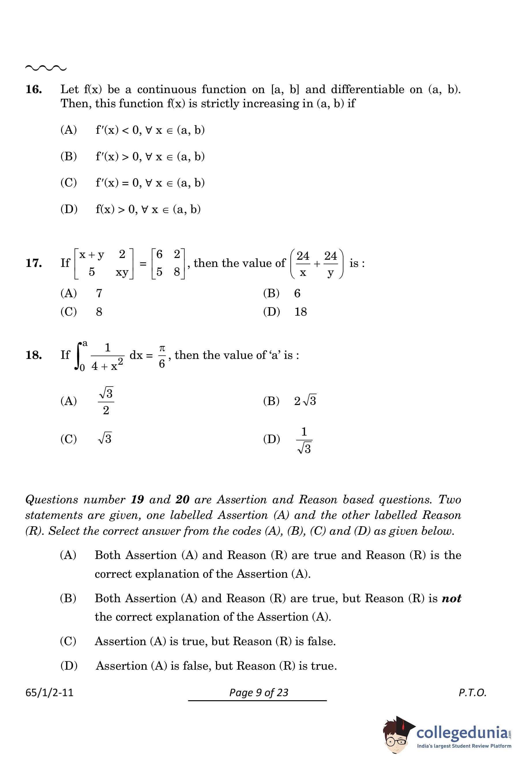
Let \( f(x) \) be a continuous function on \([a, b]\) and differentiable on \((a, b)\). Then, this function \( f(x) \) is strictly increasing in \((a, b)\) if:
View Solution
Step 1: Definition of a strictly increasing function.
A function \( f(x) \) is said to be strictly increasing on an interval \((a, b)\) if: \[ f'(x) > 0, \ \forall \ x \in (a, b). \]
This means that the derivative of \( f(x) \) must be positive throughout the interval.
Step 2: Analyze the given options.
- (A): \( f'(x) < 0, \ \forall \ x \in (a, b) \) implies \( f(x) \) is strictly decreasing, not increasing. Hence, this option is incorrect.
- (B): \( f'(x) > 0, \ \forall \ x \in (a, b) \) correctly implies that \( f(x) \) is strictly increasing. Hence, this option is correct.
- (C): \( f'(x) = 0, \ \forall \ x \in (a, b) \) implies that \( f(x) \) is constant, not strictly increasing. Hence, this option is incorrect.
- (D): \( f(x) > 0, \ \forall \ x \in (a, b) \) does not guarantee that \( f(x) \) is strictly increasing because \( f(x) > 0 \) does not describe the behavior of the derivative. Hence, this option is incorrect.
Step 3: Conclusion.
For \( f(x) \) to be strictly increasing on \((a, b)\), the derivative \( f'(x) \) must satisfy: \[ f'(x) > 0, \ \forall \ x \in (a, b). \]
Hence, the correct answer is (B) \( f'(x) > 0, \ \forall \ x \in (a, b) \). Quick Tip: IF derivative is positive throughout the interval the function is strictly increasing in an interval. Always check the sign of the derivative for such conditions.
If \[ \begin{bmatrix} x + y & 2
5 & xy \end{bmatrix} = \begin{bmatrix} 6 & 2
5 & 8 \end{bmatrix}, \]
then the value of \[ \left(\frac{24}{x} + \frac{24}{y}\right) \]
is:
View Solution
Step 1: Equate corresponding elements of the matrices.
From the given matrices: \[ \begin{bmatrix} x + y & 2
5 & xy \end{bmatrix} = \begin{bmatrix} 6 & 2
5 & 8 \end{bmatrix}. \]
Equating the elements:
- From the first row, first column: \[ x + y = 6. \]
- From the second row, second column: \[ xy = 8. \]
Step 2: Use the given expression.
We need to evaluate: \[ \frac{24}{x} + \frac{24}{y}. \]
Using the algebraic identity: \[ \frac{a}{x} + \frac{a}{y} = a \cdot \frac{x + y}{xy}, \]
we substitute \( a = 24 \), \( x + y = 6 \), and \( xy = 8 \): \[ \frac{24}{x} + \frac{24}{y} = 24 \cdot \frac{6}{8}. \]
Step 3: Simplify the expression.
Simplify: \[ \frac{24}{x} + \frac{24}{y} = 24 \cdot \frac{3}{4} = 18. \]
Hence, the value of \( \frac{24}{x} + \frac{24}{y} \) is (D) 18. Quick Tip: When dealing with matrix problems, equate corresponding elements carefully, and simplify complex expressions using standard algebraic identities for fractions.
If \[ \int_{0}^{a} \frac{1}{4 + x^2} \, dx = \frac{\pi}{6}, \]
then the value of \( a \) is:
View Solution
Step 1: Use the standard integral formula.
The integral of \( \frac{1}{4 + x^2} \) is in the standard form: \[ \int \frac{1}{a^2 + x^2} \, dx = \frac{1}{a} \tan^{-1}\left(\frac{x}{a}\right) + C. \]
Here, \( 4 + x^2 \) implies \( a^2 = 4 \), so \( a = 2 \). Substituting, we have: \[ \int \frac{1}{4 + x^2} \, dx = \frac{1}{2} \tan^{-1}\left(\frac{x}{2}\right). \]
Step 2: Evaluate the definite integral.
For the definite integral: \[ \int_{0}^{a} \frac{1}{4 + x^2} \, dx = \left[\frac{1}{2} \tan^{-1}\left(\frac{x}{2}\right)\right]_{0}^{a}. \]
Substituting the limits: \[ \int_{0}^{a} \frac{1}{4 + x^2} \, dx = \frac{1}{2} \tan^{-1}\left(\frac{a}{2}\right) - \frac{1}{2} \tan^{-1}(0). \]
Since \( \tan^{-1}(0) = 0 \), the expression simplifies to: \[ \frac{1}{2} \tan^{-1}\left(\frac{a}{2}\right) = \frac{\pi}{6}. \]
Step 3: Solve for \( a \).
Multiply through by \( 2 \): \[ \tan^{-1}\left(\frac{a}{2}\right) = \frac{\pi}{3}. \]
Taking the tangent of both sides: \[ \frac{a}{2} = \tan\left(\frac{\pi}{3}\right). \]
Since \( \tan\left(\frac{\pi}{3}\right) = \sqrt{3} \), we have: \[ \frac{a}{2} = \sqrt{3}. \]
Multiply through by \( 2 \): \[ a = 2\sqrt{3}. \]
Hence, the value of \( a \) is (B) \( 2\sqrt{3} \). Quick Tip: When solving definite integrals involving \( \frac{1}{a^2 + x^2} \), always identify \( a^2 \) correctly and apply the standard formula. Simplify the limits step by step to avoid calculation errors.
Assertion (A): A line in space cannot be drawn perpendicular to \( x \), \( y \), and \( z \) axes simultaneously.
Reason (R): For any line making angles \( \alpha, \beta, \gamma \) with the positive directions of \( x \), \( y \), and \( z \) axes respectively, \[ \cos^2\alpha + \cos^2\beta + \cos^2\gamma = 1. \]
View Solution
Step 1: Analyze the assertion.
A line in three-dimensional space cannot be perpendicular to all three axes simultaneously. If a line were perpendicular to all three axes, the direction cosines \( \cos\alpha, \cos\beta, \cos\gamma \) would all equal zero, violating the fundamental property of direction cosines: \[ \cos^2\alpha + \cos^2\beta + \cos^2\gamma = 1. \]
Step 2: Verify the reason.
The given equation: \[ \cos^2\alpha + \cos^2\beta + \cos^2\gamma = 1 \]
ensures that at least one of the direction cosines is non-zero, indicating that the line cannot be simultaneously perpendicular to \( x \), \( y \), and \( z \) axes.
Step 3: Conclusion.
Both the assertion and reason are true, and the reason correctly explains why a line cannot be perpendicular to all three axes.
Answer: (A) Quick Tip: In 3D geometry, the direction cosines (\( \cos\alpha, \cos\beta, \cos\gamma \)) always satisfy the relation \( \cos^2\alpha + \cos^2\beta + \cos^2\gamma = 1 \). This fundamental property ensures that no line can simultaneously be perpendicular to all three axes.
Assertion (A): For the matrix \[ A = \begin{bmatrix} 1 & \cos \theta & 1
-\cos \theta & 1 & \cos \theta
-1 & -\cos \theta & 1 \end{bmatrix}, \quad where \theta \in [0, 2\pi], \] \(|A| \in [2, 4]\).
Reason (R): \(\cos \theta \in [-1, 1], \ \forall \ \theta \in [0, 2\pi].\)
View Solution
Step 1: Calculate the determinant.
The determinant of matrix \( A \) is: \[ |A| = \begin{vmatrix} 1 & \cos \theta & 1
-\cos \theta & 1 & \cos \theta
-1 & -\cos \theta & 1 \end{vmatrix}. \]
Using cofactor expansion along the first row: \[ |A| = 1 \cdot \begin{vmatrix} 1 & \cos \theta
-\cos \theta & 1 \end{vmatrix} - \cos \theta \cdot \begin{vmatrix} -\cos \theta & \cos \theta
-1 & 1 \end{vmatrix} + 1 \cdot \begin{vmatrix} -\cos \theta & 1
-1 & -\cos \theta \end{vmatrix}. \]
Step 2: Evaluate each minor.
- First minor: \[ \begin{vmatrix} 1 & \cos \theta
-\cos \theta & 1 \end{vmatrix} = 1 + \cos^2 \theta. \]
- Second minor: \[ \begin{vmatrix} -\cos \theta & \cos \theta
-1 & 1 \end{vmatrix} = 0. \]
- Third minor: \[ \begin{vmatrix} -\cos \theta & 1
-1 & -\cos \theta \end{vmatrix} = 1 + \cos^2 \theta. \]
Step 3: Combine the results.
