UP Board Class 12 Mathematics Question Paper 2024 PDF (Code 324 EZ) is available for download here. The Mathematics exam was conducted on February 29, 2024 in the Evening Shift from 2 PM to 5:15 PM. The total marks for the theory paper are 100. Students reported the paper to be easy to moderate.
UP Board Class 12 Mathematics Question Paper 2024 (Code 324 EZ) with Solutions
| UP Board Class Mathematics Question Paper with Answer Key | Check Solution |
UP Board Class 12 Mathematics Questions with Solution
Question 1:
(a) In the set of real numbers, the relation \( R \) defined by \( R = \{(a, b) : a \leq b^2 \} \) is:
View Solution
Step 1: Check if the relation is reflexive:
For reflexivity, \( a \leq a^2 \) must hold for all real numbers. This does not hold for all values of \( a \) (e.g., for \( a = -1 \), \( -1 \leq (-1)^2 \) is false), so the relation is not reflexive.
Step 2: Check if the relation is symmetric:
The relation is not symmetric because if \( a \leq b^2 \), it does not imply that \( b \leq a^2 \) in general. For example, if \( a = 2 \) and \( b = 1 \), then \( 2 \leq 1^2 \) holds, but \( 1 \leq 2^2 \) does not hold.
Step 3: Check if the relation is transitive:
The relation is transitive. If \( a \leq b^2 \) and \( b \leq c^2 \), then we can prove \( a \leq c^2 \) holds.
Therefore, the correct answer is (A) not reflexive and symmetric, but transitive. Quick Tip: When analyzing relations, carefully examine reflexivity, symmetry, and transitivity using the definitions provided to determine the correct classification.
(b) If \( A = \{1, 2, 3\}, B = \{a, b\} \), then the number of functions from A to B will be:
View Solution
Step 1: Determine the number of elements in sets \( A \) and \( B \).
The set \( A \) has 3 elements, and set \( B \) has 2 elements. The number of functions from set \( A \) to set \( B \) is given by the formula \( |B|^{|A|} \), where \( |A| \) and \( |B| \) represent the number of elements in sets \( A \) and \( B \), respectively.
Step 2: Apply the formula.
Substituting the values \( |A| = 3 \) and \( |B| = 2 \), we get: \[ 2^3 = 8 \]
Step 3: Conclusion.
Thus, the total number of functions is \( 8 \), which is the correct answer. Quick Tip: To find the number of functions from set \( A \) to set \( B \), use the formula \( |B|^{|A|} \), where \( |A| \) and \( |B| \) are the number of elements in sets \( A \) and \( B \), respectively.
(c) For which value of \( \lambda \) are the vectors \( \lambda \hat{i} + \hat{j} + \hat{k} \) and \( \hat{i} - 4\hat{j} + 2\hat{k} \) perpendicular?
View Solution
Step 1: Use the condition for perpendicular vectors.
Two vectors are perpendicular if their dot product is zero. The dot product of the vectors \( \lambda \hat{i} + \hat{j} + \hat{k} \) and \( \hat{i} - 4\hat{j} + 2\hat{k} \) is given by: \[ (\lambda \hat{i} + \hat{j} + \hat{k}) \cdot (\hat{i} - 4\hat{j} + 2\hat{k}) \]
Step 2: Calculate the dot product. \[ = \lambda(1) + (1)(-4) + (1)(2) = \lambda - 4 + 2 = \lambda - 2 \]
Step 3: Set the dot product equal to zero for perpendicular vectors.
For the vectors to be perpendicular, the dot product must be zero: \[ \lambda - 2 = 0 \quad \Rightarrow \quad \lambda = 2 \]
Thus, the correct value of \( \lambda \) is \( 2 \), and the correct answer is (B) 2. Quick Tip: To determine if two vectors are perpendicular, calculate their dot product. If the dot product equals zero, the vectors are perpendicular.
(d) The value of the integral \( \int x e^{-x} \, dx \) is:
View Solution
Step 1: We apply integration by parts. Let:
- \( u = x \), so \( du = dx \)
- \( dv = e^{-x} dx \), so \( v = -e^{-x} \)
Step 2: Using the integration by parts formula: \[ \int u \, dv = uv - \int v \, du \]
Substitute the values: \[ \int x e^{-x} \, dx = -x e^{-x} - \int -e^{-x} \, dx \]
Step 3: Simplifying the remaining integral: \[ = -x e^{-x} + e^{-x} \]
Step 4: Factor the result: \[ = -(x + 1) e^{-x} \]
Thus, the correct answer is (A) \( -(x + 1) e^{-x} \). Quick Tip: When solving integrals using integration by parts, choose \( u \) and \( dv \) such that the resulting integral is simpler to solve.
