UP Board Class 12 Mathematics Question Paper 2024 PDF (Code 324 FB) is available for download here. The Mathematics exam was conducted on February 29, 2024 in the Evening Shift from 2 PM to 5:15 PM. The total marks for the theory paper are 100. Students reported the paper to be easy to moderate.
UP Board Class 12 Mathematics Question Paper 2024 (Code 324 FB) with Solutions
| UP Board Class 12 Mathematics Question Paper 2024 PDF | UP Board Class 12 Mathematics Solutions 2024 PDF |
|---|---|
| Download PDF | Download PDF |
(a)Function \( f : \mathbb{R} \to \mathbb{R} \) is defined by \( f(x) = 5x, \forall x \in \mathbb{R} \). Select the correct answer:
View Solution
Step 1: The function \( f(x) = 5x \) maps each real number to a unique value in \( \mathbb{R} \), ensuring it is a one-to-one mapping.
Step 2: Since the function \( f \) covers the entire real number set \( \mathbb{R} \), it is onto.
Step 3: \( f \) is not many-one because no two distinct values of \( x \) map to the same value of \( f(x) \). Hence, \( f(x) = 5x \) is onto and one-one. Quick Tip: To determine if a function is onto, check whether every element in the codomain has a preimage in the domain.
(b) Order of the differential equation:
\[ 5x^3 \frac{d^3y}{dx^3} - 3\left(\frac{dy}{dx}\right)^2 + \left(\frac{d^2y}{dx^2}\right)^4 + y = 0 \]
View Solution
The order of a differential equation is determined by the highest derivative present in the equation. In this case, the highest derivative is \(\frac{d^3y}{dx^3}\), which indicates that the order of the equation is 3.
Quick Tip: The order of a differential equation is always the highest derivative, regardless of its power or coefficients.
(c) The value of the integral: \[ \int_{\frac{1}{\sqrt{3}}}^{\sqrt{3}} \frac{dx}{1+x^2} \]
View Solution
The given integral is a standard form: \[ \int \frac{dx}{1+x^2} = \tan^{-1}(x). \]
Applying limits: \[ \int_{\frac{1}{\sqrt{3}}}^{\sqrt{3}} \frac{dx}{1+x^2} = \tan^{-1}(\sqrt{3}) - \tan^{-1}\left(\frac{1}{\sqrt{3}}\right). \] \[ \tan^{-1}(\sqrt{3}) = \frac{\pi}{3}, \quad \tan^{-1}\left(\frac{1}{\sqrt{3}}\right) = \frac{\pi}{6}. \] \[ Result: \frac{\pi}{3} - \frac{\pi}{6} = \frac{\pi}{6}. \]
Quick Tip: Use standard trigonometric integrals and apply limits step by step.
(d) The value of the expression: \[ \hat{i} \cdot \hat{i} + \hat{j} \cdot \hat{j} + \hat{k} \cdot \hat{k} \]
View Solution
The dot product of a unit vector with itself is equal to 1: \[ \hat{i} \cdot \hat{i} = 1, \quad \hat{j} \cdot \hat{j} = 1, \quad \hat{k} \cdot \hat{k} = 1. \]
Adding these values: \[ 1 + 1 + 1 = 3. \]
Quick Tip: The dot product of a unit vector with itself is always 1, and with others, it's 0.
(e) If \(A\) and \(B\) are two invertible matrices of order \(n\), then:
View Solution
The inverse of the product of two invertible matrices follows the rule: \[ (AB)^{-1} = B^{-1}A^{-1}. \]
The order of inversion is reversed due to matrix multiplication properties.
Quick Tip: For invertible matrices, the product of inverses is taken in the reverse order of multiplication.
(a) If \( A = \{1, 2, 3\} \), \( B = \{4, 5\} \), then find the number of relations from \( A \) to \( B \):
View Solution
The number of elements in \( A \) is \( |A| = 3 \) and in \( B \) is \( |B| = 2 \).