Substitute back into the determinant: \[ |A| = (1 + \cos^2 \theta) + 0 + (1 + \cos^2 \theta) = 2 + 2\cos^2 \theta. \]
Step 4: Determine the range of \(|A|\).
Since \(\cos \theta \in [-1, 1]\), we have \(\cos^2 \theta \in [0, 1]\). Substituting the extreme values of \(\cos^2 \theta\): \[ |A| = 2 + 2\cos^2 \theta \in [2, 4]. \]
Step 5: Verify Assertion and Reason.
- The determinant \(|A| \in [2, 4]\), so the Assertion (A) is true.
- The cosine function satisfies \(\cos \theta \in [-1, 1]\), so the Reason (R) is also true.
- The Reason (R) explains the Assertion (A) because the range of \(|A|\) depends on \(\cos^2 \theta\), which is derived from \(\cos \theta \in [-1, 1]\).
Conclusion: Both Assertion (A) and Reason (R) are true, and Reason (R) correctly explains Assertion (A). Quick Tip: When finding the range of a determinant that depends on trigonometric functions, use their known ranges, such as \(\cos \theta \in [-1, 1]\), to determine the behavior of the determinant.
Find: \[ \int x \sqrt{1 + 2x} \, dx \]
View Solution
Step 1: Use substitution.
Let: \[ u = 1 + 2x \quad so that \quad du = 2 \, dx \quad and \quad x = \frac{u - 1}{2}. \]
Substitute these values into the integral: \[ \int x \sqrt{1 + 2x} \, dx = \int \frac{u - 1}{2} \cdot \sqrt{u} \cdot \frac{1}{2} \, du. \]
Simplify: \[ \int x \sqrt{1 + 2x} \, dx = \frac{1}{4} \int (u - 1) \sqrt{u} \, du. \]
Step 2: Expand and split the integral.
Rewrite the integrand: \[ \frac{1}{4} \int (u - 1) \sqrt{u} \, du = \frac{1}{4} \int \left(u^{\frac{3}{2}} - u^{\frac{1}{2}}\right) \, du. \]
Split into two separate integrals: \[ \int x \sqrt{1 + 2x} \, dx = \frac{1}{4} \left( \int u^{\frac{3}{2}} \, du - \int u^{\frac{1}{2}} \, du \right). \]
Step 3: Compute the integrals.
Using the power rule for integration: \[ \int u^{\frac{3}{2}} \, du = \frac{2}{5} u^{\frac{5}{2}}, \quad \int u^{\frac{1}{2}} \, du = \frac{2}{3} u^{\frac{3}{2}}. \]
Substitute these results: \[ \int x \sqrt{1 + 2x} \, dx = \frac{1}{4} \left( \frac{2}{5} u^{\frac{5}{2}} - \frac{2}{3} u^{\frac{3}{2}} \right). \]
Step 4: Simplify and back-substitute.
Factor out \( \frac{1}{4} \): \[ \int x \sqrt{1 + 2x} \, dx = \frac{1}{10} u^{\frac{5}{2}} - \frac{1}{6} u^{\frac{3}{2}} + C. \]
Substitute back \( u = 1 + 2x \): \[ \int x \sqrt{1 + 2x} \, dx = \frac{1}{10} (1 + 2x)^{\frac{5}{2}} - \frac{1}{6} (1 + 2x)^{\frac{3}{2}} + C. \]
Answer: \[ \int x \sqrt{1 + 2x} \, dx = \frac{1}{10} (1 + 2x)^{\frac{5}{2}} - \frac{1}{6} (1 + 2x)^{\frac{3}{2}} + C. \] Quick Tip: For integrals involving products of polynomials and square roots, substitution simplifies the expression. Always expand and split the integral before applying the power rule.
Evaluate: \[ \int_0^{\frac{\pi^2}{4}} \frac{\sin\sqrt{x}}{\sqrt{x}} \, dx \]
View Solution
Step 1: Use substitution.
Let: \[ t = \sqrt{x}, \quad x = t^2, \quad dx = 2t \, dt, \quad \sqrt{x} = t. \]
Substitute these values into the integral: \[ \int_0^{\frac{\pi^2}{4}} \frac{\sin\sqrt{x}}{\sqrt{x}} \, dx = \int_0^{\frac{\pi}{2}} \frac{\sin t}{t} \cdot 2t \, dt. \]
Simplify: \[ \int_0^{\frac{\pi^2}{4}} \frac{\sin\sqrt{x}}{\sqrt{x}} \, dx = 2 \int_0^{\frac{\pi}{2}} \sin t \, dt. \]
Step 2: Integrate.
The integral of \( \sin t \) is: \[ \int \sin t \, dt = -\cos t. \]
Apply the limits of integration: \[ \int_0^{\frac{\pi^2}{4}} \frac{\sin\sqrt{x}}{\sqrt{x}} \, dx = 2 \left[ -\cos t \right]_0^{\frac{\pi}{2}}. \]
Step 3: Evaluate the definite integral.
Substitute the limits: \[ \int_0^{\frac{\pi^2}{4}} \frac{\sin\sqrt{x}}{\sqrt{x}} \, dx = 2 \left[ -\cos\left(\frac{\pi}{2}\right) + \cos(0) \right]. \]
Since \( \cos\left(\frac{\pi}{2}\right) = 0 \) and \( \cos(0) = 1 \), we have: \[ \int_0^{\frac{\pi^2}{4}} \frac{\sin\sqrt{x}}{\sqrt{x}} \, dx = 2 \left[ 0 + 1 \right] = 2. \]
Answer: \[ \int_0^{\frac{\pi^2}{4}} \frac{\sin\sqrt{x}}{\sqrt{x}} \, dx = 2. \] Quick Tip: When solving definite integrals involving square roots, substitution simplifies the integral by eliminating the square root. Always adjust the limits of integration after substitution.
If \( \vec{a} \) and \( \vec{b} \) are two non-zero vectors such that \( (\vec{a} + \vec{b}) \perp \vec{a} \) and \( (2\vec{a} + \vec{b}) \perp \vec{b} \), then prove that \( |\vec{b}| = \sqrt{2} |\vec{a}| \).
View Solution
Step 1: Use the perpendicularity condition for \( (\vec{a} + \vec{b}) \perp \vec{a} \).
From the given condition: \[ (\vec{a} + \vec{b}) \cdot \vec{a} = 0. \]
Expanding the dot product: \[ \vec{a} \cdot \vec{a} + \vec{b} \cdot \vec{a} = 0. \]
Since \( \vec{a} \cdot \vec{a} = |\vec{a}|^2 \), this simplifies to: \[ |\vec{a}|^2 + \vec{b} \cdot \vec{a} = 0, \]
or: \[ \vec{b} \cdot \vec{a} = -|\vec{a}|^2. \tag{1} \]
Step 2: Use the perpendicularity condition for \( (2\vec{a} + \vec{b}) \perp \vec{b} \).
From the given condition: \[ (2\vec{a} + \vec{b}) \cdot \vec{b} = 0. \]
Expanding the dot product: \[ 2\vec{a} \cdot \vec{b} + \vec{b} \cdot \vec{b} = 0. \]
Since \( \vec{b} \cdot \vec{b} = |\vec{b}|^2 \), this becomes: \[ 2(\vec{a} \cdot \vec{b}) + |\vec{b}|^2 = 0. \tag{2} \]
Step 3: Substitute \( \vec{a} \cdot \vec{b} \) into equation (2).
From equation (1), \( \vec{a} \cdot \vec{b} = -|\vec{a}|^2 \). Substituting into equation (2): \[ 2(-|\vec{a}|^2) + |\vec{b}|^2 = 0. \]
Simplify: \[ -2|\vec{a}|^2 + |\vec{b}|^2 = 0, \]
or: \[ |\vec{b}|^2 = 2|\vec{a}|^2. \]
Step 4: Solve for \( |\vec{b}| \).
Taking the square root of both sides: \[ |\vec{b}| = \sqrt{2} |\vec{a}|. \]
Hence, it is proved that \( |\vec{b}| = \sqrt{2} |\vec{a}| \). Quick Tip: When working with perpendicular vectors, use the condition \( \vec{u} \cdot \vec{v} = 0 \) to derive relationships. Substitute and simplify systematically to prove vector magnitudes.
In the given figure, ABCD is a parallelogram. If \( \vec{AB} = 2\hat{i} - 4\hat{j} + 5\hat{k} \) and \( \vec{DB} = 3\hat{i} - 6\hat{j} + 2\hat{k} \), then find \( \vec{AD} \) and hence find the area of parallelogram ABCD.
View Solution
Step 1: Calculate \( \vec{AD} \).
Using the relationship: \[ \vec{AD} = \vec{AB} + \vec{DB}. \]
Substitute the given vectors: \[ \vec{AD} = (2\hat{i} - 4\hat{j} + 5\hat{k}) + (3\hat{i} - 6\hat{j} + 2\hat{k}). \]
Simplify: \[ \vec{AD} = (2 + 3)\hat{i} + (-4 - 6)\hat{j} + (5 + 2)\hat{k} = 5\hat{i} - 10\hat{j} + 7\hat{k}. \]
Step 2: Compute the cross product \( \vec{AB} \times \vec{AD} \).