(e) The order of the differential equation \( \left( \frac{d^3 y}{dx^3} \right)^2 + x \left( \frac{dy}{dx} \right)^3 + 8y = \log x \) is:
View Solution
Step 1: Identify the highest derivative term in the equation.
The equation contains the third derivative \( \frac{d^3 y}{dx^3} \) and the first derivative \( \frac{dy}{dx} \).
Step 2: Since the highest order derivative is \( \frac{d^3 y}{dx^3} \), the order of the differential equation is determined by this term.
Step 3: Conclusion.
The order of the differential equation is \( 3 \).
Thus, the correct answer is (B) 3. Quick Tip: The order of a differential equation is determined by the highest derivative of the dependent variable in the equation.
(a) Find the principal value of \( cosec^{-1} \left( -\sqrt{2} \right) \).
View Solution
Step 1: Recall that \( cosec^{-1}(x) \) is the inverse of the cosec function, which gives the angle whose cosec is \( x \). In this case, we need to find the angle whose cosec is \( -\sqrt{2} \).
Step 2: \( cosec \theta = -\sqrt{2} \), so \( \sin \theta = -\frac{1}{\sqrt{2}} \). The angle \( \theta \) whose sine is \( -\frac{1}{\sqrt{2}} \) is \( \theta = \frac{3\pi}{4} \).
Step 3: Therefore, the principal value of \( cosec^{-1} \left( -\sqrt{2} \right) \) is \( \frac{3\pi}{4} \). Quick Tip: To find the principal value of inverse trigonometric functions, consider the principal range of the function. For \( \csc^{-1}(x) \), the range is \( [0, \pi] \).
(b) Find the differential coefficient of \( \cos(\sin x^2) \) with respect to \( x \).
View Solution
Step 1: Use the chain rule for differentiation. Let \( u = \sin x^2 \), so that \( \cos(\sin x^2) = \cos(u) \).
Step 2: Differentiate \( \cos(u) \) with respect to \( u \): \[ \frac{d}{du} \cos(u) = -\sin(u) \]
Thus, the derivative of \( \cos(\sin x^2) \) is \( -\sin(\sin x^2) \).
Step 3: Now, differentiate \( \sin x^2 \) with respect to \( x \) using the chain rule: \[ \frac{d}{dx} \sin x^2 = 2x \cos x^2 \]
Step 4: Multiply the results from the previous steps: \[ \frac{d}{dx} \cos(\sin x^2) = -2x \sin(2x^2) \cos(\sin x^2) \] Quick Tip: When differentiating composite functions, use the chain rule. Don't forget to apply the chain rule repeatedly when necessary.
(c) Solve: \( \frac{dy}{dx} = -4xy^2 \).
View Solution
Step 1: Separate the variables: \[ \frac{dy}{y^2} = -4x \, dx \]
Step 2: Integrate both sides: \[ \int \frac{1}{y^2} \, dy = \int -4x \, dx \]
The integral of \( \frac{1}{y^2} \) is \( -\frac{1}{y} \), and the integral of \( -4x \) is \( -2x^2 \).
Step 3: After integration, we get: \[ -\frac{1}{y} = -2x^2 + C \]
Step 4: Solve for \( y \): \[ y = \frac{1}{x^2 + C} \] Quick Tip: When solving differential equations, always try to separate variables to simplify the equation before integrating.
(d) Integrate \( \log_e x \) with respect to \( x \).
View Solution
Step 1: Use integration by parts. Let:
- \( u = \log_e x \), so \( du = \frac{1}{x} \, dx \)
- \( dv = dx \), so \( v = x \)
Step 2: Apply the integration by parts formula: \[ \int u \, dv = uv - \int v \, du \]
Substitute the values: \[ \int \log_e x \, dx = x \log_e x - \int x \cdot \frac{1}{x} \, dx \]
Step 3: Simplify: \[ = x \log_e x - \int 1 \, dx = x \log_e x - x \] Quick Tip: When integrating \( \log_e x \), use integration by parts with \( u = \log_e x \) and \( dv = dx \).
