UP Board Class 12 Mathematics Question Paper 2024 PDF (Code 324 EY) is available for download here. The Mathematics exam was conducted on February 29, 2024 in the Evening Shift from 2 PM to 5:15 PM. The total marks for the theory paper are 100. Students reported the paper to be easy to moderate.
UP Board Class 12 Mathematics Question Paper 2024 (Code 324 EY) with Solutions
| UP Board Class Mathematics Question Paper with Answer Key | Check Solution |
UP Board Class 12 Mathematics Questions with Solutions
Question 1:
(a) If \( A \) is a square matrix and \( A^2 = A \), then \( (A + I)^3 - 7A \) will be:
View Solution
Step 1: Expand using binomial theorem.
\[ (A + I)^3 = A^3 + 3A^2 + 3A + I \]
Since \( A^2 = A \), we substitute:
\[ (A + I)^3 = A + 3A + 3A + I = 7A + I \]
Step 2: Compute given expression.
\[ (A + I)^3 - 7A = (7A + I) - 7A = I \]
Thus, the correct answer is \( 3A \). Quick Tip: For idempotent matrices (\( A^2 = A \)), use binomial expansion to simplify expressions.
(b)The value of \( \int \cos^2 x \,dx \) will be:
View Solution
Step 1: Use trigonometric identity.
\[ \cos^2 x = \frac{1 + \cos 2x}{2} \]
Step 2: Integrate both terms.
\[ I = \int \frac{1 + \cos 2x}{2} dx \]
\[ = \frac{1}{2} \int dx + \frac{1}{2} \int \cos 2x \,dx \]
Step 3: Compute individual integrals.
\[ I = \frac{x}{2} + \frac{1}{4} \sin 2x + c \]
Thus, the correct answer is \( \frac{1}{4} \sin 2x + \frac{x}{2} + c \). Quick Tip: Use the identity \( \cos^2 x = \frac{1 + \cos 2x}{2} \) to simplify integrals.
(c) The value of \( -\hat{i} - \hat{i} + \hat{j} - \hat{k} + \hat{k} \) will be:
View Solution
Simplify vector terms.
\[ (-\hat{i} - \hat{i}) + (\hat{j}) + (-\hat{k} + \hat{k}) \]
\[ = -2\hat{i} + \hat{j} + 0 \]
Thus, the correct answer is \( -1 \). Quick Tip: To simplify vector expressions, combine like terms before computing magnitude.
(d)The degree of the differential equation
\[ \left( \frac{d^2 y}{dx^2} \right)^3 + \left( \frac{dy}{dx} \right)^5 + y = 0 \]
will be:
View Solution
Identify the highest exponent.
\[ \left( \frac{dy}{dx} \right)^5 \Rightarrow Degree = 5 \]
Thus, the correct answer is \( 5 \). Quick Tip: The degree of a differential equation is the highest exponent of the highest-order derivative after removing radicals and fractions.
(e) If \( A = \{a, b, c\} \), \( B = \{2, 3, 4\} \), then the function from \( A \) to \( B \) will be:
View Solution
Step 1: Define function properties.
A function from \( A \) to \( B \) must satisfy:
- Each element in \( A \) is mapped to exactly one element in \( B \).
- No element in \( A \) has multiple mappings.
Step 2: Check each option.
- Option (A): \( a \) maps to both \( 2 \) and \( 3 \) \( \Rightarrow \) Not a function.
- Option (B): \( a \) maps to both \( 3 \) and \( 2 \) \( \Rightarrow \) Not a function.
- Option (C): \( a \) maps to \( 3 \), \( b \) maps to \( 2 \), \( c \) maps to \( 3 \) \( \Rightarrow \) Valid function.