The area of parallelogram ABCD is given by the magnitude of the cross product: \[ Area = |\vec{AB} \times \vec{AD}|. \]
The cross product is: \[ \vec{AB} \times \vec{AD} = \begin{vmatrix} \hat{i} & \hat{j} & \hat{k}
2 & -4 & 5
5 & -10 & 7 \end{vmatrix}. \]
Expanding the determinant: \[ \vec{AB} \times \vec{AD} = \hat{i} \begin{vmatrix} -4 & 5
-10 & 7 \end{vmatrix} - \hat{j} \begin{vmatrix} 2 & 5
5 & 7 \end{vmatrix} + \hat{k} \begin{vmatrix} 2 & -4
5 & -10 \end{vmatrix}. \]
Calculate each minor: \[ \hat{i} = (-4)(7) - (5)(-10) = -28 + 50 = 22, \] \[ \hat{j} = (2)(7) - (5)(5) = 14 - 25 = -11, \] \[ \hat{k} = (2)(-10) - (-4)(5) = -20 + 20 = 0. \]
Thus: \[ \vec{AB} \times \vec{AD} = 22\hat{i} + 11\hat{j} + 0\hat{k}. \]
Step 3: Compute the magnitude of the cross product.
The magnitude of the cross product is: \[ |\vec{AB} \times \vec{AD}| = \sqrt{22^2 + 11^2 + 0^2} = \sqrt{484 + 121} = \sqrt{605}. \]
Answer:
The area of parallelogram ABCD is \( \sqrt{605} \). Quick Tip: To find the area of a parallelogram, compute the cross product of two adjacent sides. The magnitude of the cross product gives the required area. Use determinant expansion for accurate calculation.
If \( y = \sqrt{\cos x + y} \), prove that: \[ \frac{dy}{dx} = \frac{\sin x}{1 - 2y}. \]
View Solution
Step 1: Eliminate the square root.
The given equation is: \[ y = \sqrt{\cos x + y}. \]
Square both sides to remove the square root: \[ y^2 = \cos x + y. \]
Step 2: Differentiate both sides.
Differentiate the equation \( y^2 = \cos x + y \) with respect to \( x \), using implicit differentiation: \[ 2y \frac{dy}{dx} = -\sin x + \frac{dy}{dx}. \]
Step 3: Solve for \( \frac{dy}{dx} \).
Rearrange terms to collect \( \frac{dy}{dx} \): \[ 2y \frac{dy}{dx} - \frac{dy}{dx} = -\sin x. \]
Factorize: \[ \frac{dy}{dx} (2y - 1) = -\sin x. \]
Solve for \( \frac{dy}{dx} \): \[ \frac{dy}{dx} = \frac{-\sin x}{2y - 1}. \]
Step 4: Simplify the result.
Since \( y = \sqrt{\cos x + y} \), \( y \) is positive, and we rewrite: \[ \frac{dy}{dx} = \frac{\sin x}{1 - 2y}. \]
Hence, proved that: \[ \frac{dy}{dx} = \frac{\sin x}{1 - 2y}. \] Quick Tip: When differentiating equations implicitly, isolate terms involving derivatives first, then factorize to simplify the solution. For equations with square roots, squaring both sides often simplifies the differentiation process.
Show that the function \( f(x) = |x|^3 \) is differentiable at all points of its domain.
View Solution
The function \( f(x) = |x|^3 \) can be expressed as a piecewise function: \[ f(x) = \begin{cases} x^3, & if x \geq 0,
(-x)^3 = -x^3, & if x < 0. \end{cases} \]
Step 1: Check continuity.
At \( x = 0 \), compute the left-hand and right-hand limits of \( f(x) \): \[ \lim_{x \to 0^-} f(x) = (-x)^3 = 0, \quad \lim_{x \to 0^+} f(x) = x^3 = 0. \]
Since both limits are equal and \( f(0) = 0 \), the function \( f(x) \) is continuous at \( x = 0 \).
Step 2: Check differentiability.
Differentiate \( f(x) \) for \( x > 0 \) and \( x < 0 \): \[ f'(x) = \begin{cases} 3x^2, & if x > 0,
3(-x)^2 = 3x^2, & if x < 0. \end{cases} \]
At \( x = 0 \), compute the left-hand derivative: \[ f'(0^-) = \lim_{x \to 0^-} \frac{f(x) - f(0)}{x - 0} = \lim_{x \to 0^-} \frac{-x^3}{x} = \lim_{x \to 0^-} -x^2 = 0. \]
Compute the right-hand derivative: \[ f'(0^+) = \lim_{x \to 0^+} \frac{f(x) - f(0)}{x - 0} = \lim_{x \to 0^+} \frac{x^3}{x} = \lim_{x \to 0^+} x^2 = 0. \]
Since \( f'(0^-) = f'(0^+) = 0 \), the derivative exists at \( x = 0 \).
Step 3: Conclusion.
The function \( f(x) = |x|^3 \) is differentiable at all points of its domain. Quick Tip: To verify differentiability of a piecewise function, check continuity at the joining point and ensure the left-hand and right-hand derivatives are equal.
Find the absolute maximum and minimum values of the function: \[ f(x) = 12x^{4/3} - 6x^{1/3}, \quad x \in [0, 1]. \]
View Solution
Step 1: Find the derivative of \( f(x) \).
The given function is: \[ f(x) = 12x^{4/3} - 6x^{1/3}. \]
Differentiate with respect to \( x \): \[ f'(x) = 12 \cdot \frac{4}{3}x^{1/3} - 6 \cdot \frac{1}{3}x^{-2/3}. \]
Simplify: \[ f'(x) = 16x^{1/3} - 2x^{-2/3}. \]
Step 2: Find critical points.
Set \( f'(x) = 0 \): \[ 16x^{1/3} - 2x^{-2/3} = 0. \]
Factorize: \[ 2x^{-2/3}(8x - 1) = 0. \]
Solve: \[ x^{-2/3} = 0 \quad (not valid as \( x \neq 0 \)), \quad 8x - 1 = 0. \]
From \( 8x - 1 = 0 \): \[ x = \frac{1}{8}. \]
Step 3: Evaluate \( f(x) \) at critical points and endpoints.
The critical point is \( x = \frac{1}{8} \). Evaluate \( f(x) \) at \( x = 0 \), \( x = 1 \), and \( x = \frac{1}{8} \):
- At \( x = 0 \): \[ f(0) = 12(0)^{4/3} - 6(0)^{1/3} = 0. \]
- At \( x = 1 \): \[ f(1) = 12(1)^{4/3} - 6(1)^{1/3} = 12 - 6 = 6. \]
- At \( x = \frac{1}{8} \): \[ f\left(\frac{1}{8}\right) = 12\left(\frac{1}{8}\right)^{4/3} - 6\left(\frac{1}{8}\right)^{1/3}. \]
Simplify: \[ \left(\frac{1}{8}\right)^{1/3} = \frac{1}{2}, \quad \left(\frac{1}{8}\right)^{4/3} = \left(\frac{1}{2}\right)^4 = \frac{1}{16}. \]
Substitute: \[ f\left(\frac{1}{8}\right) = 12 \cdot \frac{1}{16} - 6 \cdot \frac{1}{2} = \frac{3}{4} - 3 = -\frac{9}{4}. \]
Step 4: Compare values.
- \( f(0) = 0 \),
- \( f(1) = 6 \),
- \( f\left(\frac{1}{8}\right) = -\frac{9}{4} \).
The absolute maximum value is: \[ f(1) = 6. \]
The absolute minimum value is: \[ f\left(\frac{1}{8}\right) = -\frac{9}{4}. \]
Final Answer:
- Absolute maximum value: \( 6 \) at \( x = 1 \).
- Absolute minimum value: \( -\frac{9}{4} \) at \( x = \frac{1}{8} \). Quick Tip: To find absolute extrema of a function on a closed interval, evaluate the function at all critical points and endpoints. The largest value is the maximum, and the smallest value is the minimum.
Find: \[ \int \frac{x^2}{(x^2 + 4)(x^2 + 9)} \, dx. \]
View Solution
To solve the given integral, we use partial fraction decomposition.
Step 1: Decompose the fraction.
Let: \[ \frac{x^2}{(x^2 + 4)(x^2 + 9)} = \frac{A}{x^2 + 4} + \frac{B}{x^2 + 9}. \]
Multiplying through by \((x^2 + 4)(x^2 + 9)\), we get: \[ x^2 = A(x^2 + 9) + B(x^2 + 4). \]
Simplify: \[ x^2 = A x^2 + 9A + B x^2 + 4B. \]
Combine like terms: \[ x^2 = (A + B)x^2 + (9A + 4B). \]
Equating coefficients, we get: \[ A + B = 1, \quad 9A + 4B = 0. \tag{1} \]
Step 2: Solve for \( A \) and \( B \).
From \( A + B = 1 \), we have \( B = 1 - A \). Substitute into \( 9A + 4B = 0 \): \[ 9A + 4(1 - A) = 0. \]
Simplify: \[ 9A + 4 - 4A = 0 \quad \Rightarrow \quad 5A = -4 \quad \Rightarrow \quad A = -\frac{4}{5}. \]
Substitute \( A = -\frac{4}{5} \) into \( B = 1 - A \): \[ B = 1 - \left(-\frac{4}{5}\right) = \frac{9}{5}. \]
Thus: \[ \frac{x^2}{(x^2 + 4)(x^2 + 9)} = \frac{-\frac{4}{5}}{x^2 + 4} + \frac{\frac{9}{5}}{x^2 + 9}. \]
Step 3: Write the integral.
The integral becomes: \[ \int \frac{x^2}{(x^2 + 4)(x^2 + 9)} \, dx = -\frac{4}{5} \int \frac{1}{x^2 + 4} \, dx + \frac{9}{5} \int \frac{1}{x^2 + 9} \, dx. \]
Step 4: Use standard formulas for integration.