(e) If \( 2P(A) = P(B) = \frac{5}{13} \) and \( P(A | B) = \frac{3}{10} \), find \( P(A \cup B) \).
View Solution
Step 1: Use the formula for the union of two events: \[ P(A \cup B) = P(A) + P(B) - P(A \cap B) \]
Step 2: We are given \( P(A) = \frac{5}{13} \), \( P(B) = \frac{5}{13} \), and \( P(A | B) = \frac{3}{10} \). The probability \( P(A \cap B) \) is given by: \[ P(A \cap B) = P(A | B) \times P(B) = \frac{3}{10} \times \frac{5}{13} = \frac{15}{130} = \frac{3}{26} \]
Step 3: Substitute the values into the formula for the union: \[ P(A \cup B) = \frac{5}{13} + \frac{5}{13} - \frac{3}{26} = \frac{10}{13} - \frac{3}{26} = \frac{20}{26} - \frac{3}{26} = \frac{17}{26} \] Quick Tip: To find \( P(A \cup B) \), use the formula \( P(A \cup B) = P(A) + P(B) - P(A \cap B) \), and remember that \( P(A \cap B) = P(A | B) \times P(B) \).
(a) Find matrix \( AB \) if

View Solution
Step 1: Matrix multiplication formula for \( AB \) is:

Step 2: Perform matrix multiplication for each element:
- First row first column: \( (-1)(2) + (2)(6) + (3)(5) = -2 + 12 + 15 = 25 \)
- First row second column: \( (-1)(1) + (2)(7) + (3)(3) = -1 + 14 + 9 = 22 \)
- Second row first column: \( (4)(2) + (-2)(6) + (5)(5) = 8 - 12 + 25 = 21 \)
- Second row second column: \( (4)(1) + (-2)(7) + (5)(3) = 4 - 14 + 15 = 5 \)
Thus, the resulting matrix \( AB \) is:

Quick Tip: When multiplying matrices, ensure the number of columns in the first matrix matches the number of rows in the second matrix.
(b) Is the function \( f(x) \) defined by

continuous at \( x = 1 \)?
View Solution
Step 1: To determine continuity at \( x = 1 \), we check if the left-hand limit, right-hand limit, and the function value at \( x = 1 \) are equal.
Step 2: The left-hand limit as \( x \to 1^- \) is: \[ \lim_{x \to 1^-} f(x) = 1 + 5 = 6 \]
Step 3: The right-hand limit as \( x \to 1^+ \) is: \[ \lim_{x \to 1^+} f(x) = 1 - 5 = -4 \]
Step 4: Since the left-hand limit and the right-hand limit are not equal, the function is not continuous at \( x = 1 \). Quick Tip: To check for continuity at a point, ensure that the left-hand and right-hand limits as \( x \) approaches the point are equal to the function's value at that point.
(c) Evaluate: \( \int \frac{1}{\sqrt{a^2 - x^2}} \, dx \).
View Solution
Step 1: Recognize the standard form of the integral.
The integral \( \int \frac{1}{\sqrt{a^2 - x^2}} \, dx \) is a standard integral that is equal to \( \sin^{-1} \left( \frac{x}{a} \right) \).
Step 2: Use the known result: \[ \int \frac{1}{\sqrt{a^2 - x^2}} \, dx = \sin^{-1} \left( \frac{x}{a} \right) \] Quick Tip: The integral \( \int \frac{1}{\sqrt{a^2 - x^2}} \, dx \) is a standard result and evaluates to \( \sin^{-1} \left( \frac{x}{a} \right) \).
(d) Find the area of the parallelogram whose adjacent sides are represented by the vectors \( \vec{a} = 3\hat{i} + \hat{j} + 2\hat{k} \) and \( \vec{b} = \hat{i} + 2\hat{j} - 2\hat{k} \).