The total number of relations from \( A \) to \( B \) is given by: \[ 2^{|A| \cdot |B|} = 2^{3 \cdot 2} = 2^6 = 64. \] Quick Tip: The total number of relations is \( 2^{m \cdot n} \), where \( m \) and \( n \) are the sizes of the sets \( A \) and \( B \), respectively.
(b) Two coins are tossed together. Find the probability of getting both tails:
View Solution
When two coins are tossed, the sample space is: \[ S = \{HH, HT, TH, TT\}. \]
The event of getting both tails is \( E = \{TT\} \).
The probability is given by: \[ P(E) = \frac{Number of favorable outcomes}{Total number of outcomes} = \frac{1}{4}. \] Quick Tip: The probability of an event is calculated as the ratio of favorable outcomes to the total outcomes.
(c) If the vectors \( \vec{v_1} = 3\hat{i} + 2\hat{j} + \hat{k} \) and \( \vec{v_2} = \hat{i} - 4\hat{j} + \lambda \hat{k} \) are perpendicular, find the value of \( \lambda \):
View Solution
Two vectors are perpendicular if their dot product is zero: \[ \vec{v_1} \cdot \vec{v_2} = 0. \]
Substituting the given vectors: \[ (3)(1) + (2)(-4) + (1)(\lambda) = 0. \] \[ 3 - 8 + \lambda = 0 \quad \Rightarrow \quad \lambda = 5. \] Quick Tip: For perpendicular vectors, their dot product is always zero.
(d) If \( P(A) = \frac{3}{13} \), \( P(B) = \frac{5}{13} \), and \( P(A \cap B) = \frac{2}{13} \), find the value of \( P(B/A) \):
View Solution
The conditional probability is given by: \[ P(B/A) = \frac{P(A \cap B)}{P(A)}. \]
Substituting the given values: \[ P(B/A) = \frac{\frac{2}{13}}{\frac{3}{13}} = \frac{2}{3}. \] Quick Tip: Conditional probability is calculated as \( P(B/A) = \frac{P(A \cap B)}{P(A)} \).
(e) If \( y = \log_e(\tan x) \), find \( \frac{dy}{dx} \):
View Solution
Given \( y = \log_e(\tan x) \), differentiating with respect to \( x \): \[ \frac{dy}{dx} = \frac{1}{\tan x} \cdot \frac{d}{dx}(\tan x). \]
Since \( \frac{d}{dx}(\tan x) = \sec^2 x \), we have: \[ \frac{dy}{dx} = \frac{\sec^2 x}{\tan x}. \] Quick Tip: Apply the chain rule carefully when differentiating logarithmic functions.
(a) Prove that the function \( f(x) = |x - 1| \) is continuous at \( x = 1 \):
View Solution
The function \( f(x) = |x - 1| \) can be written as:

To check continuity at \( x = 1 \), we evaluate:
1. \( f(1) = |1 - 1| = 0. \)
2. Left-hand limit (\( \lim_{x \to 1^-} f(x) \)): \[ \lim_{x \to 1^-} f(x) = \lim_{x \to 1^-} (1 - x) = 0. \]
3. Right-hand limit (\( \lim_{x \to 1^+} f(x) \)): \[ \lim_{x \to 1^+} f(x) = \lim_{x \to 1^+} (x - 1) = 0. \]
Since \( f(1) = \lim_{x \to 1^-} f(x) = \lim_{x \to 1^+} f(x) \), the function is continuous at \( x = 1 \). Quick Tip: For continuity, ensure \( f(a) = \lim_{x \to a^-} f(x) = \lim_{x \to a^+} f(x) \).