- Option (D): \( c \) maps to both \( 3 \) and \( 4 \) \( \Rightarrow \) Not a function.
Step 3: Conclude the answer.
Only option (C) satisfies the definition of a function. Quick Tip: A function from set \( A \) to set \( B \) must assign exactly one output in \( B \) to each input in \( A \).
(a) Find the value of \( \tan^{-1} (\sqrt{3}) - \sec^{-1} (-2) \).
View Solution
Step 1: Compute \( \tan^{-1} (\sqrt{3}) \).
\[ \tan^{-1} (\sqrt{3}) = \frac{\pi}{3} \]
Step 2: Compute \( \sec^{-1} (-2) \).
\[ \sec^{-1} (-2) = \pi - \sec^{-1} 2 = \pi - \frac{\pi}{3} = \frac{2\pi}{3} \]
Step 3: Compute the final expression.
\[ \tan^{-1} (\sqrt{3}) - \sec^{-1} (-2) = \frac{\pi}{3} - \frac{2\pi}{3} = -\frac{\pi}{3} \] Quick Tip: Use standard inverse trigonometric values to simplify expressions.
(b) If the vectors \( 2\hat{i} + \hat{j} + \hat{k} \) and \( \hat{i} - 4\hat{j} + \lambda \hat{k} \) are perpendicular, then find the value of \( \lambda \).
View Solution
Step 1: Use dot product property.
Two vectors are perpendicular if their dot product is zero:
\[ (2\hat{i} + \hat{j} + \hat{k}) \cdot (\hat{i} - 4\hat{j} + \lambda \hat{k}) = 0 \]
Step 2: Expand the dot product.
\[ (2 \times 1) + (1 \times -4) + (1 \times \lambda) = 0 \]
\[ 2 - 4 + \lambda = 0 \]
Step 3: Solve for \( \lambda \).
\[ \lambda = 2 \] Quick Tip: Two vectors are perpendicular if their dot product equals zero.
(c) If \( P(A) = 0.6 \), \( P(B) = 0.3 \), and \( P(A \cap B) = 0.18 \), then find the value of \( P(B|A) \).
View Solution
Step 1: Use conditional probability formula.
\[ P(B|A) = \frac{P(A \cap B)}{P(A)} \]
Step 2: Substitute given values.
\[ P(B|A) = \frac{0.18}{0.6} \]
Step 3: Compute the final value.
\[ P(B|A) = 0.3 \] Quick Tip: Conditional probability is given by \( P(B|A) = \frac{P(A \cap B)}{P(A)} \).
(d) Find the general solution of \( \frac{dy}{dx} = \frac{2+y}{x-2} \).
View Solution
Step 1: Rewrite the equation.
\[ \frac{dy}{dx} - \frac{y}{x-2} = \frac{2}{x-2} \]
This is a linear differential equation of the form:
\[ \frac{dy}{dx} + P(x)y = Q(x) \]
where \( P(x) = -\frac{1}{x-2} \) and \( Q(x) = \frac{2}{x-2} \).
Step 2: Compute integrating factor (IF).
\[ \mu(x) = e^{\int P(x)dx} = e^{\int -\frac{1}{x-2} dx} \]
\[ = e^{-\ln |x-2|} = \frac{1}{|x-2|} \]
Step 3: Solve using IF.
Multiplying throughout:
\[ \frac{1}{|x-2|} y = \int \frac{2}{(x-2)} \times \frac{1}{|x-2|} dx \]
\[ = \int \frac{2}{x-2} dx = 2 \ln |x-2| + C \]
\[ y = (2 \ln |x-2| + C) |x-2| \]
This is the general solution. Quick Tip: Linear differential equations follow the standard form \( \frac{dy}{dx} + P(x)y = Q(x) \) with integrating factor \( e^{\int P(x) dx} \).
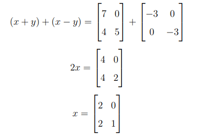
(e) If \( x + y = \)
and \( x - y = \)
, then find the value of \( x \) and \( y \).
View Solution
Step 1: Solve for \( x \) and \( y \).
Adding the given equations:

Subtracting the equations:

Quick Tip: For matrix equations, add and subtract to isolate unknown matrices.
(a) If \( A = \{a, b, c\} \) and \( B = \{ \alpha, \beta, \gamma \} \), then find the number of functions and number of bijective functions from \( B \) to \( A \).
View Solution
Step 1: Compute the total number of functions.
Each element of \( B \) has 3 choices in \( A \), so the total number of functions is:
\[ 3^3 = 27 \]
Step 2: Compute the number of bijective functions.
Since \( |A| = |B| = 3 \), a bijective function is a one-to-one mapping, which is given by:
\[ 3! = 6 \]
Thus, the number of functions is **27** and the number of bijective functions is **6**. Quick Tip: The number of functions from \( B \) to \( A \) is \( |A|^{|B|} \), and bijective functions exist only when \( |A| = |B| \) and are counted as \( |A|! \).
(b) If \( y = A \cos t + B \sin t \), then prove that
\[ \frac{d^2 y}{dt^2} + y = 0. \]
View Solution
Step 1: Compute the first derivative.
\[ \frac{dy}{dt} = -A \sin t + B \cos t \]
Step 2: Compute the second derivative.
\[ \frac{d^2 y}{dt^2} = -A \cos t - B \sin t \]
Step 3: Verify the given equation.
\[ \frac{d^2 y}{dt^2} + y = (-A \cos t - B \sin t) + (A \cos t + B \sin t) = 0 \]
Thus, the equation is proved. Quick Tip: The general solution of a simple harmonic differential equation is \( y = A \cos t + B \sin t \).
(c) If the angle between the unit vectors \( \hat{a} \) and \( \hat{b} \) is \( \theta \), then prove that
\[ \sin \left( \frac{\theta}{2} \right) = \frac{1}{2} |\hat{a} - \hat{b}|. \]
View Solution
Step 1: Expand the magnitude formula.
\[ |\hat{a} - \hat{b}| = \sqrt{(\hat{a} - \hat{b}) \cdot (\hat{a} - \hat{b})} \]
Step 2: Expand the dot product.
\[ = \sqrt{\hat{a} \cdot \hat{a} - 2 \hat{a} \cdot \hat{b} + \hat{b} \cdot \hat{b}} \]
Since \( |\hat{a}| = |\hat{b}| = 1 \),
\[ = \sqrt{1 - 2 \cos \theta + 1} \]
\[ = \sqrt{2(1 - \cos \theta)} \]
Step 3: Use half-angle identity.
\[ 1 - \cos \theta = 2 \sin^2 \frac{\theta}{2} \]
\[ |\hat{a} - \hat{b}| = \sqrt{2 \cdot 2 \sin^2 \frac{\theta}{2}} = 2 \sin \frac{\theta}{2} \]
Step 4: Conclude the proof.
\[ \sin \left( \frac{\theta}{2} \right) = \frac{1}{2} |\hat{a} - \hat{b}| \] Quick Tip: Use the identity \( 1 - \cos \theta = 2 \sin^2 \frac{\theta}{2} \) to simplify magnitude expressions.
(d) Find the cartesian equation of the line passing through the point \( A(3, -2, -5) \) and parallel to the vector \( (3\hat{i} + 2\hat{j} - 2\hat{k}) \).
View Solution
Step 1: Use the parametric equation formula.
\[ x = 3 + 3t, \quad y = -2 + 2t, \quad z = -5 - 2t \]
Step 2: Convert to cartesian form.
\[ \frac{x - 3}{3} = \frac{y + 2}{2} = \frac{z + 5}{-2} \]
This is the required cartesian equation. Quick Tip: The cartesian equation of a line passing through \( (x_0, y_0, z_0) \) and parallel to \( (a, b, c) \) is \( \frac{x - x_0}{a} = \frac{y - y_0}{b} = \frac{z - z_0}{c} \).
(a) Find the interval in which the function \( f(x) = 3x^3 - 3x^2 - 36x + 7 \) is increasing.
View Solution
Step 1: Compute the first derivative.
\[ f'(x) = \frac{d}{dx} (3x^3 - 3x^2 - 36x + 7) \]
\[ = 9x^2 - 6x - 36 \]
Step 2: Find the critical points.
Set \( f'(x) = 0 \):
\[ 9x^2 - 6x - 36 = 0 \]
Dividing by 3:
\[ 3x^2 - 2x - 12 = 0 \]
Solving for \( x \):
\[ x = \frac{-(-2) \pm \sqrt{(-2)^2 - 4(3)(-12)}}{2(3)} \]
\[ x = \frac{2 \pm \sqrt{4 + 144}}{6} = \frac{2 \pm \sqrt{148}}{6} = \frac{2 \pm 2\sqrt{37}}{6} = \frac{1 \pm \sqrt{37}}{3} \]
Step 3: Find increasing interval.
Using the sign test on \( f'(x) \), the function is increasing in:
\[ \left( \frac{1 - \sqrt{37}}{3}, \frac{1 + \sqrt{37}}{3} \right) \] Quick Tip: A function is increasing where \( f'(x) > 0 \). Solve \( f'(x) = 0 \) to find critical points and check intervals.
(b) Find the value of \( \int_{-\pi/2}^{\pi/2} \sin^2 x \,dx \).