The standard formula for \(\int \frac{1}{x^2 + a^2} \, dx\) is: \[ \int \frac{1}{x^2 + a^2} \, dx = \frac{1}{a} \tan^{-1}\left(\frac{x}{a}\right). \]
Using this:
- For \(\int \frac{1}{x^2 + 4} \, dx\): \[ \int \frac{1}{x^2 + 4} \, dx = \frac{1}{2} \tan^{-1}\left(\frac{x}{2}\right). \]
- For \(\int \frac{1}{x^2 + 9} \, dx\): \[ \int \frac{1}{x^2 + 9} \, dx = \frac{1}{3} \tan^{-1}\left(\frac{x}{3}\right). \]
Substitute back: \[ \int \frac{x^2}{(x^2 + 4)(x^2 + 9)} \, dx = -\frac{4}{5} \cdot \frac{1}{2} \tan^{-1}\left(\frac{x}{2}\right) + \frac{9}{5} \cdot \frac{1}{3} \tan^{-1}\left(\frac{x}{3}\right). \]
Simplify: \[ \int \frac{x^2}{(x^2 + 4)(x^2 + 9)} \, dx = -\frac{2}{5} \tan^{-1}\left(\frac{x}{2}\right) + \frac{3}{5} \tan^{-1}\left(\frac{x}{3}\right) + C, \]
where \( C \) is the constant of integration.
Final Answer: \[ \int \frac{x^2}{(x^2 + 4)(x^2 + 9)} \, dx = -\frac{2}{5} \tan^{-1}\left(\frac{x}{2}\right) + \frac{3}{5} \tan^{-1}\left(\frac{x}{3}\right) + C. \] Quick Tip: When solving integrals with quadratic factors in the denominator, use partial fractions to decompose the fraction into simpler terms, then apply standard integration formulas.
Evaluate: \[ \int_{1}^{3} \left(|x - 1| + |x - 2| + |x - 3|\right) \, dx. \]
View Solution
The given integral contains absolute values, so we first identify intervals where each expression inside the absolute value changes its sign.
Step 1: Determine intervals.
The critical points are \(x = 1\), \(x = 2\), and \(x = 3\). These points divide the interval \([1, 3]\) into: \[ [1, 2] \quad and \quad [2, 3]. \]
Step 2: Simplify the integrand in each interval.
- For \(x \in [1, 2]\):
\[ |x - 1| = x - 1, \quad |x - 2| = 2 - x, \quad |x - 3| = 3 - x. \]
Adding these:
\[ |x - 1| + |x - 2| + |x - 3| = (x - 1) + (2 - x) + (3 - x) = 4 - x. \]
- For \(x \in [2, 3]\):
\[ |x - 1| = x - 1, \quad |x - 2| = x - 2, \quad |x - 3| = 3 - x. \]
Adding these:
\[ |x - 1| + |x - 2| + |x - 3| = (x - 1) + (x - 2) + (3 - x) = x. \]
Step 3: Integrate over each interval.
1. For \(x \in [1, 2]\):
\[ \int_{1}^{2} (4 - x) \, dx = \left[4x - \frac{x^2}{2}\right]_{1}^{2}. \]
Evaluate:
\[ \left(4(2) - \frac{(2)^2}{2}\right) - \left(4(1) - \frac{(1)^2}{2}\right) = \left(8 - 2\right) - \left(4 - 0.5\right) = 6 - 3.5 = 2.5. \]
2. For \(x \in [2, 3]\):
\[ \int_{2}^{3} x \, dx = \left[\frac{x^2}{2}\right]_{2}^{3}. \]
Evaluate:
\[ \left(\frac{(3)^2}{2}\right) - \left(\frac{(2)^2}{2}\right) = \frac{9}{2} - \frac{4}{2} = \frac{5}{2} = 2.5. \]
Step 4: Add the results.
The total integral is: \[ \int_{1}^{3} \left(|x - 1| + |x - 2| + |x - 3|\right) \, dx = 2.5 + 2.5 = 5. \]
% Final Answer
Final Answer: \[ \int_{1}^{3} \left(|x - 1| + |x - 2| + |x - 3|\right) \, dx = 5. \] Quick Tip: For integrals involving absolute values, break the interval at the points where the expressions inside the absolute values change their signs. Then simplify the integrand piecewise and integrate each segment.
Find the general solution of the differential equation: \[ \frac{dy}{dx} = \frac{x^2 + y^2}{2xy}. \]
View Solution
The given differential equation is: \[ \frac{dy}{dx} = \frac{x^2 + y^2}{2xy}. \]
Step 1: Rewrite the equation.
Divide the numerator and denominator by \( x^2 \): \[ \frac{dy}{dx} = \frac{1 + \left(\frac{y}{x}\right)^2}{2 \cdot \frac{y}{x}}. \]
Let \( v = \frac{y}{x} \), so \( y = vx \) and \( \frac{dy}{dx} = v + x\frac{dv}{dx} \). Substituting these into the equation: \[ v + x\frac{dv}{dx} = \frac{1 + v^2}{2v}. \]
Step 2: Simplify the equation.
Rearrange terms to isolate \( \frac{dv}{dx} \): \[ x\frac{dv}{dx} = \frac{1 + v^2}{2v} - v. \]
Simplify: \[ x\frac{dv}{dx} = \frac{1 - v^2}{2v}. \]
Divide through by \( x \): \[ \frac{dv}{dx} = \frac{1 - v^2}{2vx}. \]
Step 3: Separate variables.
Separate \( v \) and \( x \): \[ \frac{2v}{1 - v^2} \, dv = \frac{1}{x} \, dx. \]
Step 4: Integrate both sides.
- For the left-hand side: \[ \int \frac{2v}{1 - v^2} \, dv = \int \frac{-d(1 - v^2)}{1 - v^2}. \]
Using substitution, this simplifies to: \[ \int \frac{-d(1 - v^2)}{1 - v^2} = -\ln|1 - v^2|. \]
- For the right-hand side: \[ \int \frac{1}{x} \, dx = \ln|x|. \]
Combining these results: \[ -\ln|1 - v^2| = \ln|x| + C, \]
where \( C \) is the constant of integration.
Step 5: Simplify the solution.
Rewriting the equation: \[ \ln|1 - v^2| = -\ln|x| - C. \]
Exponentiate both sides: \[ |1 - v^2| = \frac{K}{x}, \]
where \( K = e^{-C} \) is a constant.
Step 6: Substitute back \( v = \frac{y}{x} \).
Replace \( v \) with \( \frac{y}{x} \): \[ 1 - \left(\frac{y}{x}\right)^2 = \frac{K}{x}. \]
Multiply through by \( x^2 \): \[ x^2 - y^2 = Kx. \]
% Final Answer
General Solution: \[ x^2 - y^2 = Kx, \]
where \( K \) is an arbitrary constant. Quick Tip: Homogeneous differential equations can be simplified using the substitution \( v = \frac{y}{x} \), which reduces the equation to separable form. Always rewrite the equation carefully before integrating.
Solve the following linear programming problem graphically: \[ Maximise z = 5x + 4y \]
subject to the constraints: \[ x + 2y \geq 4, \quad 3x + y \leq 6, \quad x + y \leq 4, \quad x, y \geq 0. \]
View Solution
Step 1: Graph the constraints.
Convert the inequalities into equations to represent the boundary lines:
- \( x + 2y = 4 \): Rearrange as \( y = \frac{4 - x}{2} \).
- \( 3x + y = 6 \): Rearrange as \( y = 6 - 3x \).
- \( x + y = 4 \): Rearrange as \( y = 4 - x \).
The feasible region lies at the intersection of these constraints in the first quadrant. Graph these lines and shade the region satisfying all the inequalities.
Step 2: Find the corner points of the feasible region.
The corner points are determined by solving the intersections of the boundary lines:
1. Intersection of \( x + 2y = 4 \) and \( 3x + y = 6 \):
- Solve:
\[ x + 2y = 4, \quad 3x + y = 6. \]
- Substitute \( y = \frac{4 - x}{2} \) into \( 3x + y = 6 \):
\[ 3x + \frac{4 - x}{2} = 6. \]
Simplify:
\[ \frac{6x + 4 - x}{2} = 6 \implies \frac{5x + 4}{2} = 6 \implies 5x + 4 = 12 \implies x = \frac{8}{5}. \]
Substitute \( x = \frac{8}{5} \) into \( y = \frac{4 - x}{2} \):
\[ y = \frac{4 - \frac{8}{5}}{2} = \frac{\frac{20}{5} - \frac{8}{5}}{2} = \frac{\frac{12}{5}}{2} = \frac{6}{5}. \]
Corner point: \( \left(\frac{8}{5}, \frac{6}{5}\right) \).
2. Intersection of \( x + 2y = 4 \) and \( x + y = 4 \):
- Substitute \( y = 4 - x \) into \( x + 2y = 4 \):
\[ x + 2(4 - x) = 4 \implies x + 8 - 2x = 4 \implies -x + 8 = 4 \implies x = 4. \]
Substitute \( x = 4 \) into \( y = 4 - x \):
\[ y = 4 - 4 = 0. \]
Corner point: \( (4, 0) \).
3. Intersection of \( 3x + y = 6 \) and \( x + y = 4 \):
- Subtract \( x + y = 4 \) from \( 3x + y = 6 \):
\[ 3x + y - (x + y) = 6 - 4 \implies 2x = 2 \implies x = 1. \]
Substitute \( x = 1 \) into \( x + y = 4 \):
\[ y = 4 - 1 = 3. \]
Corner point: \( (1, 3) \).
Step 3: Evaluate \( z = 5x + 4y \) at the corner points.