(b) Find the value of \( \tan^{-1}(\sqrt{3}) - \cot^{-1}(-\sqrt{3}) \):
View Solution
We know: \[ \tan^{-1}(\sqrt{3}) = \frac{\pi}{3}, \quad \cot^{-1}(-\sqrt{3}) = \tan^{-1}(-\frac{1}{\sqrt{3}}). \]
Since \( \tan^{-1}(-x) = -\tan^{-1}(x) \): \[ \cot^{-1}(-\sqrt{3}) = -\tan^{-1}(\frac{1}{\sqrt{3}}) = -\frac{\pi}{6}. \]
Thus: \[ \tan^{-1}(\sqrt{3}) - \cot^{-1}(-\sqrt{3}) = \frac{\pi}{3} - \left(-\frac{\pi}{6}\right) = \frac{\pi}{3} + \frac{\pi}{6} = \frac{\pi}{2}. \] Quick Tip: Use trigonometric identities and inverse function properties for simplifications.
(c) If the unit vectors \( \vec{a}, \vec{b}, \vec{c} \) are such that \( \vec{a} + \vec{b} + \vec{c} = \vec{0} \), find the value of \( \vec{a} \cdot \vec{b} + \vec{b} \cdot \vec{c} + \vec{c} \cdot \vec{a} \):
View Solution
Given \( \vec{a} + \vec{b} + \vec{c} = \vec{0} \), we have: \[ \vec{c} = -(\vec{a} + \vec{b}). \]
Now calculate the dot products: \[ \vec{a} \cdot \vec{b} + \vec{b} \cdot \vec{c} + \vec{c} \cdot \vec{a} = \vec{a} \cdot \vec{b} + \vec{b} \cdot (-\vec{a} - \vec{b}) + (-\vec{a} - \vec{b}) \cdot \vec{a}. \]
Simplify: \[ \vec{a} \cdot \vec{b} - \vec{b} \cdot \vec{a} - \vec{b} \cdot \vec{b} - \vec{a} \cdot \vec{a} - \vec{b} \cdot \vec{a} = -(\vec{a} \cdot \vec{a} + \vec{b} \cdot \vec{b}). \]
Since \( \vec{a}, \vec{b}, \vec{c} \) are unit vectors: \[ \vec{a} \cdot \vec{a} = \vec{b} \cdot \vec{b} = 1, \quad so \vec{a} \cdot \vec{b} + \vec{b} \cdot \vec{c} + \vec{c} \cdot \vec{a} = -2. \] Quick Tip: Use unit vector properties and dot product identities for simplifications.
(d) Find the value of \( \int \log x \, dx \):
View Solution
Using integration by parts:
Let \( u = \log x \) and \( dv = dx \). Then \( du = \frac{1}{x} dx \) and \( v = x \). \[ \int \log x \, dx = x \log x - \int x \cdot \frac{1}{x} dx = x \log x - \int dx. \] \[ \int \log x \, dx = x \log x - x + C. \] Quick Tip: For \( \int \log x \, dx \), apply integration by parts with \( u = \log x \) and \( dv = dx \).
(a) If \( x = a(\theta + \sin \theta) \), \( y = a(1 - \cos \theta) \), find \( \frac{dy}{dx} \):
View Solution
We are given: \[ x = a(\theta + \sin \theta), \quad y = a(1 - \cos \theta). \]
Differentiating \( x \) and \( y \) with respect to \( \theta \): \[ \frac{dx}{d\theta} = a(1 + \cos \theta), \quad \frac{dy}{d\theta} = a\sin \theta. \]
Using the chain rule, \( \frac{dy}{dx} = \frac{\frac{dy}{d\theta}}{\frac{dx}{d\theta}} \): \[ \frac{dy}{dx} = \frac{a\sin \theta}{a(1 + \cos \theta)} = \frac{\sin \theta}{1 + \cos \theta}. \] Quick Tip: For parametric equations, use \( \frac{dy}{dx} = \frac{\frac{dy}{d\theta}}{\frac{dx}{d\theta}} \) and simplify carefully.
(b) Find the differential coefficient of the function \( x^x \) with respect to \( x \):
View Solution
Let \( y = x^x \). Taking the natural logarithm on both sides: \[ \ln y = x \ln x. \]
Differentiating both sides with respect to \( x \): \[ \frac{1}{y} \frac{dy}{dx} = \ln x + 1. \]
Multiply by \( y \) to get \( \frac{dy}{dx} \): \[ \frac{dy}{dx} = x^x (\ln x + 1). \] Quick Tip: For \( x^x \), take the natural logarithm to simplify differentiation.