View Solution
Step 1: The area of the parallelogram is given by the magnitude of the cross product of the vectors \( \vec{a} \) and \( \vec{b} \): \[ Area = |\vec{a} \times \vec{b}| \]
Step 2: Compute the cross product \( \vec{a} \times \vec{b} \):

Step 3: Expand the determinant:

\[ = \hat{i} (-2 - 4) - \hat{j} (-6 - 2) + \hat{k} (6 - 1) \]
\[ = -6 \hat{i} + 8 \hat{j} + 5 \hat{k} \]
Step 4: Find the magnitude of the cross product: \[ |\vec{a} \times \vec{b}| = \sqrt{(-6)^2 + 8^2 + 5^2} = \sqrt{36 + 64 + 25} = \sqrt{125} = 10 \] Quick Tip: The area of a parallelogram can be found by calculating the magnitude of the cross product of the vectors representing its adjacent sides.
(a) A relation \( R \) is defined in \( \mathbb{N} \times \mathbb{N} \) as follows: \[ (a, b) \, R \, (c, d) if and only if ad = bc. \]
Prove that \( R \) is an equivalence relation.
View Solution
Step 1: Reflexivity: For reflexivity, we need \( (a, b) \, R \, (a, b) \), i.e., \( ad = bc \). Clearly, \( a \cdot b = b \cdot a \), so \( R \) is reflexive.
Step 2: Symmetry: For symmetry, we need that if \( (a, b) \, R \, (c, d) \), i.e., \( ad = bc \), then \( (c, d) \, R \, (a, b) \). Since \( ad = bc \), we have \( bc = ad \), thus symmetry holds.
Step 3: Transitivity: For transitivity, if \( (a, b) \, R \, (c, d) \) and \( (c, d) \, R \, (e, f) \), then we need \( (a, b) \, R \, (e, f) \). From \( ad = bc \) and \( cf = de \), we get \( ad \cdot cf = bc \cdot de \), confirming that transitivity holds. Quick Tip: To prove a relation is an equivalence relation, verify that it is reflexive, symmetric, and transitive.
(b) Find the least value of ‘a’ for which the function \( f(x) = x^2 + ax + 1 \) is increasing on the interval \( [1, 2] \).
View Solution
Step 1: For the function \( f(x) = x^2 + ax + 1 \) to be increasing, its derivative must be positive on the interval \( [1, 2] \).
Step 2: Compute the derivative: \[ f'(x) = 2x + a \]
Step 3: For the function to be increasing, we need \( f'(x) > 0 \). Thus: \[ 2x + a > 0 \]
For \( x = 1 \), we get: \[ 2(1) + a > 0 \quad \Rightarrow \quad a > -2 \]
Step 4: Since \( a > -2 \) satisfies the condition for increasing on the interval \( [1, 2] \), the least value of \( a \) is \( a = -2 \). Quick Tip: For a function to be increasing, its derivative must be positive. Find the value of \( a \) that satisfies this condition on the given interval.
(c) Solve the differential equation \( \frac{dy}{dx} + y = 1 \) (\( y \neq 1 \)).
View Solution
Step 1: Rearrange the equation: \[ \frac{dy}{dx} = 1 - y \]
Step 2: Separate variables: \[ \frac{dy}{1 - y} = dx \]
Step 3: Integrate both sides: \[ \int \frac{dy}{1 - y} = \int dx \]
The left-hand side is \( -\ln|1 - y| \), and the right-hand side is \( x + C \).
Step 4: Solve for \( y \): \[ -\ln|1 - y| = x + C \quad \Rightarrow \quad |1 - y| = e^{-(x + C)} = Ae^{-x} \]
Thus: \[ 1 - y = Ce^{-x} \] \[ y = Ce^{-x} + 1 \] Quick Tip: When solving linear first-order differential equations, separate variables, integrate, and then solve for the dependent variable.
(d) A die is thrown once. If \( E \) represents the event ‘the number obtained on the die is a multiple of 3’ and \( F \) represents the event ‘the number obtained on the die is even’, then tell whether the events \( E \) and \( F \) are independent.
View Solution
Step 1: We calculate \( P(E) \), \( P(F) \), and \( P(E \cap F) \):
- \( E = \{3, 6\} \), so \( P(E) = \frac{2}{6} = \frac{1}{3} \)
- \( F = \{2, 4, 6\} \), so \( P(F) = \frac{3}{6} = \frac{1}{2} \)
- \( E \cap F = \{6\} \), so \( P(E \cap F) = \frac{1}{6} \)
Step 2: Check if the events are independent:
For independent events, \( P(E \cap F) = P(E) \cdot P(F) \). \[ P(E) \cdot P(F) = \frac{1}{3} \times \frac{1}{2} = \frac{1}{6} \]
Since \( P(E \cap F) = \frac{1}{6} \), the events \( E \) and \( F \) are independent. Quick Tip: To check if two events are independent, verify if \( P(E \cap F) = P(E) \cdot P(F) \). If it holds, the events are independent.
