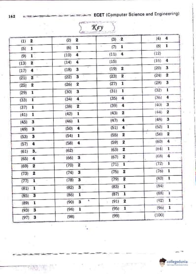
TS ECET 2016 Computer Science and Engineering Question paper with answer key pdf conducted on May 15, 2016 is available for download. The exam was successfully organized by Jawaharlal Nehru Technological University Hyderabad. The question paper comprised a total of 100 questions.
TS ECET 2016 Computer Science and Engineering Question Paper with Answer Key PDFs
| TS ECET 2016 Computer Science and Engineering Question Paper PDF | TS ECET 2016 Computer Science and Engineering Answer Key PDF |
|---|---|
| Download PDF | Download PDF |







Comments