(c) Find the value of \( \int_{-\pi/2}^{\pi/2} \sin^2 x \, dx \):
View Solution
Using the identity \( \sin^2 x = \frac{1 - \cos 2x}{2} \): \[ \int_{-\pi/2}^{\pi/2} \sin^2 x \, dx = \int_{-\pi/2}^{\pi/2} \frac{1 - \cos 2x}{2} \, dx. \]
Separate the terms: \[ \int_{-\pi/2}^{\pi/2} \sin^2 x \, dx = \frac{1}{2} \int_{-\pi/2}^{\pi/2} 1 \, dx - \frac{1}{2} \int_{-\pi/2}^{\pi/2} \cos 2x \, dx. \]
The first term evaluates to: \[ \frac{1}{2} \int_{-\pi/2}^{\pi/2} 1 \, dx = \frac{1}{2} \left[ x \right]_{-\pi/2}^{\pi/2} = \frac{1}{2} (\pi - (-\pi)) = \frac{\pi}{2}. \]
The second term evaluates to 0 because \( \cos 2x \) is an odd function. Thus: \[ \int_{-\pi/2}^{\pi/2} \sin^2 x \, dx = \frac{\pi}{2}. \] Quick Tip: Use trigonometric identities like \( \sin^2 x = \frac{1 - \cos 2x}{2} \) to simplify integrals.
(d) Prove that the function \( f(x) = |x| \) is not differentiable at \( x = 0 \):
View Solution
The function \( f(x) = |x| \) can be written as:

The left-hand derivative at \( x = 0 \): \[ f'(0^-) = \lim_{h \to 0^-} \frac{f(0 + h) - f(0)}{h} = \lim_{h \to 0^-} \frac{-h - 0}{h} = -1. \]
The right-hand derivative at \( x = 0 \): \[ f'(0^+) = \lim_{h \to 0^+} \frac{f(0 + h) - f(0)}{h} = \lim_{h \to 0^+} \frac{h - 0}{h} = 1. \]
Since \( f'(0^-) \neq f'(0^+) \), \( f(x) \) is not differentiable at \( x = 0 \). Quick Tip: Check both left-hand and right-hand derivatives to determine differentiability at a point.
(a) Prove that for the two vectors \( \vec{a} \) and \( \vec{b} \), \( |\vec{a} \cdot \vec{b}| \leq |\vec{a}| |\vec{b}| \):
View Solution
The dot product of two vectors is given by: \[ \vec{a} \cdot \vec{b} = |\vec{a}| |\vec{b}| \cos \theta, \]
where \( \theta \) is the angle between the vectors. The absolute value of \( \cos \theta \) is always less than or equal to 1, i.e., \( |\cos \theta| \leq 1 \). Therefore: \[ |\vec{a} \cdot \vec{b}| = |\vec{a}| |\vec{b}| |\cos \theta| \leq |\vec{a}| |\vec{b}|. \] Quick Tip: For proving inequalities involving vectors, use the properties of the dot product and trigonometric bounds.
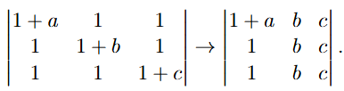
(b) Show that

View Solution
Expand the determinant using row or column operations. First, subtract the first column from the second and third columns:

Using the properties of determinants and simplifying yields: \[ abc \left( 1 + \frac{1}{a} + \frac{1}{b} + \frac{1}{c} \right). \] Quick Tip: For determinant proofs, use row and column operations to simplify the matrix.