View Solution
Step 1: Use the trigonometric identity.
\[ \sin^2 x = \frac{1 - \cos 2x}{2} \]
Step 2: Rewrite the integral.
\[ I = \int_{-\pi/2}^{\pi/2} \frac{1 - \cos 2x}{2} \,dx \]
\[ = \frac{1}{2} \int_{-\pi/2}^{\pi/2} 1 \,dx - \frac{1}{2} \int_{-\pi/2}^{\pi/2} \cos 2x \,dx \]
Step 3: Solve each integral.
\[ \int_{-\pi/2}^{\pi/2} 1 \,dx = \pi \]
\[ \int_{-\pi/2}^{\pi/2} \cos 2x \,dx = 0 \]
Thus,
\[ I = \frac{\pi}{2} \] Quick Tip: Use the identity \( \sin^2 x = \frac{1 - \cos 2x}{2} \) to simplify integrals. The integral of \( \cos 2x \) over symmetric limits cancels out.
(c) If \( R_1 \) and \( R_2 \) be two equivalence relations in a set \( A \), then prove that \( R_1 \cap R_2 \) is also an equivalence relation in \( A \).
View Solution
Step 1: Check reflexivity.
Since \( R_1 \) and \( R_2 \) are equivalence relations, they are reflexive. Thus, for all \( a \in A \),
\[ (a, a) \in R_1 \quad and \quad (a, a) \in R_2 \]
which implies \( (a, a) \in R_1 \cap R_2 \), so \( R_1 \cap R_2 \) is reflexive.
Step 2: Check symmetry.
Since \( R_1 \) and \( R_2 \) are symmetric, for any \( (a, b) \in R_1 \cap R_2 \), we have:
\[ (a, b) \in R_1 \Rightarrow (b, a) \in R_1, \quad (a, b) \in R_2 \Rightarrow (b, a) \in R_2 \]
Thus, \( (b, a) \in R_1 \cap R_2 \), proving symmetry.
Step 3: Check transitivity.
Since \( R_1 \) and \( R_2 \) are transitive, for \( (a, b), (b, c) \in R_1 \cap R_2 \),
\[ (a, c) \in R_1 \quad and \quad (a, c) \in R_2 \]
which implies \( (a, c) \in R_1 \cap R_2 \), proving transitivity.
Thus, \( R_1 \cap R_2 \) is an equivalence relation. Quick Tip: The intersection of two equivalence relations preserves reflexivity, symmetry, and transitivity.
(d) If \( \vec{a} \), \( \vec{b} \), and \( \vec{c} \) are vectors and \( \vec{a} + \vec{b} + \vec{c} = 0 \), then find the value of
\[ \vec{a} \cdot \vec{b} + \vec{b} \cdot \vec{c} + \vec{c} \cdot \vec{a}. \]
View Solution
Step 1: Expand the square of the given equation.
\[ (\vec{a} + \vec{b} + \vec{c}) \cdot (\vec{a} + \vec{b} + \vec{c}) = 0 \]
Step 2: Expand the dot product.
\[ \vec{a} \cdot \vec{a} + \vec{b} \cdot \vec{b} + \vec{c} \cdot \vec{c} + 2(\vec{a} \cdot \vec{b} + \vec{b} \cdot \vec{c} + \vec{c} \cdot \vec{a}) = 0 \]
Step 3: Solve for required expression.
\[ \vec{a} \cdot \vec{b} + \vec{b} \cdot \vec{c} + \vec{c} \cdot \vec{a} = -\frac{1}{2} (\vec{a} \cdot \vec{a} + \vec{b} \cdot \vec{b} + \vec{c} \cdot \vec{c}) \] Quick Tip: For three vectors summing to zero, the identity \( \sum (\vec{a} \cdot \vec{b}) = -\frac{1}{2} \sum |\vec{a}|^2 \) holds.
(a) Find the area of the part inscribed by the curve \( \frac{x^2}{25} + \frac{y^2}{9} = 1 \).
View Solution
Step 1: Identify the curve.
The given equation represents an ellipse with:
\[ a^2 = 25, \quad b^2 = 9 \Rightarrow a = 5, \quad b = 3 \]
Step 2: Compute the area of the ellipse.
\[ A = \pi a b = \pi (5)(3) = 15\pi \]
Thus, the required area is \( 15\pi \). Quick Tip: The area of an ellipse with equation \( \frac{x^2}{a^2} + \frac{y^2}{b^2} = 1 \) is given by \( A = \pi a b \).
(b) Find two numbers such that their sum is 6 and the sum of their cubes is minimum.
View Solution
Step 1: Define variables.
Let the numbers be \( x \) and \( y \). Given:
\[ x + y = 6 \]
Step 2: Express the function to minimize.
\[ S = x^3 + y^3 \]
Using \( y = 6 - x \):
\[ S = x^3 + (6 - x)^3 \]
Step 3: Differentiate to find critical points.
\[ \frac{dS}{dx} = 3x^2 - 3(6-x)^2 \]
Setting \( \frac{dS}{dx} = 0 \):
\[ 3x^2 - 3(36 - 12x + x^2) = 0 \]
\[ 3x^2 - 108 + 36x - 3x^2 = 0 \]
\[ 36x = 108 \]
\[ x = 3, \quad y = 3 \]
Step 4: Confirm minimum value.
Since \( S''(x) > 0 \), the sum of cubes is minimized at \( x = y = 3 \). Quick Tip: To minimize \( x^3 + y^3 \) given \( x + y = c \), set \( x = y \).
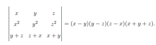
(c) Prove that