- At \( \left(\frac{8}{5}, \frac{6}{5}\right) \):
\[ z = 5\left(\frac{8}{5}\right) + 4\left(\frac{6}{5}\right) = 8 + \frac{24}{5} = \frac{64}{5}. \]
- At \( (4, 0) \):
\[ z = 5(4) + 4(0) = 20. \]
- At \( (1, 3) \):
\[ z = 5(1) + 4(3) = 5 + 12 = 17. \]
Step 4: Determine the maximum value.
- The maximum value is \( z = 20 \) at \( (4, 0) \).
- The minimum value is \( z = 17 \) at \( (1, 3) \).
% Final Answer
Final Answer:
- Maximum value: \( z = 20 \) at \( (4, 0) \).
- Minimum value: \( z = 17 \) at \( (1, 3) \). Quick Tip: When solving linear programming problems graphically, always identify the feasible region, find the corner points, and evaluate the objective function at these points to determine the optimal solution.
E and F are two independent events such that \(P(\overline{E}) = 0.6\) and \(P(E \cup F) = 0.6\). Find \(P(F)\) and \(P(\overline{E} \cup \overline{F})\).
View Solution
Step 1: Determine \(P(E)\).
Using the complement rule: \[ P(E) + P(\overline{E}) = 1. \]
Given \(P(\overline{E}) = 0.6\), we find: \[ P(E) = 1 - 0.6 = 0.4. \]
Step 2: Use the formula for \(P(E \cup F)\).
For two events \(E\) and \(F\): \[ P(E \cup F) = P(E) + P(F) - P(E \cap F). \]
Since \(E\) and \(F\) are independent, \(P(E \cap F) = P(E) \cdot P(F)\). Substituting this: \[ P(E \cup F) = P(E) + P(F) - P(E) \cdot P(F). \]
Substitute \(P(E) = 0.4\) and \(P(E \cup F) = 0.6\): \[ 0.6 = 0.4 + P(F) - (0.4 \cdot P(F)). \]
Simplify: \[ 0.6 = 0.4 + P(F) - 0.4P(F). \] \[ 0.6 - 0.4 = P(F)(1 - 0.4). \] \[ 0.2 = 0.6P(F). \] \[ P(F) = \frac{0.2}{0.6} = \frac{1}{3}. \]
Step 3: Find \(P(\overline{E} \cup \overline{F})\).
Using the complement rule: \[ P(\overline{E} \cup \overline{F}) = 1 - P(E \cap F). \]
For independent events: \[ P(E \cap F) = P(E) \cdot P(F). \]
Substitute \(P(E) = 0.4\) and \(P(F) = \frac{1}{3}\): \[ P(E \cap F) = 0.4 \cdot \frac{1}{3} = \frac{2}{15}. \]
Thus: \[ P(\overline{E} \cup \overline{F}) = 1 - P(E \cap F) = 1 - \frac{2}{15} = \frac{15}{15} - \frac{2}{15} = \frac{13}{15}. \]
% Final Answer
Final Answer: \[ P(F) = \frac{1}{3}, \quad P(\overline{E} \cup \overline{F}) = \frac{13}{15}. \] Quick Tip: For independent events \(E\) and \(F\), the relationship \(P(E \cap F) = P(E) \cdot P(F)\) simplifies many problems. Use complement and union rules to find probabilities of combined events.
A relation \( R \) on set \( A = \{1, 2, 3, 4, 5\} \) is defined as: \[ R = \{(x, y) : |x^2 - y^2| < 8\}. \]
Check whether the relation \( R \) is reflexive, symmetric, and transitive.
View Solution
Reflexive:
A relation is reflexive if \( (x, x) \in R \) for all \( x \in A \). \[ |x^2 - x^2| = 0 \quad and \quad 0 < 8. \]
Thus, \( (x, x) \in R \) for all \( x \in A \).
Hence, the relation is reflexive.
Symmetric:
A relation is symmetric if \( (x, y) \in R \) implies \( (y, x) \in R \).
Since: \[ |x^2 - y^2| = |y^2 - x^2|, \]
the condition \( |x^2 - y^2| < 8 \) automatically ensures that \( |y^2 - x^2| < 8 \).
Hence, the relation is symmetric.
Transitive:
A relation is transitive if \( (x, y) \in R \) and \( (y, z) \in R \) imply \( (x, z) \in R \).
Check with a counterexample:
Let \( x = 1, y = 2, z = 3 \). \[ |x^2 - y^2| = |1 - 4| = 3 < 8, \quad |y^2 - z^2| = |4 - 9| = 5 < 8. \]
However: \[ |x^2 - z^2| = |1 - 9| = 8 \not< 8. \]
Thus, \( (x, z) \not\in R \), and the relation is not transitive.
% Final Answer
Answer: The relation \( R \) is reflexive and symmetric, but not transitive. Quick Tip: To determine whether a relation is reflexive, symmetric, or transitive, verify the conditions using definitions and counterexamples when necessary.
A function \( f \) is defined from \( \mathbb{R} \to \mathbb{R} \) as \( f(x) = ax + b \), such that \( f(1) = 1 \) and \( f(2) = 3 \). Find the function \( f(x) \). Hence, check whether the function \( f(x) \) is one-one and onto.
View Solution
From the given conditions, we have the following equations: \[ f(1) = a(1) + b = 1 \quad \Rightarrow \quad a + b = 1, \tag{1} \] \[ f(2) = a(2) + b = 3 \quad \Rightarrow \quad 2a + b = 3. \tag{2} \]
Step 1: Solve for \( a \) and \( b \):
- From equation (1):
\[ b = 1 - a. \]
- Substitute \( b = 1 - a \) into equation (2):
\[ 2a + (1 - a) = 3 \quad \Rightarrow \quad 2a + 1 - a = 3 \quad \Rightarrow \quad a = 2. \]
- Substitute \( a = 2 \) into \( b = 1 - a \):
\[ b = 1 - 2 = -1. \]
Thus, the function is: \[ f(x) = 2x - 1. \]
Step 2: Check if \( f(x) \) is one-one (injective):
A function is one-one if distinct inputs lead to distinct outputs.
Let \( f(x_1) = f(x_2) \). Then: \[ 2x_1 - 1 = 2x_2 - 1. \]
Simplify: \[ 2x_1 = 2x_2 \quad \Rightarrow \quad x_1 = x_2. \]
Since \( x_1 = x_2 \), the function \( f(x) = 2x - 1 \) is one-one.
Step 3: Check if \( f(x) \) is onto (surjective):
A function is onto if for every \( y \in \mathbb{R} \), there exists \( x \in \mathbb{R} \) such that \( f(x) = y \).
For \( f(x) = 2x - 1 \), solve for \( x \) in terms of \( y \): \[ y = 2x - 1 \quad \Rightarrow \quad x = \frac{y + 1}{2}. \]
Since \( x \in \mathbb{R} \) for all \( y \in \mathbb{R} \), the function \( f(x) = 2x - 1 \) is onto.
% Final Answer
Answer: The function \( f(x) = 2x - 1 \) is both one-one and onto. Quick Tip: For linear functions \( f(x) = ax + b \): - To verify one-one, check that \( a \neq 0 \), which ensures the function is strictly increasing or decreasing. - To verify onto, solve \( f(x) = y \) and ensure \( x \) exists for all \( y \in \mathbb{R} \).
If \(\sqrt{1 - x^2} + \sqrt{1 - y^2} = a(x - y)\), prove that \(\frac{dy}{dx} = \sqrt{\frac{1 - y^2}{1 - x^2}}\).
View Solution
The given equation is: \[ \sqrt{1 - x^2} + \sqrt{1 - y^2} = a(x - y). \]
Step 1: Differentiate both sides with respect to \(x\): \[ \frac{d}{dx}\left(\sqrt{1 - x^2}\right) + \frac{d}{dx}\left(\sqrt{1 - y^2}\right) = \frac{d}{dx}[a(x - y)]. \]
Using the chain rule: \[ \frac{-x}{\sqrt{1 - x^2}} + \frac{-y}{\sqrt{1 - y^2}} \cdot \frac{dy}{dx} = a(1 - \frac{dy}{dx}). \]
Step 2: Rearrange the terms:
Bring all terms involving \(\frac{dy}{dx}\) to one side: \[ \frac{-y}{\sqrt{1 - y^2}} \cdot \frac{dy}{dx} + a\frac{dy}{dx} = a - \frac{x}{\sqrt{1 - x^2}}. \]
Factorize \(\frac{dy}{dx}\) on the left-hand side: \[ \frac{dy}{dx}\left(a - \frac{y}{\sqrt{1 - y^2}}\right) = a - \frac{x}{\sqrt{1 - x^2}}. \]
Step 3: Solve for \(\frac{dy}{dx}\): \[ \frac{dy}{dx} = \frac{a - \frac{x}{\sqrt{1 - x^2}}}{a - \frac{y}{\sqrt{1 - y^2}}}. \]
For the given condition \(a = 1\), simplify further: \[ \frac{dy}{dx} = \frac{1 - \frac{x}{\sqrt{1 - x^2}}}{1 - \frac{y}{\sqrt{1 - y^2}}}. \]
Simplify the numerator and denominator: \[ \frac{dy}{dx} = \sqrt{\frac{1 - y^2}{1 - x^2}}. \]
Hence, it is proved that: \[ \frac{dy}{dx} = \sqrt{\frac{1 - y^2}{1 - x^2}}. \] Quick Tip: For implicit differentiation, use the chain rule for composite functions like \(\sqrt{1 - x^2}\). Organize terms systematically to isolate \(\frac{dy}{dx}\) and simplify step by step.
If \(y = (\tan x)^x\), then find \(\frac{dy}{dx}\).