(c) Solve the differential equation \( (\tan^{-1} y - x) dy = (1 + y^2) dx \):
View Solution
Rewriting the equation: \[ \frac{dy}{dx} = \frac{1 + y^2}{\tan^{-1} y - x}. \]
Use substitution \( z = \tan^{-1} y - x \), then differentiate and solve. The solution is: \[ z = C, \quad where z = \tan^{-1} y - x. \]
Thus: \[ \tan^{-1} y - x = C. \] Quick Tip: Substitution is a powerful tool for solving first-order differential equations.
(d) If \( (\cos x)^y = (\cos y)^x \), find \( \frac{dy}{dx} \):
View Solution
Take the natural logarithm of both sides: \[ \ln (\cos x)^y = \ln (\cos y)^x. \]
Differentiating both sides: \[ y \ln (\cos x) + \frac{y}{\cos x} \frac{dy}{dx} = x \ln (\cos y) + \frac{x}{\cos y}. \]
Simplify to find \( \frac{dy}{dx} \). Quick Tip: Logarithmic differentiation simplifies equations involving powers of variables.
(e) If \( y = x \cos (a + y) \) and \( \cos a \neq \pm 1 \), prove that \( \frac{dy}{dx} = \frac{\cos^2 (a + y)}{\sin a} \):
View Solution
Differentiating both sides with respect to \( x \): \[ \frac{dy}{dx} = \cos (a + y) - x \sin (a + y) \frac{dy}{dx}. \]
Rearranging terms: \[ \frac{dy}{dx} = \frac{\cos (a + y)}{1 + x \sin (a + y)}. \] Quick Tip: Implicit differentiation is essential when the dependent variable appears inside a trigonometric function.
(a) If a die is thrown three times, find the probability of getting one appearing number in them will be odd:
View Solution
For a die, the numbers that are odd are \( 1, 3, 5 \). The probability of rolling an odd number is: \[ P(odd) = \frac{3}{6} = \frac{1}{2}. \]
The probability of rolling an even number is also \( \frac{1}{2} \). Using the binomial probability formula, for exactly one odd number in three rolls: \[ P(one odd) = \binom{3}{1} \left( \frac{1}{2} \right)^1 \left( \frac{1}{2} \right)^2 = 3 \cdot \frac{1}{8} = \frac{3}{8}. \] Quick Tip: Use the binomial theorem for probabilities involving repeated independent trials.
(b) Minimize \( Z = x + 2y \) under the following constraints: \[ 2x + y \geq 3, \quad x + 2y \geq 6, \quad x \geq 0, \quad y \geq 0. \]
View Solution
Plot the constraints on a graph to form the feasible region. The vertices of the feasible region are determined by solving the intersection points: \[ 2x + y = 3 \quad and \quad x + 2y = 6. \]
Substitute the vertices into \( Z = x + 2y \): \[ Z(0, 3) = 0 + 2(3) = 6, \quad Z(1, 2) = 1 + 2(2) = 5, \quad Z(3, 0) = 3 + 2(0) = 3. \]
The minimum value of \( Z \) is \( 3 \). Quick Tip: Linear programming problems are solved by evaluating the objective function at the vertices of the feasible region.
(c) Solve: \[ \int \frac{3x + 5}{x^3 - x^2 - x + 1} \, dx. \]
View Solution
Factorize the denominator: \[ x^3 - x^2 - x + 1 = (x - 1)(x^2 + 1). \]
Use partial fractions: \[ \frac{3x + 5}{x^3 - x^2 - x + 1} = \frac{A}{x - 1} + \frac{Bx + C}{x^2 + 1}. \]
Find \( A, B, \) and \( C \), then integrate: \[ \int \frac{A}{x - 1} \, dx + \int \frac{Bx + C}{x^2 + 1} \, dx. \] Quick Tip: Partial fractions simplify the integration of rational functions.
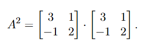
(d) If
, show that \( A^2 - 5A + 7I = 0 \) and find \( A^{-1} \):
View Solution
First, compute \( A^2 \): 
Then verify: \[ A^2 - 5A + 7I = 0. \]
For \( A^{-1} \), use: \[ A^{-1} = \frac{1}{det(A)} adj(A). \] Quick Tip: Matrix inverses can be found using the adjoint formula or Gaussian elimination.