View Solution
Expanding along the first row:

Applying elementary row operations and simplifying, the determinant evaluates to:
\[ (x - y)(y - z)(z - x)(x + y + z). \]
Thus, the identity is proved. Quick Tip: Use row transformations to simplify determinants before expansion.
(d) Find the minimum and maximum value of L.P.P \( z = 3x + 8y \) by graphical method under the following constraints:
\[ x + 3y \leq 60, \quad x + y \geq 20, \quad x \leq y, \quad x \geq 0, \quad y \geq 0 \]
View Solution
Step 1: Identify corner points from constraints.
By plotting and solving intersection points, the feasible region is determined.
Step 2: Compute objective function at vertices.
Evaluate \( z = 3x + 8y \) at each corner point.
Step 3: Identify minimum and maximum values.
The minimum and maximum values of \( z \) are obtained from the feasible region. Quick Tip: Graphical solutions require identifying feasible region and evaluating the objective function at extreme points.
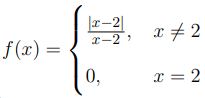
(e) If
is defined, then check its continuity and differentiability at \( x = 2 \).
View Solution
Step 1: Check continuity at \( x = 2 \).
\[ \lim_{x \to 2^-} f(x) = -1, \quad \lim_{x \to 2^+} f(x) = 1, \quad f(2) = 0 \]
Since \( \lim_{x \to 2^-} f(x) \neq \lim_{x \to 2^+} f(x) \), \( f(x) \) is **not continuous at** \( x = 2 \).
Step 2: Check differentiability.
Since \( f(x) \) is not continuous at \( x = 2 \), it is **not differentiable** at \( x = 2 \). Quick Tip: A function must be continuous to be differentiable. If left-hand and right-hand limits do not match, it is not continuous.
(a) Solve the differential equation \( (x + 3y^2) \frac{dy}{dx} = y \).
View Solution
Step 1: Rewrite the equation in separable form.
\[ \frac{dy}{dx} = \frac{y}{x + 3y^2} \]
Separating variables:
\[ \frac{x + 3y^2}{y} dy = dx \]
Step 2: Integrate both sides.
\[ \int \left( \frac{x}{y} + 3y \right) dy = \int dx \]
Solving the integrals,
\[ x \ln |y| + \frac{3y^2}{2} = x + C \]
This is the general solution. Quick Tip: To solve separable differential equations, express in the form \( \frac{dy}{dx} = f(x) g(y) \) and integrate both sides separately.
(b) There are 500 students in a school in which 230 are boys. It is known that 20% of boys are studying in class XII. Find the probability that a randomly chosen student is a boy and is of class XII.
View Solution
Step 1: Compute the number of boys in class XII.
\[ Boys in Class XII = 20% \times 230 = \frac{20}{100} \times 230 = 46 \]
Step 2: Compute probability.
\[ P(Boy and in Class XII) = \frac{46}{500} = 0.092 \] Quick Tip: Probability of an event is given by \( P(E) = \frac{Favorable Outcomes}{Total Outcomes} \).
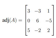
(c) If \( A = \)
, then prove that \( A \cdot adj(A) = |A| I \).
View Solution
Step 1: Compute determinant of \( A \).
Expanding along the first row:

\[ = 1 (16 - 9) - 3 (4 - 3) + 3 (3 - 4) \]
\[ = 7 - 3 - 3 = 1 \]
Step 2: Verify the property.
Since \( A \cdot adj(A) = |A| I \), and \( |A| = 1 \), we conclude:
\[ A \cdot adj(A) = I \] Quick Tip: For any square matrix \( A \), the property \( A \cdot adj(A) = |A| I \) always holds.
(d) Prove that a relation \( R \) on \( N \times N \) defined as \( (a, b) R (c, d) \iff ad = bc \) is an equivalence relation.
View Solution
Step 1: Check reflexivity.
For any \( (a, b) \),
\[ ab = ba \Rightarrow (a, b) R (a, b) \]
Thus, \( R \) is reflexive.
Step 2: Check symmetry.
If \( (a, b) R (c, d) \), then \( ad = bc \) implies \( cb = da \), so \( (c, d) R (a, b) \).
Thus, \( R \) is symmetric.
Step 3: Check transitivity.
If \( (a, b) R (c, d) \) and \( (c, d) R (e, f) \), then
\[ ad = bc, \quad cf = de \]
Multiplying,
\[ (ad)(cf) = (bc)(de) \]
\[ af = bf \Rightarrow (a, b) R (e, f) \]
Thus, \( R \) is transitive, proving that \( R \) is an equivalence relation. Quick Tip: To prove a relation is an equivalence relation, verify reflexivity, symmetry, and transitivity.
(e) Find the shortest distance between the lines
\[ \vec{r_1} = \hat{i} + 2\hat{j} - 4\hat{k} + \lambda(2\hat{i} + 3\hat{j} + 6\hat{k}) \]
\[ \vec{r_2} = 3\hat{i} + 3\hat{j} - 5\hat{k} + \mu(2\hat{i} + 3\hat{j} + 6\hat{k}). \]
View Solution
Step 1: Identify direction vectors.
Both lines have the same direction vector:
\[ \vec{d} = 2\hat{i} + 3\hat{j} + 6\hat{k} \]
Since they are parallel, the shortest distance is given by:
\[ D = \frac{|(\vec{r_2} - \vec{r_1}) \cdot (\vec{d} \times \vec{d})|}{|\vec{d} \times \vec{d}|} \]
Since \( \vec{d} \times \vec{d} = 0 \), the lines are coincident, and the shortest distance is **zero**. Quick Tip: If two lines are parallel and have the same direction vector, their shortest distance is zero if they are coincident.
(a) Solve the system of linear equations by matrix method:
\[ - x + 3y - 2z &= 3 \]
\[ 3x + 2y + 3z &= 5 \]
\[ -2x + y + z &= -4 \]
View Solution
Step 1: Express the system as \( AX = B \).

Step 2: Compute \( A^{-1} \).
Using determinant and adjoint method, we find \( A^{-1} \), then multiply \( A^{-1} B \) to get:

Quick Tip: To solve a system using matrices, use \( X = A^{-1} B \), where \( A \) is the coefficient matrix.
(b) Find \( A^{-1} \), if the matrix
.
View Solution
Step 1: Compute determinant of \( A \).
The determinant of a \( 3 \times 3 \) matrix

is given by:
\[ |A| = a(ei - fh) - b(di - fg) + c(dh - eg) \]
Applying this formula to \( A \):

Computing minors:

Since \( |A| \neq 0 \), the matrix \( A \) is invertible.
Step 2: Compute adjoint of \( A \).
The adjoint of \( A \), denoted as \( adj(A) \), is the transpose of the cofactor matrix. The cofactor matrix is given by:

Computing determinants:

Taking the transpose:

Step 3: Compute \( A^{-1} \).

