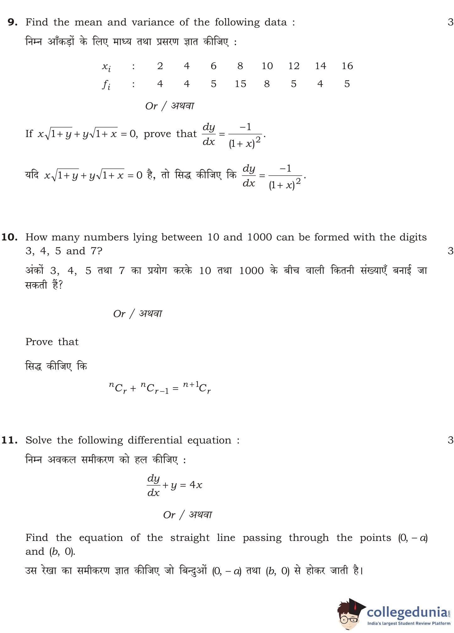
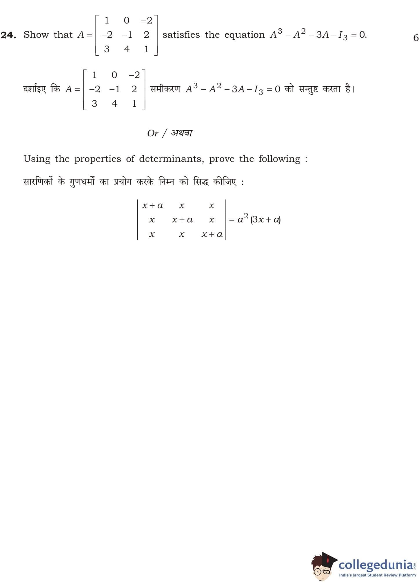
NIOS Class 12 Mathematics Question Paper 2011 with Answer Key pdf is available for download here. The exam was conducted by National Institute of Open Schooling. The question paper comprised a total of 28 questions divided among 2 sections.
NIOS Class 12 Mathematics Question Paper 2011 with Answer Key
| NIOS Class 12 Mathematics Question Paper 2011 PDF | NIOS Class 12 Mathematics Answer Key 2011 PDF |
|---|---|
| Download PDF | Available Soon |







Comments