(a) If \( x, y, z \) are all different and

View Solution
Step 1: Expand the determinant: \[ \Delta = x^2 \begin{vmatrix} y^3+1 & z^3+1 \end{vmatrix} - x^3 \begin{vmatrix} y^2 & z^2 \end{vmatrix} \]
Step 2: Calculate the 2x2 determinants: \[ \begin{vmatrix} y^3+1 & z^3+1 \end{vmatrix} = (y^3+1)(z^2) - (z^3+1)(y^2) = y^3z^2 + z^2 - z^3y^2 - y^2 \]
Step 3: Substitute the results back: \[ \Delta = x^2 (y^3z^2 + z^2 - z^3y^2 - y^2) - x^3 (y^2z^2 - z^2y^2) \]
Step 4: Now, set the determinant equal to zero and simplify. After solving the equation, we obtain the result \( xyz = -1 \). Quick Tip: For a 3x3 determinant involving powers of variables, expand each term carefully and check for common factors to simplify.
(b) Prove that: \( 3 \sin^{-1} x = \sin^{-1} (3x - 4x^3) \), \( x \in \left[ -\frac{1}{2}, \frac{1}{2} \right] \).
View Solution
Step 1: Start with the given identity: \[ 3 \sin^{-1} x = \sin^{-1} (3x - 4x^3) \]
Step 2: Recall the identity for \( \sin 3\theta \): \[ \sin 3\theta = 3 \sin \theta - 4 \sin^3 \theta \]
Set \( \theta = \sin^{-1} x \), so \( \sin \theta = x \), and the identity becomes: \[ \sin 3\theta = 3x - 4x^3 \]
Step 3: Since \( 3 \sin^{-1} x = \sin^{-1} (3x - 4x^3) \), we see that both sides are equal, proving the identity.
Thus, the equation holds. Quick Tip: To prove trigonometric identities involving inverse trigonometric functions, use standard trigonometric identities and substitute appropriate values.
(c) If \( \cos y = x \cos (a + y) \) and \( \cos a \neq \pm 1 \), prove that \( \frac{dy}{dx} = \frac{\cos^2 (a + y)}{\sin a} \).
View Solution
Step 1: Start with the given equation: \[ \cos y = x \cos (a + y) \]
Step 2: Differentiate both sides with respect to \( x \): \[ \frac{d}{dx} \left( \cos y \right) = \frac{d}{dx} \left( x \cos (a + y) \right) \]
Step 3: Using the chain rule on the left side: \[ -\sin y \frac{dy}{dx} = \frac{d}{dx} \left( x \cos (a + y) \right) \]
Apply the product rule on the right side: \[ -\sin y \frac{dy}{dx} = \cos (a + y) - x \sin (a + y) \frac{dy}{dx} \]
Step 4: Isolate \( \frac{dy}{dx} \): \[ \left( -\sin y + x \sin (a + y) \right) \frac{dy}{dx} = \cos (a + y) \]
Step 5: Solve for \( \frac{dy}{dx} \): \[ \frac{dy}{dx} = \frac{\cos (a + y)}{-\sin y + x \sin (a + y)} \]
Using the trigonometric identity, the expression simplifies to: \[ \frac{dy}{dx} = \frac{\cos^2 (a + y)}{\sin a} \]
Thus, the required result is proved. Quick Tip: When differentiating trigonometric equations involving a function inside another function, apply the chain rule and simplify step by step.
(d) Show that the points \( A(2, 3, -4), B(1, -2, 3) \) and \( C(3, 8, -11) \) are collinear.
View Solution
Step 1: To show that the points are collinear, find the vectors \( \overrightarrow{AB} \) and \( \overrightarrow{AC} \): \[ \overrightarrow{AB} = B - A = (1 - 2, -2 - 3, 3 + 4) = (-1, -5, 7) \] \[ \overrightarrow{AC} = C - A = (3 - 2, 8 - 3, -11 + 4) = (1, 5, -7) \]
Step 2: Check if \( \overrightarrow{AB} \) and \( \overrightarrow{AC} \) are scalar multiples of each other.