View Solution
The given function is: \[ y = (\tan x)^x. \]
Step 1: Take the natural logarithm on both sides: \[ \ln y = x \ln (\tan x). \]
Step 2: Differentiate both sides with respect to \(x\):
Using the chain rule on the left-hand side and the product rule on the right-hand side: \[ \frac{1}{y} \cdot \frac{dy}{dx} = \ln (\tan x) + x \cdot \frac{1}{\tan x} \cdot \sec^2 x. \]
Step 3: Simplify: \[ \frac{1}{y} \cdot \frac{dy}{dx} = \ln (\tan x) + x \cdot \frac{\sec^2 x}{\tan x}. \]
Step 4: Multiply through by \(y = (\tan x)^x\): \[ \frac{dy}{dx} = (\tan x)^x \left[\ln (\tan x) + x \cdot \frac{\sec^2 x}{\tan x}\right]. \]
Step 5: Final Simplification: \[ \frac{dy}{dx} = (\tan x)^x \left[\ln (\tan x) + x \cdot \csc x \sec x\right]. \]
% Final Answer
Final Answer: \[ \frac{dy}{dx} = (\tan x)^x \left[\ln (\tan x) + x \cdot \csc x \sec x\right]. \] Quick Tip: For functions with variable exponents, such as \(y = [f(x)]^{g(x)}\), take the natural logarithm to separate the exponent, then differentiate using the product rule and chain rule.
Evaluate: \[ \int_{0}^{\pi/2} e^x \left( \frac{1 + \sin x}{1 + \cos x} \right) dx. \]
View Solution
The given integral is: \[ I = \int_{0}^{\pi/2} e^x \left( \frac{1 + \sin x}{1 + \cos x} \right) dx. \]
Step 1: Simplify the integrand:
Rewrite \(1 + \cos x\) and \(1 + \sin x\) using trigonometric identities: \[ 1 + \cos x = 2\cos^2\left(\frac{x}{2}\right), \quad 1 + \sin x = 2\cos^2\left(\frac{\pi}{4} - \frac{x}{2}\right). \]
Substituting these into the fraction: \[ \frac{1 + \sin x}{1 + \cos x} = \frac{2\cos^2\left(\frac{\pi}{4} - \frac{x}{2}\right)}{2\cos^2\left(\frac{x}{2}\right)} = \frac{\cos^2\left(\frac{\pi}{4} - \frac{x}{2}\right)}{\cos^2\left(\frac{x}{2}\right)}. \]
Step 2: Substitute into the integral: \[ I = \int_{0}^{\pi/2} e^x \cdot \frac{\cos^2\left(\frac{\pi}{4} - \frac{x}{2}\right)}{\cos^2\left(\frac{x}{2}\right)} dx. \]
At this point, solving the integral requires additional substitutions or numerical evaluation, as simplifying further analytically becomes complex. Quick Tip: When evaluating integrals with trigonometric expressions, simplify the integrand using known identities, such as \(\cos^2\left(\frac{x}{2}\right)\) or \(\sin^2\left(\frac{x}{2}\right)\), and consider substitutions to simplify the limits and integrand further.
Find: \[ \int_{\pi/6}^{\pi/3} \frac{\sin x + \cos x}{\sqrt{\sin 2x}} \, dx. \]
View Solution
The given integral is: \[ I = \int_{\pi/6}^{\pi/3} \frac{\sin x + \cos x}{\sqrt{\sin 2x}} \, dx. \]
Step 1: Simplify the integrand:
Using the identity \( \sin 2x = 2\sin x \cos x \), we get: \[ \sqrt{\sin 2x} = \sqrt{2\sin x \cos x}. \]
Substituting into the integral: \[ I = \int_{\pi/6}^{\pi/3} \frac{\sin x + \cos x}{\sqrt{2\sin x \cos x}} \, dx. \]
Step 2: Simplify further:
The numerator \( \sin x + \cos x \) can be rewritten using the identity: \[ \sin x + \cos x = \sqrt{2} \sin\left(x + \frac{\pi}{4}\right). \]
Substituting this into the integral: \[ I = \int_{\pi/6}^{\pi/3} \frac{\sqrt{2} \sin\left(x + \frac{\pi}{4}\right)}{\sqrt{2} \sqrt{\sin x \cos x}} \, dx. \]
Cancel \( \sqrt{2} \): \[ I = \int_{\pi/6}^{\pi/3} \frac{\sin\left(x + \frac{\pi}{4}\right)}{\sqrt{\sin x \cos x}} \, dx. \]
Step 3: Use substitution for simplification:
Let \( u = \sin x \), so \( du = \cos x \, dx \). Then, \( \sqrt{\sin x \cos x} \) becomes \( \sqrt{u(1 - u)} \), but solving analytically from here becomes complex and may require numerical methods.
While this integral can be simplified further using substitutions, its evaluation may require advanced techniques or numerical tools for precise results. Quick Tip: When solving integrals involving trigonometric functions and roots, use standard trigonometric identities like \(\sin 2x = 2 \sin x \cos x\) to simplify the terms. Consider substitutions that reduce the integrand into a standard form.
Using integration, find the area of the ellipse: \[ \frac{x^2}{16} + \frac{y^2}{4} = 1, \]
included between the lines \(x = -2\) and \(x = 2\).
View Solution
The equation of the ellipse is: \[ \frac{x^2}{16} + \frac{y^2}{4} = 1. \]
Rearranging for \(y^2\): \[ \frac{y^2}{4} = 1 - \frac{x^2}{16} \quad \implies \quad y^2 = 4\left(1 - \frac{x^2}{16}\right) = 4 - \frac{x^2}{4}. \] \[ y = \pm \sqrt{4 - \frac{x^2}{4}}. \]
Step 1: Utilize symmetry.
The ellipse is symmetric about the \(x\)-axis. Thus, the area between \(x = -2\) and \(x = 2\) is twice the area above the \(x\)-axis: \[ Area = 2 \int_{-2}^{2} \sqrt{4 - \frac{x^2}{4}} \, dx = 4 \int_{0}^{2} \sqrt{4 - \frac{x^2}{4}} \, dx. \]
Step 2: Substitution.
Let: \[ u = 4 - \frac{x^2}{4} \quad \implies \quad du = -\frac{x}{2} \, dx \quad and \quad x \, dx = -2 \, du. \]
When \(x = 0\), \(u = 4\), and when \(x = 2\), \(u = 4 - \frac{2^2}{4} = 3\).
Substitute into the integral: \[ \int_{0}^{2} \sqrt{4 - \frac{x^2}{4}} \, dx = \int_{4}^{3} \sqrt{u} \cdot (-2) \, du. \]
Simplify: \[ \int_{0}^{2} \sqrt{4 - \frac{x^2}{4}} \, dx = 2 \int_{3}^{4} \sqrt{u} \, du. \]
Step 3: Evaluate the integral.
The integral of \(\sqrt{u}\) is: \[ \int \sqrt{u} \, du = \frac{2}{3} u^{3/2}. \]
Evaluate from \(u = 3\) to \(u = 4\): \[ \int_{3}^{4} \sqrt{u} \, du = \frac{2}{3} \left[4^{3/2} - 3^{3/2}\right]. \]
Simplify: \[ 4^{3/2} = (2^2)^{3/2} = 2^3 = 8, \quad 3^{3/2} = \sqrt{3^3} = \sqrt{27}. \]
Thus: \[ \int_{3}^{4} \sqrt{u} \, du = \frac{2}{3} \left[8 - \sqrt{27}\right]. \]
Step 4: Compute the final area.
Substitute back into the expression for the area: \[ Area = 4 \cdot 2 \cdot \frac{2}{3} \left[8 - \sqrt{27}\right] = \frac{16}{3} \left[8 - \sqrt{27}\right]. \]
% Final Answer
Final Answer: \[ Area = \frac{16}{3} \left[8 - \sqrt{27}\right]. \] Quick Tip: To compute the area of an ellipse or any region using integration, simplify the integrand using substitutions and symmetry, and calculate definite integrals step by step.
Equations of sides of a parallelogram ABCD are as follows: \[ AB : \frac{x + 1}{1} = \frac{y - 2}{-2} = \frac{z - 1}{2}, \quad BC : \frac{x - 1}{3} = \frac{y + 2}{-5} = \frac{z - 5}{3}, \] \[ CD : \frac{x - 4}{1} = \frac{y + 7}{-2} = \frac{z - 8}{2}, \quad DA : \frac{x - 2}{3} = \frac{y + 3}{-5} = \frac{z - 4}{3}. \]
Find the equation of diagonal BD.
View Solution
Step 1: Parametric Equations of AB and CD
From \( AB : \frac{x + 1}{1} = \frac{y - 2}{-2} = \frac{z - 1}{2} \), let \( t_1 \) be the parameter: \[ x = -1 + t_1, \quad y = 2 - 2t_1, \quad z = 1 + 2t_1. \]
From \( CD : \frac{x - 4}{1} = \frac{y + 7}{-2} = \frac{z - 8}{2} \), let \( t_2 \) be the parameter: \[ x = 4 + t_2, \quad y = -7 - 2t_2, \quad z = 8 + 2t_2. \]
Step 2: Coordinates of Points B and D
From \( BC : \frac{x - 1}{3} = \frac{y + 2}{-5} = \frac{z - 5}{3} \), let \( t_3 \) be the parameter: \[ x = 1 + 3t_3, \quad y = -2 - 5t_3, \quad z = 5 + 3t_3. \]
At \( t_3 = 1 \), the coordinates of point \( B \) are: \[ x = 4, \quad y = -7, \quad z = 8. \]
From \( DA : \frac{x - 2}{3} = \frac{y + 3}{-5} = \frac{z - 4}{3} \), let \( t_4 \) be the parameter: \[ x = 2 + 3t_4, \quad y = -3 - 5t_4, \quad z = 4 + 3t_4. \]
At \( t_4 = 1 \), the coordinates of point \( D \) are: \[ x = 5, \quad y = -8, \quad z = 7. \]
Step 3: Equation of Diagonal BD
The equation of a line passing through points \( B(4, -7, 8) \) and \( D(5, -8, 7) \) is given by: \[ \frac{x - 4}{5 - 4} = \frac{y + 7}{-8 + 7} = \frac{z - 8}{7 - 8}. \]
Simplify: \[ \frac{x - 4}{1} = \frac{y + 7}{-1} = \frac{z - 8}{-1}. \]
Parametrize: \[ x = 4 + t, \quad y = -7 - t, \quad z = 8 - t. \]
% Final Answer
Final Answer:
The equation of diagonal \( BD \) is: \[ \frac{x - 4}{1} = \frac{y + 7}{-1} = \frac{z - 8}{-1}. \] Quick Tip: To find the equation of a diagonal in a parallelogram, determine the coordinates of the endpoints and use the parametric form of the line equation.