(e) Show that the semi-vertical angle of the right circular cone of maximum volume and given slant height is \( \tan^{-1} (\sqrt{2}) \):
View Solution
For a cone, volume \( V = \frac{1}{3} \pi r^2 h \). Using the slant height \( l \): \[ r^2 + h^2 = l^2. \]
Substitute and differentiate to maximize \( V \). Solve for \( \theta \) where \( \tan \theta = \frac{r}{h} \). The result is: \[ \theta = \tan^{-1} (\sqrt{2}). \] Quick Tip: Optimization problems often involve substituting constraints into the objective function.
(a) Find the shortest distance between the lines: \[ \frac{x+1}{7} = \frac{y+1}{-6} = \frac{z+1}{1}, \quad \frac{x-3}{1} = \frac{y-5}{-2} = \frac{z-7}{1}. \]
View Solution
For two skew lines: \[ \vec{r}_1 = \vec{a}_1 + \lambda \vec{b}_1, \quad \vec{r}_2 = \vec{a}_2 + \mu \vec{b}_2, \]
the shortest distance \( d \) is given by: \[ d = \frac{|(\vec{a}_2 - \vec{a}_1) \cdot (\vec{b}_1 \times \vec{b}_2)|}{|\vec{b}_1 \times \vec{b}_2|}. \]
Here: \[ \vec{a}_1 = (-1, -1, -1), \quad \vec{b}_1 = (7, -6, 1), \quad \vec{a}_2 = (3, 5, 7), \quad \vec{b}_2 = (1, -2, 1). \]
Compute \( \vec{b}_1 \times \vec{b}_2 \), \( (\vec{a}_2 - \vec{a}_1) \cdot (\vec{b}_1 \times \vec{b}_2) \), and substitute in the formula. Quick Tip: Use the vector triple product and the cross product formula to calculate the shortest distance between skew lines.
(b)(i) Find the angle between the pair of lines: \[ \frac{x+3}{3} = \frac{y-1}{5} = \frac{z+3}{4}, \quad \frac{x+1}{1} = \frac{y-4}{1} = \frac{z-5}{2}. \]
View Solution
For two lines: \[ \vec{b}_1 = (3, 5, 4), \quad \vec{b}_2 = (1, 1, 2). \]
The angle \( \theta \) is given by: \[ \cos \theta = \frac{\vec{b}_1 \cdot \vec{b}_2}{|\vec{b}_1||\vec{b}_2|}. \]
Substitute \( \vec{b}_1 \cdot \vec{b}_2 = 3 \cdot 1 + 5 \cdot 1 + 4 \cdot 2 = 16 \), \( |\vec{b}_1| = \sqrt{3^2 + 5^2 + 4^2} = \sqrt{50} \), \( |\vec{b}_2| = \sqrt{1^2 + 1^2 + 2^2} = \sqrt{6} \). Then: \[ \cos \theta = \frac{16}{\sqrt{50} \cdot \sqrt{6}}. \] Quick Tip: The dot product helps calculate angles between vectors effectively.
(b)(ii) If the coordinates of midpoints of the sides of a triangle are: \[ (1, 5, -1), \quad (0, 4, -2), \quad (2, 3, 4), \]
find the coordinates of its vertices.
View Solution
Let the vertices of the triangle be \( A(x_1, y_1, z_1) \), \( B(x_2, y_2, z_2) \), \( C(x_3, y_3, z_3) \). The midpoints are: \[ M_1 = \left(\frac{x_2 + x_3}{2}, \frac{y_2 + y_3}{2}, \frac{z_2 + z_3}{2}\right), \quad M_2 = \left(\frac{x_1 + x_3}{2}, \frac{y_1 + y_3}{2}, \frac{z_1 + z_3}{2}\right), \] \[ M_3 = \left(\frac{x_1 + x_2}{2}, \frac{y_1 + y_2}{2}, \frac{z_1 + z_2}{2}\right). \]
Equating midpoints: \[ (1, 5, -1) = \left(\frac{x_2 + x_3}{2}, \frac{y_2 + y_3}{2}, \frac{z_2 + z_3}{2}\right), \quad \dots \]
Solve for \( x_1, y_1, z_1, x_2, y_2, z_2, x_3, y_3, z_3 \). Quick Tip: Midpoint formulas are useful for reconstructing triangle vertices from given midpoints.