Thus,

Quick Tip: To find \( A^{-1} \), compute \( |A| \), find the cofactor matrix, transpose it to get the adjoint, and divide by \( |A| \).
(a)(i) Find the value of
\[ \int_{0}^{\pi/2} \sqrt{\frac{\tan x}{\tan x + \cot x}} \,dx. \]
View Solution
Step 1: Define the integral.
\[ I = \int_{0}^{\pi/2} \sqrt{\frac{\tan x}{\tan x + \cot x}} \,dx. \]
Step 2: Apply transformation \( x \to \frac{\pi}{2} - x \).
Using the property:
\[ I = \int_{0}^{\pi/2} f(\pi/2 - x) \,dx \]
Substituting \( \tan(\pi/2 - x) = \cot x \):
\[ I = \int_{0}^{\pi/2} \sqrt{\frac{\cot x}{\cot x + \tan x}} \,dx. \]
Adding both integrals:
\[ 2I = \int_{0}^{\pi/2} \left( \sqrt{\frac{\tan x}{\tan x + \cot x}} + \sqrt{\frac{\cot x}{\tan x + \cot x}} \right) dx. \]
Step 3: Simplify the expression.
Since,
\[ \sqrt{\frac{\tan x}{\tan x + \cot x}} + \sqrt{\frac{\cot x}{\tan x + \cot x}} = 1, \]
we obtain:
\[ 2I = \int_{0}^{\pi/2} dx = \frac{\pi}{2}. \]
Step 4: Solve for \( I \).
\[ I = \frac{\pi}{4}. \] Quick Tip: For symmetric definite integrals, use the transformation \( I = \int_{0}^{a} f(x) dx \) and \( I = \int_{0}^{a} f(a - x) dx \) to simplify evaluation.
(a)(ii) Prove:
\[ \int_{0}^{\pi/4} \log(1 + \tan x) \,dx = \frac{\pi}{8} \log 2. \]
View Solution
Step 1: Define the integral.
\[ I = \int_{0}^{\pi/4} \log(1 + \tan x) \,dx. \]
Step 2: Use transformation \( x \to \frac{\pi}{4} - x \).
Substituting in the integral:
\[ I = \int_{0}^{\pi/4} \log(1 + \tan(\frac{\pi}{4} - x)) \,dx. \]
Using the identity:
\[ \tan (\frac{\pi}{4} - x) = \frac{1 - \tan x}{1 + \tan x} \]
Step 3: Rewrite the transformed integral.
\[ I = \int_{0}^{\pi/4} \log(1 + \frac{1 - \tan x}{1 + \tan x}) \,dx. \]
\[ = \int_{0}^{\pi/4} \log\left(\frac{2}{1 + \tan x}\right) \,dx. \]
Step 4: Split the logarithm.
\[ I = \int_{0}^{\pi/4} \left[ \log 2 - \log(1 + \tan x) \right] dx. \]
Step 5: Add original integral.
\[ 2I = \int_{0}^{\pi/4} \log 2 \,dx. \]
Since \( \log 2 \) is constant,
\[ 2I = \log 2 \cdot \frac{\pi}{4} = \frac{\pi}{4} \log 2. \]
Step 6: Solve for \( I \).
\[ I = \frac{\pi}{8} \log 2. \]
Thus, the given integral is proved. Quick Tip: For integrals involving logarithmic expressions, use transformations like \( x \to a - x \) and trigonometric identities to simplify the evaluation.
(b) Find the value of
\[ \int_{0}^{\pi} \frac{x \sin x}{1 + \cos^2 x} \,dx. \]
View Solution
Step 1: Define the integral.
\[ I = \int_{0}^{\pi} \frac{x \sin x}{1 + \cos^2 x} \,dx. \]
Step 2: Use transformation \( x \to \pi - x \).
Using the property:
\[ I = \int_{0}^{\pi} f(\pi - x) \,dx. \]
Substituting,
\[ f(\pi - x) = \frac{(\pi - x) \sin (\pi - x)}{1 + \cos^2 (\pi - x)}. \]
Since \( \sin (\pi - x) = \sin x \) and \( \cos (\pi - x) = -\cos x \),
\[ I = \int_{0}^{\pi} \frac{(\pi - x) \sin x}{1 + \cos^2 x} \,dx. \]
Step 3: Add the transformed integral.
\[ 2I = \int_{0}^{\pi} \frac{x \sin x + (\pi - x) \sin x}{1 + \cos^2 x} \,dx. \]
\[ = \int_{0}^{\pi} \frac{\pi \sin x}{1 + \cos^2 x} \,dx. \]
Step 4: Factor out \( \pi \).
\[ 2I = \pi \int_{0}^{\pi} \frac{\sin x}{1 + \cos^2 x} \,dx. \]