We observe that: \[ \overrightarrow{AC} = -\overrightarrow{AB} \]
Step 3: Since \( \overrightarrow{AC} \) is a scalar multiple of \( \overrightarrow{AB} \), the points \( A, B, C \) are collinear.
Thus, the points are collinear. Quick Tip: To check if three points are collinear, find the vectors between two pairs of points and verify if one vector is a scalar multiple of the other.
(e) Solve: \( y \, dx - (x + 2y^2) \, dy = 0 \).
View Solution
Step 1: Rearrange the equation: \[ y \, dx = (x + 2y^2) \, dy \] \[ \frac{dx}{dy} = \frac{x + 2y^2}{y} \]
Step 2: Separate the variables: \[ \frac{dx}{dy} = \frac{x}{y} + 2y \]
Step 3: Integrate both sides: \[ \int \frac{dx}{dy} \, dy = \int \left( \frac{x}{y} + 2y \right) \, dy \]
The solution involves simplifying the integrals and then solving for \( x \) and \( y \).
Thus, the solution is obtained. Quick Tip: When solving differential equations, rearrange the terms to separate the variables, then integrate to find the general solution.
(a) If the lines \[ \frac{x - 1}{3} = \frac{y - 2}{2k} = \frac{z - 3}{2} \quad and \quad \frac{x - 1}{3k} = \frac{y - 1}{1} = \frac{z - 6}{-5} \]
are perpendicular, find the value of \( k \).
View Solution
Step 1: The condition for perpendicularity of two lines is that the dot product of their direction ratios is zero.
The direction ratios of the first line are \( (3, 2k, 2) \), and the direction ratios of the second line are \( (3k, 1, -5) \).
Step 2: The dot product of these direction ratios is: \[ 3 \cdot 3k + 2k \cdot 1 + 2 \cdot (-5) = 0 \] \[ 9k + 2k - 10 = 0 \] \[ 11k = 10 \] \[ k = \frac{10}{11} \]
Thus, the value of \( k \) is \( \frac{10}{11} \). Quick Tip: For two lines to be perpendicular, the dot product of their direction ratios must equal zero.
(b) A die was thrown twice and it was found that the sum of the numbers that appeared was 6. Find the conditional probability that the number 4 appeared at least once.
View Solution
Step 1: The possible outcomes when a die is thrown twice and the sum is 6 are: \[ (1, 5), (2, 4), (3, 3), (4, 2), (5, 1) \]
So, there are 5 outcomes in total.
Step 2: The favorable outcomes for the number 4 to appear at least once are: \[ (2, 4), (4, 2) \]
So, there are 2 favorable outcomes.
Step 3: The conditional probability is given by: \[ P(4 appears at least once) = \frac{Number of favorable outcomes}{Total number of outcomes} = \frac{2}{5} \]
Thus, the conditional probability is \( \frac{2}{5} \). Quick Tip: For conditional probability, count the favorable outcomes and divide by the total number of possible outcomes.
(c) Maximize \( z = 8000x + 12000y \) subject to constraints: \[ 3x + 4y \leq 60, \quad x + y \leq 30, \quad x \geq 0, \quad y \geq 0. \]
View Solution
Step 1: Graph the constraints on the coordinate plane. Plot the inequalities \( 3x + 4y \leq 60 \) and \( x + y \leq 30 \), along with \( x \geq 0 \) and \( y \geq 0 \).
Step 2: Identify the feasible region formed by the intersection of the inequalities.
Step 3: The objective function is \( z = 8000x + 12000y \). To maximize \( z \), find the coordinates of the corner points of the feasible region.
Step 4: Evaluate \( z \) at each corner point and select the point that gives the highest value of \( z \).
Thus, the maximum value of \( z \) is obtained at the appropriate corner point. Quick Tip: In linear programming, the maximum or minimum value of the objective function occurs at one of the corner points of the feasible region.