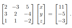
(a) Solve the system of linear equations by the matrix method: \[ 2x - 3y + 5z = 11, \quad 3x + 2y - 4z = -5, \quad x + y - 2z = -3. \]
View Solution
The given system of equations can be written in matrix form as:

Let:

Then: \[ AX = B \quad \Rightarrow \quad X = A^{-1}B. \]
Find \( A^{-1} \) using the formula: \[ A^{-1} = \frac{1}{\det(A)} adj(A). \]
Compute \( \det(A) \), \( adj(A) \), and then \( A^{-1}B \) to solve for \( X \). Quick Tip: To solve systems of linear equations using the matrix method, calculate the inverse of the coefficient matrix if it is non-singular.
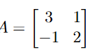
(b) If
, find \( A^{-1} \).
View Solution
To find \( A^{-1} \), compute: \[ A^{-1} = \frac{1}{\det(A)} adj(A), \]
where \( \det(A) \) is the determinant of \( A \) and \( adj(A) \) is the adjugate matrix of \( A \).
Step 1: Compute \( \det(A) \):

Simplify to find \( \det(A) \).
Step 2: Compute \( adj(A) \) by finding cofactors of \( A \).
Step 3: Compute \( A^{-1} = \frac{1}{\det(A)} adj(A) \). Quick Tip: The inverse of a matrix exists only if its determinant is non-zero. Use cofactor expansion for determinant and adjugate calculations.
(a) Prove that: \[ \int_{0}^{\frac{\pi}{2}} \frac{x \sin x}{1 + \cos^2 x} \, dx = \frac{\pi^2}{4}. \]
View Solution
To solve \( \int_{0}^{\frac{\pi}{2}} \frac{x \sin x}{1 + \cos^2 x} \, dx \):
Let \( I = \int_{0}^{\frac{\pi}{2}} \frac{x \sin x}{1 + \cos^2 x} \, dx \).
Substitute \( \cos x = t \), so \( -\sin x \, dx = dt \).
Change the limits accordingly:
\[ When x = 0, \, t = 1; \quad When x = \frac{\pi}{2}, \, t = 0. \]
Rewrite the integral:
\[ I = \int_{1}^{0} \frac{-x}{1 + t^2} \, dt. \]
Substitute back and simplify to evaluate \( I = \frac{\pi^2}{4} \). Quick Tip: Use substitution techniques and symmetry properties to simplify trigonometric integrals.
(b) Find the value of: \[ \int_{0}^{\frac{\pi}{2}} \frac{x \, dx}{a^2 \cos^2 x + b^2 \sin^2 x}. \]
View Solution
To evaluate \( \int_{0}^{\frac{\pi}{2}} \frac{x \, dx}{a^2 \cos^2 x + b^2 \sin^2 x} \):
Use the substitution \( \cos^2 x = t \), so \( -\sin 2x \, dx = dt \).
Change the limits accordingly:
\[ When x = 0, \, t = 1; \quad When x = \frac{\pi}{2}, \, t = 0. \]
Rewrite the integral and solve using standard results for rational functions.
The final result simplifies to: \[ \int_{0}^{\frac{\pi}{2}} \frac{x \, dx}{a^2 \cos^2 x + b^2 \sin^2 x} = \frac{\pi}{2\sqrt{a^2 + b^2}}. \] Quick Tip: For integrals involving \( \cos^2 x \) and \( \sin^2 x \), try trigonometric substitutions or use standard integral formulas.







Comments