NIOS Class 12 Mathematics Question Paper 2023 with Answer Key pdf (Set B - ASS) is available for download here. The exam was conducted by National Institute of Open Schooling on May 2, 2023 in the Afternoon Session 2.30 PM to 5.30 PM. The question paper comprised a total of 33 questions divided among 4 sections.
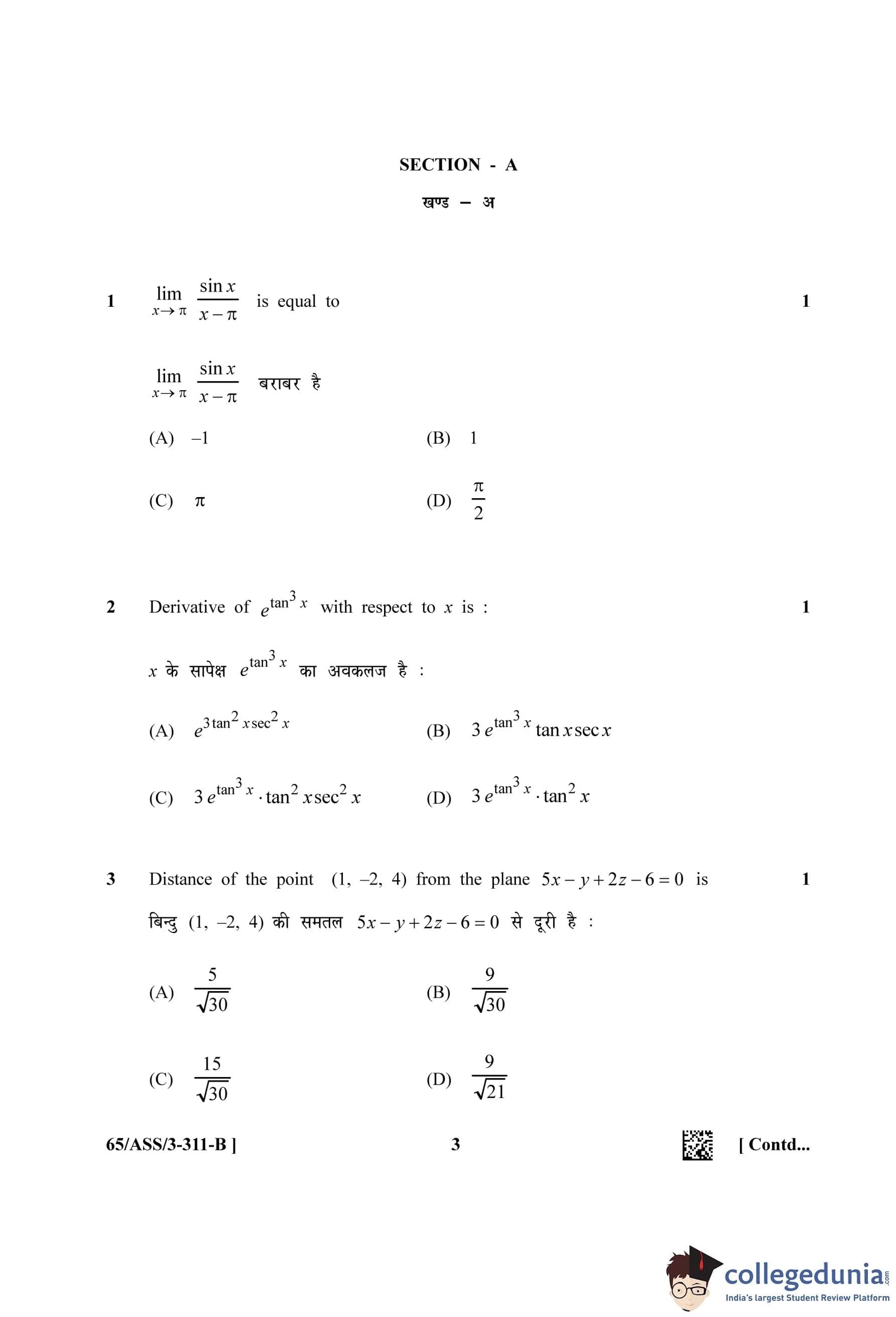
NIOS Class 12 Mathematics (Set B - ASS) Question Paper 2023 with Answer Key
| NIOS Class 12 Mathematics Question Paper 2023 