NIOS Class 12 Mathematics Compartment Question Paper 2019 with Answer Key pdf (Set B) is available for download here. The exam was conducted by National Institute of Open Schooling on October 23, 2019 in the Afternoon Session 2:30 PM to 5:30 PM. The question paper comprised a total of 33 questions divided among 4 sections.
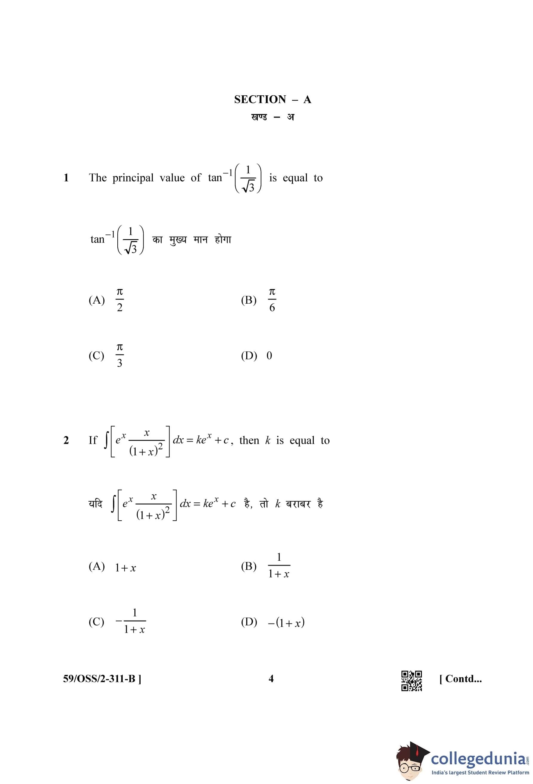
NIOS Class 12 Mathematics (Set B) Compartment Question Paper 2019 with Answer Key
| NIOS Class 12 Mathematics Question Paper 2019 PDF | NIOS Class 12 Mathematics Answer Key 2019 PDF |
|---|---|
| Download PDF | Available Soon |







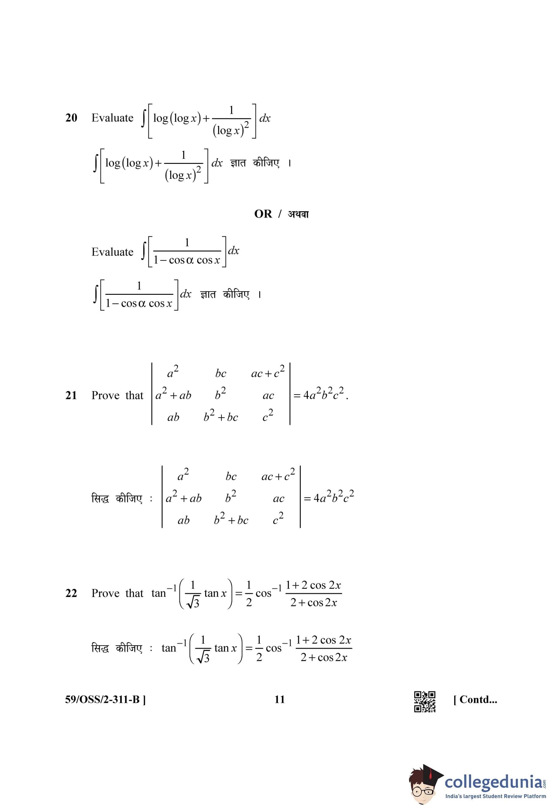
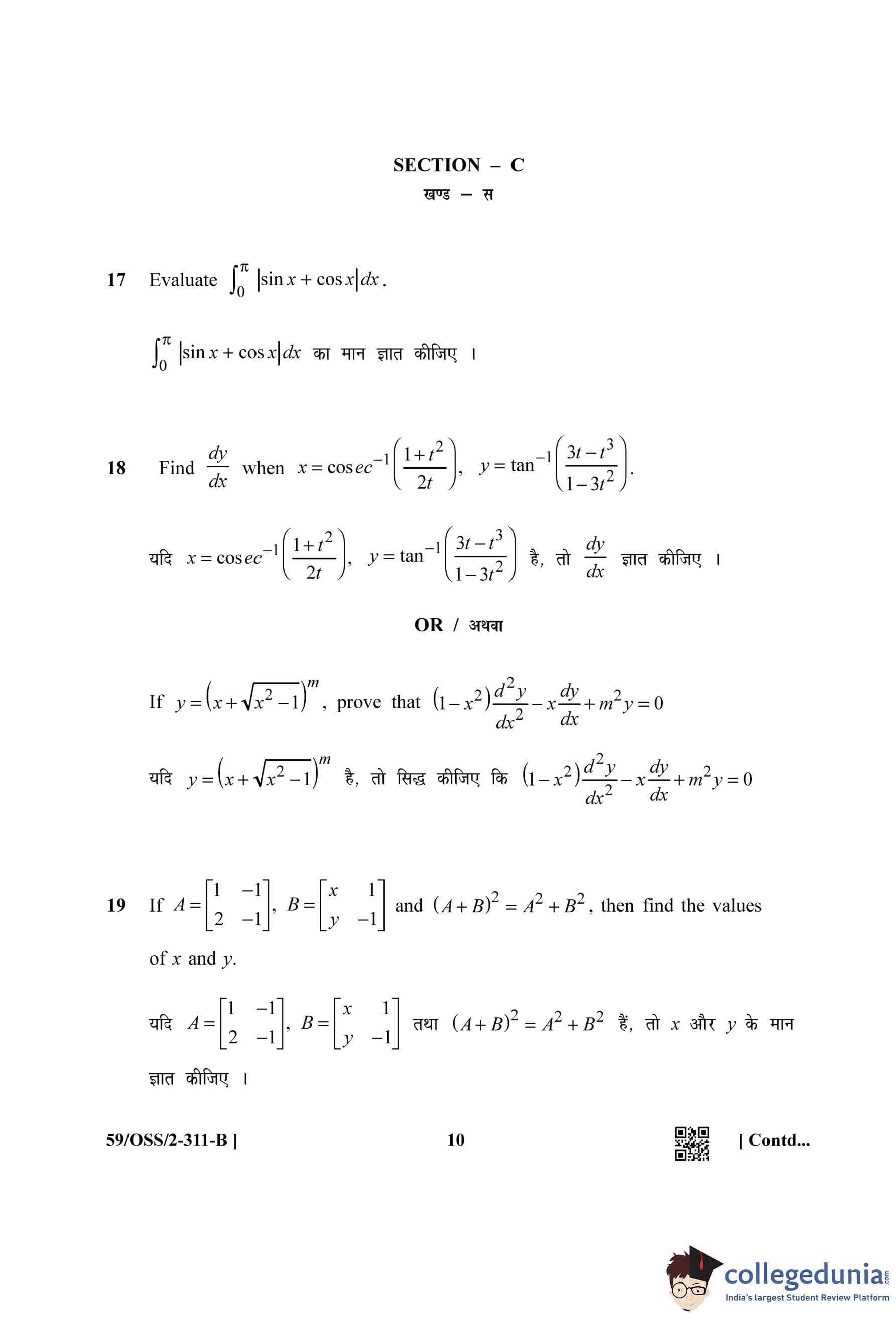
Comments