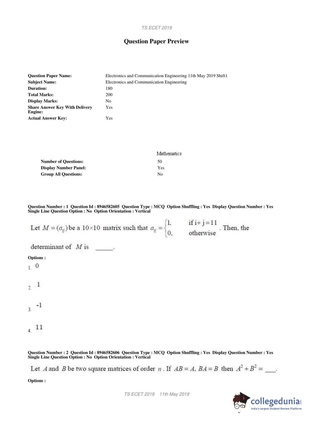
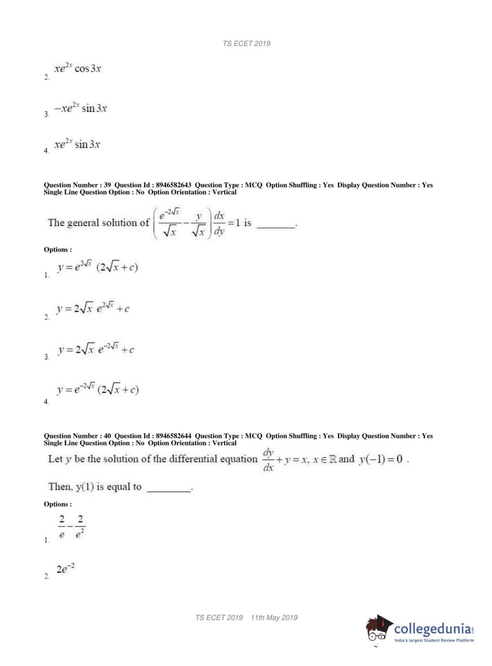
TS ECET 2019 ELECTRONICS & COMMUNICATION ENGINEERING Question paper with answer key pdf conducted on May 11, 2019 in Shift 1 is available for download. The exam was successfully organized by Jawaharlal Nehru Technological University Hyderabad. The question paper comprised a total of 200 questions.
TS ECET 2019 ELECTRONICS & COMMUNICATION ENGINEERING Question Paper with Answer Key PDFs Shift 1
| TS ECET 2019 ELECTRONICS & COMMUNICATION ENGINEERING Question Paper PDF | TS ECET 2019 EELECTRONICS & COMMUNICATION ENGINEERING Answer Key PDF |
|---|---|
| Download PDF | Available Soon |







Comments