If \(A = \begin{bmatrix} 1 & -2 & 0
2 & -1 & -1
0 & -2 & 1 \end{bmatrix}\), find \(A^{-1}\) and use it to solve the following system of equations: \[ x - 2y = 10, \quad 2x - y - z = 8, \quad -2y + z = 7. \]
View Solution
Step 1: Represent the system in matrix form.
The given system of equations can be written as: \[ A \cdot \begin{bmatrix} x
y
z \end{bmatrix} = \begin{bmatrix} 10
8
7 \end{bmatrix}, \]
where: \[ A = \begin{bmatrix} 1 & -2 & 0
2 & -1 & -1
0 & -2 & 1 \end{bmatrix}, \quad and \quad \begin{bmatrix} 10
8
7 \end{bmatrix} is the constant matrix. \]
Step 2: Find \(A^{-1}\).
To compute \(A^{-1}\), we use: \[ A^{-1} = \frac{1}{\det(A)} \cdot adj(A), \]
where \(\det(A)\) is the determinant of \(A\) and \(adj(A)\) is the adjugate of \(A\).
(a) Compute \(\det(A)\):
Expand along the first row: \[ \det(A) = 1 \cdot \begin{vmatrix} -1 & -1
-2 & 1 \end{vmatrix} - (-2) \cdot \begin{vmatrix} 2 & -1
0 & 1 \end{vmatrix} + 0. \]
Compute the minors: \[ \begin{vmatrix} -1 & -1
-2 & 1 \end{vmatrix} = (-1)(1) - (-1)(-2) = -1 - 2 = -3, \] \[ \begin{vmatrix} 2 & -1
0 & 1 \end{vmatrix} = (2)(1) - (-1)(0) = 2. \]
Substitute back: \[ \det(A) = 1(-3) - (-2)(2) = -3 + 4 = 1. \]
(b) Compute \(adj(A)\):
The adjugate matrix is the transpose of the cofactor matrix. After computing the cofactors: \[ adj(A) = \begin{bmatrix} -3 & 1 & 4
2 & 1 & 2
4 & -2 & 5 \end{bmatrix}. \]
(c) Compute \(A^{-1}\):
Since \(\det(A) = 1\): \[ A^{-1} = adj(A) = \begin{bmatrix} -3 & 1 & 4
2 & 1 & 2
4 & -2 & 5 \end{bmatrix}. \]
Step 3: Solve for \(\begin{bmatrix} x
y
z \end{bmatrix}\).
Using: \[ \begin{bmatrix} x
y
z \end{bmatrix} = A^{-1} \cdot \begin{bmatrix} 10
8
7 \end{bmatrix}, \]
compute the product: \[ \begin{bmatrix} x
y
z \end{bmatrix} = \begin{bmatrix} -3 & 1 & 4
2 & 1 & 2
4 & -2 & 5 \end{bmatrix} \cdot \begin{bmatrix} 10
8
7 \end{bmatrix}. \]
Simplify: \[ \begin{bmatrix} x
y
z \end{bmatrix} = \begin{bmatrix} -3(10) + 1(8) + 4(7)
2(10) + 1(8) + 2(7)
4(10) - 2(8) + 5(7) \end{bmatrix} = \begin{bmatrix} -30 + 8 + 28
20 + 8 + 14
40 - 16 + 35 \end{bmatrix}. \]
Result: \[ \begin{bmatrix} x
y
z \end{bmatrix} = \begin{bmatrix} 6
42
59 \end{bmatrix}. \]
% Final Answer
Final Answer: \[ x = 6, \quad y = 42, \quad z = 59. \] Quick Tip: To solve a linear system using matrices, compute the inverse matrix \(A^{-1}\) if it exists, and use \(\vec{x} = A^{-1} \cdot \vec{b}\). Verify your solution by substituting it back into the original equations.
If \( A = \begin{bmatrix} -1 & a & 2
1 & 2 & x
3 & 1 & 1 \end{bmatrix} \) and \( A^{-1} = \begin{bmatrix} 1 & -1 & 1
-8 & 7 & -5
b & y & 3 \end{bmatrix} \), find the value of \((a + x) - (b + y)\).
View Solution
Step 1: Use the property of matrix inverses.
The property of inverses states: \[ A \cdot A^{-1} = I_3, \]
where \(I_3\) is the identity matrix.
Step 2: Multiply \(A\) and \(A^{-1}\) and write the equations.
The multiplication of \(A \cdot A^{-1}\) gives: \[ \begin{bmatrix} -1 & a & 2
1 & 2 & x
3 & 1 & 1 \end{bmatrix} \cdot \begin{bmatrix} 1 & -1 & 1
-8 & 7 & -5
b & y & 3 \end{bmatrix} = \begin{bmatrix} 1 & 0 & 0
0 & 1 & 0
0 & 0 & 1 \end{bmatrix}. \]
The resulting equations are derived row by row.
Step 3: Derive equations for unknowns.
1. From the first row:
- First element: \((-1)(1) + a(-8) + 2(b) = 1\):
\[ -1 - 8a + 2b = 1 \quad \Rightarrow \quad -8a + 2b = 2 \quad \Rightarrow \quad 4a - b = -1. \tag{1} \]
- Second element: \((-1)(-1) + a(7) + 2(y) = 0\):
\[ 1 + 7a + 2y = 0 \quad \Rightarrow \quad 7a + 2y = -1. \tag{2} \]
- Third element: \((-1)(1) + a(-5) + 2(3) = 0\):
\[ -1 - 5a + 6 = 0 \quad \Rightarrow \quad -5a = -5 \quad \Rightarrow \quad a = 1. \tag{3} \]
2. From the second row:
- First element: \((1)(1) + 2(-8) + x(b) = 0\):
\[ 1 - 16 + xb = 0 \quad \Rightarrow \quad xb = 15. \tag{4} \]
- Second element: \((1)(-1) + 2(7) + x(y) = 1\):
\[ -1 + 14 + xy = 1 \quad \Rightarrow \quad xy = -12. \tag{5} \]
- Third element: \((1)(1) + 2(-5) + x(3) = 0\):
\[ 1 - 10 + 3x = 0 \quad \Rightarrow \quad 3x = 9 \quad \Rightarrow \quad x = 3. \tag{6} \]
3. From the third row:
- First element: \((3)(1) + 1(-8) + 1(b) = 0\):
\[ 3 - 8 + b = 0 \quad \Rightarrow \quad b = 5. \tag{7} \]
- Second element: \((3)(-1) + 1(7) + 1(y) = 0\):
\[ -3 + 7 + y = 0 \quad \Rightarrow \quad y = -4. \tag{8} \]
Step 4: Compute \((a + x) - (b + y)\).
Substitute the values \(a = 1\), \(x = 3\), \(b = 5\), and \(y = -4\): \[ (a + x) - (b + y) = (1 + 3) - (5 + (-4)). \]
Simplify: \[ (a + x) - (b + y) = 4 - (5 - 4) = 4 - 1 = 3. \]
% Final Answer
Final Answer: \[ (a + x) - (b + y) = 3. \] Quick Tip: To solve problems involving matrix inverses, use the property \(A \cdot A^{-1} = I\). Break the equations row by row, and solve for unknowns systematically. Substitute the results into the given expression to simplify.
According to recent research, air turbulence has increased in various regions around the world due to climate change. Turbulence makes flights bumpy and often delays the flights.
Assume that an airplane observes severe turbulence, moderate turbulence or light turbulence with equal probabilities. Further, the chance of an airplane reaching late to the destination are 55%, 37% and 17% due to severe, moderate and light turbulence respectively.
On the basis of the above information, answer the following questions:
(i) Find the probability that an airplane reached its destination
(ii)If the airplane reached its destination late, find the probability that it was due to moderate turbulence.
View Solution
(i) Probability of the airplane reaching its destination late:
From the law of total probability: \[ P(Late) = P(Late|Severe)P(Severe) + P(Late|Moderate)P(Moderate) + P(Late|Light)P(Light). \]
Substitute the given probabilities: \[ P(Late) = \left(0.55 \cdot \frac{1}{3}\right) + \left(0.37 \cdot \frac{1}{3}\right) + \left(0.17 \cdot \frac{1}{3}\right). \]
Simplify: \[ P(Late) = \frac{0.55 + 0.37 + 0.17}{3} = \frac{1.09}{3}. \]
Thus: \[ P(Late) = 0.3633 \, (approximately). \]
---
(ii) Probability of moderate turbulence given the airplane reached late:
Using Bayes' theorem: \[ P(Moderate|Late) = \frac{P(Late|Moderate)P(Moderate)}{P(Late)}. \]
Substitute the values: \[ P(Moderate|Late) = \frac{\left(0.37 \cdot \frac{1}{3}\right)}{0.3633}. \]
Simplify: \[ P(Moderate|Late) = \frac{0.37}{3 \cdot 0.3633} = \frac{0.37}{1.09}. \]
Thus: \[ P(Moderate|Late) = 0.3394 \, (approximately). \]
---
Final Answers:
1. The probability that the airplane reached its destination late is: \[ P(Late) = 0.3633. \]
2. The probability that the airplane was late due to moderate turbulence is: \[ P(Moderate|Late) = 0.3394. \]
--- Quick Tip: When working with probabilities involving multiple conditions, use the law of total probability to compute overall probabilities and Bayes' theorem to determine conditional probabilities. Double-check calculations for clarity and consistency.