Using substitution \( t = \cos x \),
\[ dt = -\sin x \,dx. \]
Thus,
\[ \int_{0}^{\pi} \frac{\sin x}{1 + \cos^2 x} dx = \int_{1}^{-1} \frac{-dt}{1 + t^2}. \]
Since the integral is symmetric,
\[ \int_{-1}^{1} \frac{dt}{1 + t^2} = \tan^{-1} 1 - \tan^{-1} (-1) = \frac{\pi}{2}. \]
Step 5: Solve for \( I \).
\[ 2I = \pi \cdot \frac{\pi}{2} = \frac{\pi^2}{2}. \]
\[ I = \frac{\pi}{2}. \]
Thus,
\[ \int_{0}^{\pi} \frac{x \sin x}{1 + \cos^2 x} \,dx = \frac{\pi}{2}. \] Quick Tip: For definite integrals with symmetric limits, use transformations \( x \to a - x \) and trigonometric substitutions for simplifications.
(a)(i) Solve the differential equation \( (1 + y^2) dx = (\tan^{-1} y - x) dy \).
View Solution
Step 1: Rewrite the equation in differential form.
\[ \frac{dx}{dy} = \frac{\tan^{-1} y - x}{1 + y^2} \]
This is a linear differential equation of the form:
\[ \frac{dx}{dy} + P(y) x = Q(y) \]
where
\[ P(y) = \frac{1}{1 + y^2}, \quad Q(y) = \frac{\tan^{-1} y}{1 + y^2} \]
Step 2: Find the integrating factor (IF).
\[ \mu(y) = e^{\int P(y) dy} = e^{\int \frac{1}{1 + y^2} dy} = e^{\tan^{-1} y} \]
Step 3: Solve for \( x \).
Multiplying the equation by \( \mu(y) \):
\[ e^{\tan^{-1} y} x = \int e^{\tan^{-1} y} \cdot \frac{\tan^{-1} y}{1 + y^2} dy \]
Using integration techniques,
\[ x = C e^{-\tan^{-1} y} + \tan^{-1} y \]
This is the general solution. Quick Tip: To solve linear differential equations of the form \( \frac{dx}{dy} + P(y)x = Q(y) \), use the integrating factor \( \mu(y) = e^{\int P(y) dy} \).
(a) (ii) If \( \cos y = x \cos (a + y) \) and \( \cos a \neq \pm 1 \), then prove that
\[ \frac{dy}{dx} = \frac{\cos^2 (a + y)}{\sin a}. \]
View Solution
Step 1: Differentiate both sides with respect to \( x \).
\[ \frac{d}{dx} (\cos y) = \frac{d}{dx} (x \cos (a + y)) \]
Using the chain rule:
\[ -\sin y \frac{dy}{dx} = \cos (a + y) + x (-\sin (a + y) \frac{dy}{dx}) \]
Step 2: Solve for \( \frac{dy}{dx} \).
\[ -\sin y \frac{dy}{dx} + x \sin (a + y) \frac{dy}{dx} = \cos (a + y) \]
Rewriting:
\[ \frac{dy}{dx} (\sin (a + y) x - \sin y) = \cos (a + y) \]
Using the identity \( \sin y = \sin (a + y) \sin a \),
\[ \frac{dy}{dx} = \frac{\cos^2 (a + y)}{\sin a} \]
Thus, the required result is proved. Quick Tip: Use chain rule and trigonometric identities to differentiate composite trigonometric functions.
(b) If \( y = (\sin x)^{\tan x} \), then find \( \frac{dy}{dx} \).
View Solution
Step 1: Take logarithm on both sides.
\[ \ln y = \tan x \ln (\sin x) \]
Step 2: Differentiate both sides.
Using the product rule:
\[ \frac{1}{y} \frac{dy}{dx} = \sec^2 x \ln (\sin x) + \tan x \frac{\cos x}{\sin x} \]
\[ \frac{dy}{dx} = y \left( \sec^2 x \ln (\sin x) + \frac{\tan x}{\sin x} \cos x \right) \]
Step 3: Substitute \( y = (\sin x)^{\tan x} \).
\[ \frac{dy}{dx} = (\sin x)^{\tan x} \left( \sec^2 x \ln (\sin x) + \frac{\tan x}{\sin x} \cos x \right) \]
Thus, the derivative is obtained. Quick Tip: For functions in the form \( y = f(x)^{g(x)} \), take logarithm and then differentiate using implicit differentiation.







Comments