PDF | NIOS Class 12 Mathematics Answer Key 2023 PDF |
|---|---|
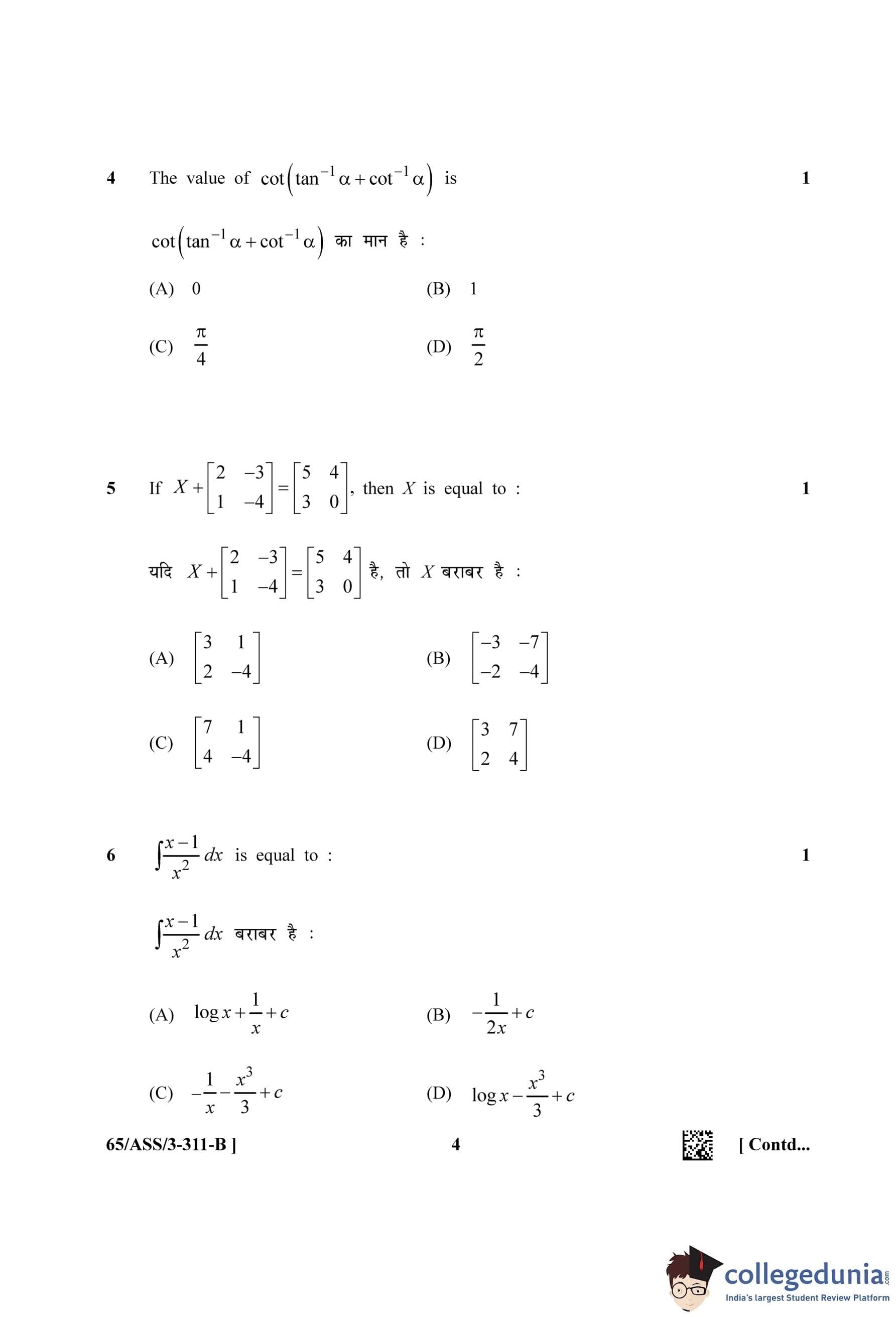
| Download PDF | Available Soon |







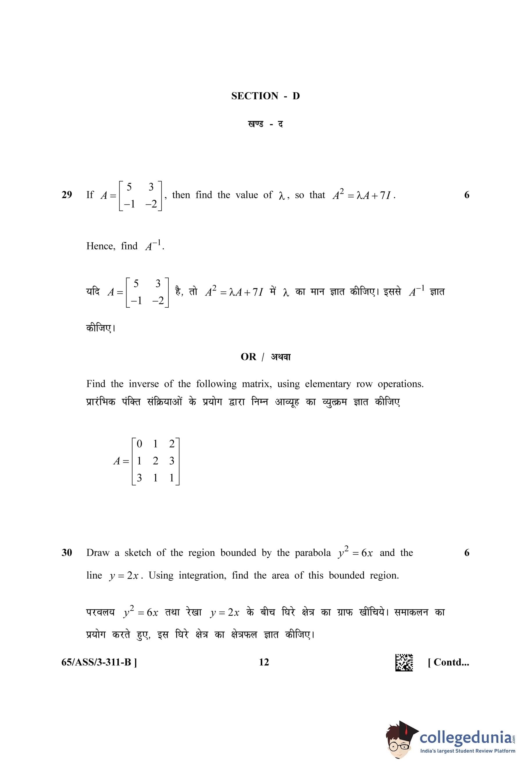
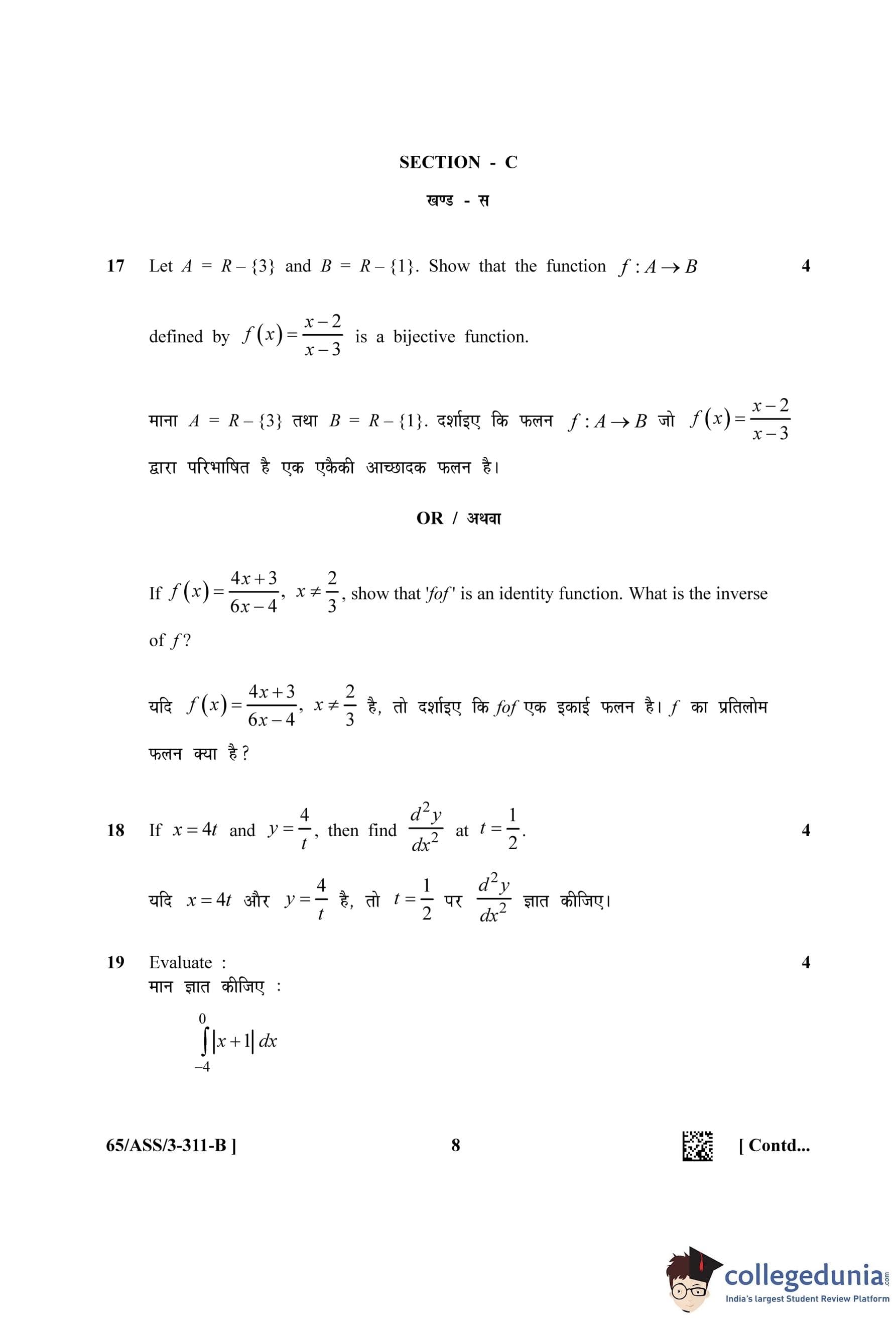
Comments