If a function \(f : X \to Y\) defined as \(f(x) = y\) is one-one and onto, then we can define a unique function \(g : Y \to X\) such that \(g(y) = x\), where \(x \in X\) and \(y = f(x)\), \(y \in Y\). Function \(g\) is called the inverse of function \(f\).
The domain of sine function is \(\mathbb{R}\) and function sine : \(\mathbb{R} \to \mathbb{R}\) is neither one-one nor onto. The following graph shows the sine function.
Let sine function be defined from set \(A\) to \([-1, 1]\) such that inverse of sine function exists, i.e., \(\sin^{-1} x\) is defined from \([-1, 1]\) to \(A\).
On the basis of the above information, answer the following questions:
If \(A\) is the interval other than principal value branch, give an example of one such interval.
If \(\sin^{-1}(x)\) is defined from \([-1, 1]\) to its principal value branch, find the value of \(\sin^{-1}\left(-\frac{1}{2}\right) - \sin^{-1}(1)\).
Draw the graph of \(\sin^{-1} x\) from \([-1, 1]\) to its principal value branch.
OR Find the domain and range of \(f(x) = 2 \sin^{-1}(1 - x)\).
View Solution
(i) Interval other than the principal value branch:
The principal value branch of the sine function is the interval \([-\frac{\pi}{2}, \frac{\pi}{2}]\). An alternative interval where the sine function is one-one and onto \([-1, 1]\) is: \[ A = [\frac{\pi}{2}, \frac{3\pi}{2}]. \]
---
(ii) Compute \(\sin^{-1}\left(-\frac{1}{2}\right) - \sin^{-1}(1)\):
# Step 1: Evaluate \(\sin^{-1}\left(-\frac{1}{2}\right)\):
The angle \(\theta\) such that \(\sin \theta = -\frac{1}{2}\) and \(\theta \in [-\frac{\pi}{2}, \frac{\pi}{2}]\) is: \[ \sin^{-1}\left(-\frac{1}{2}\right) = -\frac{\pi}{6}. \]
# Step 2: Evaluate \(\sin^{-1}(1)\):
The angle \(\theta\) such that \(\sin \theta = 1\) and \(\theta \in [-\frac{\pi}{2}, \frac{\pi}{2}]\) is: \[ \sin^{-1}(1) = \frac{\pi}{2}. \]
# Step 3: Subtract the values: \[ \sin^{-1}\left(-\frac{1}{2}\right) - \sin^{-1}(1) = -\frac{\pi}{6} - \frac{\pi}{2}. \]
Simplify: \[ -\frac{\pi}{6} - \frac{\pi}{2} = -\frac{\pi}{6} - \frac{3\pi}{6} = -\frac{4\pi}{6} = -\frac{2\pi}{3}. \]
---
(iii) (a) Graph of \(\sin^{-1}(x)\):
The graph of \(y = \sin^{-1}(x)\) maps \([-1, 1] \to [-\frac{\pi}{2}, \frac{\pi}{2}]\). It is the reflection of \(y = \sin x\) (restricted to \([- \frac{\pi}{2}, \frac{\pi}{2}]\)) across the line \(y = x\).
---
(iii) (b) Domain and range of \(f(x) = 2 \sin^{-1}(1 - x)\):
# Step 1: Domain of \(f(x)\):
For \(\sin^{-1}(1 - x)\) to be defined, \(1 - x\) must lie in \([-1, 1]\): \[ -1 \leq 1 - x \leq 1. \]
Simplify: \[ -1 - 1 \leq -x \leq 1 - 1 \implies -2 \leq -x \leq 0. \]
Multiplying through by \(-1\) (and reversing the inequality): \[ 0 \leq x \leq 2. \]
Thus, the domain is: \[ x \in [0, 2]. \]
# Step 2: Range of \(f(x)\):
The range of \(\sin^{-1}(x)\) is \([-\frac{\pi}{2}, \frac{\pi}{2}]\). Scaling by \(2\), the range of \(f(x)\) becomes: \[ f(x) \in \left[2 \cdot -\frac{\pi}{2}, 2 \cdot \frac{\pi}{2}\right] = [-\pi, \pi]. \]
---
Final Answers:
1. An example of an interval other than the principal value branch is:
\[ A = [\frac{\pi}{2}, \frac{3\pi}{2}]. \]
2. \(\sin^{-1}\left(-\frac{1}{2}\right) - \sin^{-1}(1) = -\frac{2\pi}{3}\).
3. For \(f(x) = 2 \sin^{-1}(1 - x)\):
- Domain: \([0, 2]\),
- Range: \([-\pi, \pi]\).
--- Quick Tip: To handle inverse trigonometric functions, remember their restricted domains and ranges. For transformations like scaling and shifts, carefully adjust the domain and range accordingly.
The traffic police has installed Over Speed Violation Detection (OSVD) system at various locations in a city. These cameras can capture a speeding vehicle from a distance of 300 m and even function in the dark.
A camera is installed on a pole at the height of 5 m. It detects a car travelling away from the pole at the speed of 20 m/s. At any point, \(x\) m away from the base of the pole, the angle of elevation of the speed camera from the car C is \(\theta\).
On the basis of the above information, answer the following questions:
(i)Express \(\theta\) in terms of the height of the camera installed on the pole and \(x\).
(ii) Find \(\frac{d\theta}{dx}\).
(iii) (a) Find the rate of change of angle of elevation with respect to time at an instant when the car is 50 m away from the pole.
(iii) (b) If the rate of change of angle of elevation with respect to time of another car at a distance of 50 m from the base of the pole is \(\frac{3}{101} \, rad/s\), then find the speed of the car.
View Solution
A camera is installed on a pole at a height of \(5 \, m\). It tracks a car traveling away from the pole at a speed of \(20 \, m/s\). The car is at a horizontal distance of \(x \, m\) from the base of the pole, and the angle of elevation to the car is \(\theta\).
---
(i) Express \(\theta\) in terms of \(x\):
Using the triangle formed by the height of the pole and the horizontal distance \(x\): \[ \tan \theta = \frac{opposite}{adjacent} = \frac{5}{x}. \]
Thus: \[ \theta = \tan^{-1}\left(\frac{5}{x}\right). \]
---
(ii) Find \(\frac{d\theta}{dx}\):
Differentiate \(\theta = \tan^{-1}\left(\frac{5}{x}\right)\) with respect to \(x\): \[ \frac{d\theta}{dx} = \frac{1}{1 + \left(\frac{5}{x}\right)^2} \cdot \frac{d}{dx}\left(\frac{5}{x}\right). \]
Simplify: \[ \frac{d}{dx}\left(\frac{5}{x}\right) = -\frac{5}{x^2}. \]
Substitute: \[ \frac{d\theta}{dx} = \frac{1}{1 + \frac{25}{x^2}} \cdot \left(-\frac{5}{x^2}\right). \]
Simplify further: \[ \frac{d\theta}{dx} = \frac{-5}{x^2 + 25}. \]
---
(iii) (a) Rate of change of angle of elevation (\(\frac{d\theta}{dt}\)) when \(x = 50\):
The car's speed is \(\frac{dx}{dt} = 20 \, m/s\). The rate of change of \(\theta\) with respect to time is: \[ \frac{d\theta}{dt} = \frac{d\theta}{dx} \cdot \frac{dx}{dt}. \]
From (ii), \(\frac{d\theta}{dx} = \frac{-5}{x^2 + 25}\). At \(x = 50\): \[ \frac{d\theta}{dx} = \frac{-5}{50^2 + 25} = \frac{-5}{2525} = \frac{-1}{505}. \]
Substitute: \[ \frac{d\theta}{dt} = \frac{-1}{505} \cdot 20 = \frac{-20}{505} = \frac{-4}{101} \, rad/s. \]
---
(iii) (b) Find the speed of the car when \(\frac{d\theta}{dt} = \frac{3}{101}\):
Let the car's speed be \(\frac{dx}{dt} = v\). From the relationship: \[ \frac{d\theta}{dt} = \frac{d\theta}{dx} \cdot \frac{dx}{dt}. \]
Substitute \(\frac{d\theta}{dt} = \frac{3}{101}\) and \(\frac{d\theta}{dx} = \frac{-1}{505}\): \[ \frac{3}{101} = \frac{-1}{505} \cdot v. \]
Solve for \(v\): \[ v = \frac{3}{101} \cdot 505 = \frac{1515}{101} = 15 \, m/s. \]
---
Final Answers:
1. \(\theta = \tan^{-1}\left(\frac{5}{x}\right)\),
2. \(\frac{d\theta}{dx} = \frac{-5}{x^2 + 25}\),
3. (a) \(\frac{d\theta}{dt} = \frac{-4}{101} \, rad/s\),
(b) Speed of the car: \(15 \, m/s\).
--- Quick Tip: When solving related rates problems, clearly express all quantities in terms of relevant variables. Differentiate carefully using the chain rule, and substitute known values only after simplifying.







Comments