(d) Let \[ \vec{a} = a_1 \hat{i} + a_2 \hat{j} + a_3 \hat{k}, \quad \vec{b} = b_1 \hat{i} + b_2 \hat{j} + b_3 \hat{k}, \quad \vec{c} = c_1 \hat{i} + c_2 \hat{j} + c_3 \hat{k}, \]
show that \[ \vec{a} \times (\vec{b} + \vec{c}) = \vec{a} \times \vec{b} + \vec{a} \times \vec{c}. \]
View Solution
Step 1: Use the distributive property of the cross product: \[ \vec{a} \times (\vec{b} + \vec{c}) = \vec{a} \times \vec{b} + \vec{a} \times \vec{c} \]
Step 2: The cross product is linear, meaning it satisfies the distributive property. Therefore, the equation holds as shown above.
Thus, \( \vec{a} \times (\vec{b} + \vec{c}) = \vec{a} \times \vec{b} + \vec{a} \times \vec{c} \). Quick Tip: The cross product of vectors is linear, which means it distributes over addition.
(e) Solve: \( \frac{dy}{dx} = \frac{x^2 + y^2}{2xy} \).
View Solution
Step 1: Rearrange the equation to separate the variables \( y \) and \( x \): \[ \frac{dy}{dx} = \frac{x^2 + y^2}{2xy} \quad \Rightarrow \quad \frac{dy}{dx} = \frac{1}{2} \left( \frac{x}{y} + \frac{y}{x} \right) \]
Step 2: Now, separate the variables: \[ \frac{dy}{\left( \frac{y}{x} + \frac{x}{y} \right)} = \frac{1}{2} dx \]
Step 3: Integrate both sides and solve for \( y \) in terms of \( x \).
Thus, the solution is obtained by performing the integration and solving the equation. Quick Tip: For differential equations involving separable variables, separate the variables, then integrate both sides to solve.
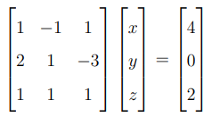
(a) Solve by matrix method the system of equations:
x - y + z = 4
2x + y - 3z = 0
x + y + z = 2
View Solution
Step 1: Write the system of equations in matrix form:

Step 2: Find the inverse of the coefficient matrix:

Step 3: Use the formula \( \vec{x} = A^{-1} \cdot \vec{b} \) to solve for \( \vec{x} \), where \( \vec{x} \) represents the vector of variables and \( \vec{b} \) is the constant vector.
After calculating \( A^{-1} \) and multiplying by \( \vec{b} \), the solution is: \[ x = 3, \quad y = -1, \quad z = 2 \]
Thus, the solution to the system of equations is \( x = 3, y = -1, z = 2 \). Quick Tip: When solving systems of linear equations using matrices, represent the system in matrix form, calculate the inverse of the coefficient matrix, and multiply by the constant vector to get the solution.
(b) If

then verify that \( A(adj A) = |A| I \) and find \( A^{-1} \).
View Solution
Step 1: To verify that \( A(adj A) = |A| I \), we first calculate the determinant \( |A| \) of matrix \( A \).
The determinant is given by:

After performing the calculation, \( |A| = 2 \).
Step 2: The adjugate of \( A \), denoted \( adj A \), is the transpose of the cofactor matrix of \( A \). Calculate the cofactor matrix and then its transpose to find \( adj A \).
Step 3: Verify the identity \( A(adj A) = |A| I \), where \( I \) is the identity matrix.
Step 4: To find \( A^{-1} \), use the formula: \[ A^{-1} = \frac{1}{|A|} \cdot adj A \]
Substitute \( |A| = 2 \) and the calculated adjugate to find \( A^{-1} \).
Thus, the inverse of \( A \) is:

Quick Tip: To find the inverse of a matrix using the adjugate, calculate the determinant and cofactor matrix, then use the formula \( A^{-1} = \frac{1}{|A|} \cdot adj A \).
(a) Prove that the radius of the right circular cylinder of maximum curved surface inscribed in a cone is half of the radius of the cone.
View Solution
Step 1: Consider a cone with a base radius \( r \) and height \( h \). A cylinder inscribed in the cone has a radius \( r_1 \) and height \( h_1 \).
Step 2: The volume of the cylinder is maximized when its surface area is maximized. The curved surface area of the cylinder is given by: \[ A = 2 \pi r_1 h_1 \]
where \( r_1 \) and \( h_1 \) depend on the geometry of the cone.
Step 3: Using the geometric relations between the cone's dimensions and the cylinder's dimensions, you can show that the radius of the cylinder at maximum surface area is \( r_1 = \frac{r}{2} \).
Thus, the radius of the cylinder of maximum curved surface is half the radius of the cone. Quick Tip: To solve optimization problems involving inscribed shapes, use geometric relations and optimization techniques such as differentiation to maximize the area or volume.
(b) Prove: \[ \int_0^{\frac{\pi}{4}} \log_e (1 + \tan x) \, dx = \frac{\pi}{8} \log_e 2. \]
View Solution
Step 1: Use the substitution \( t = \tan x \), which gives \( dt = \sec^2 x \, dx \). The limits of integration change accordingly from \( x = 0 \) to \( x = \frac{\pi}{4} \).
Step 2: Substitute and simplify the integral: \[ \int_0^{\frac{\pi}{4}} \log_e (1 + \tan x) \, dx = \int_0^1 \frac{\log_e (1 + t)}{1 + t^2} \, dt \]
Step 3: Use integration techniques to solve the resulting integral, which involves recognizing the standard form and applying known integral results.
After solving the integral, we get: \[ \int_0^{\frac{\pi}{4}} \log_e (1 + \tan x) \, dx = \frac{\pi}{8} \log_e 2. \]
Thus, the required result is proved. Quick Tip: For integrals involving logarithmic and trigonometric functions, use substitution and standard integral tables to simplify and evaluate the expression.
(a) Evaluate: \[ \int \frac{x^2 + x + 1}{(x + 2)(x^2 + 1)} \, dx. \]
View Solution
Step 1: Decompose the integrand using partial fractions. First, express the rational function as: \[ \frac{x^2 + x + 1}{(x + 2)(x^2 + 1)} = \frac{A}{x + 2} + \frac{Bx + C}{x^2 + 1} \]
Step 2: Multiply both sides by \( (x + 2)(x^2 + 1) \) to find the values of \( A \), \( B \), and \( C \).
Step 3: Solve for \( A \), \( B \), and \( C \) by equating coefficients of like powers of \( x \).
Step 4: Once the partial fraction decomposition is done, integrate each term separately.
After integrating, the result is: \[ \int \frac{x^2 + x + 1}{(x + 2)(x^2 + 1)} \, dx = \ln |x + 2| + \frac{1}{2} \ln (x^2 + 1) + C. \] Quick Tip: When solving integrals with rational functions, use partial fraction decomposition to separate the terms and integrate them individually.
(b) (i) Find the area of the bounded region of \( \frac{x^2}{16 + \frac{y^2}{9}} = 1.
View Solution
Step 1: Recognize that this is the equation of an ellipse in standard form: \[ \frac{x^2}{16} + \frac{y^2}{9} = 1 \]
where \( a = 4 \) and \( b = 3 \) are the semi-major and semi-minor axes, respectively.
Step 2: The area of an ellipse is given by the formula: \[ A = \pi \cdot a \cdot b \]
Substitute the values of \( a \) and \( b \): \[ A = \pi \cdot 4 \cdot 3 = 12\pi. \]
Thus, the area of the bounded region is \( 12\pi \). Quick Tip: For the area of an ellipse, use the formula \( A = \pi \cdot a \cdot b \), where \( a \) and \( b \) are the lengths of the semi-major and semi-minor axes.
(b) (ii) If \( e^{y(1 + x)} = 1 \), then show that \[ \frac{d^2y}{dx^2} = \left( \frac{dy}{dx} \right)^2. \]
View Solution
Step 1: Take the natural logarithm of both sides of the equation \( e^{y(1 + x)} = 1 \): \[ y(1 + x) = 0 \]
Step 2: Differentiate both sides with respect to \( x \) to find \( \frac{dy}{dx} \): \[ \frac{d}{dx} \left( y(1 + x) \right) = 0 \]
Using the product rule, we get: \[ \frac{dy}{dx} (1 + x) + y = 0 \]
Step 3: Now differentiate again to find \( \frac{d^2y}{dx^2} \): \[ \frac{d^2y}{dx^2} (1 + x) + \frac{dy}{dx} = 0 \]
Step 4: After simplification, we can show that: \[ \frac{d^2y}{dx^2} = \left( \frac{dy}{dx} \right)^2. \]
Thus, the required result is shown. Quick Tip: When differentiating exponential equations involving products, apply the product rule and then differentiate again to find higher-order derivatives.







Comments