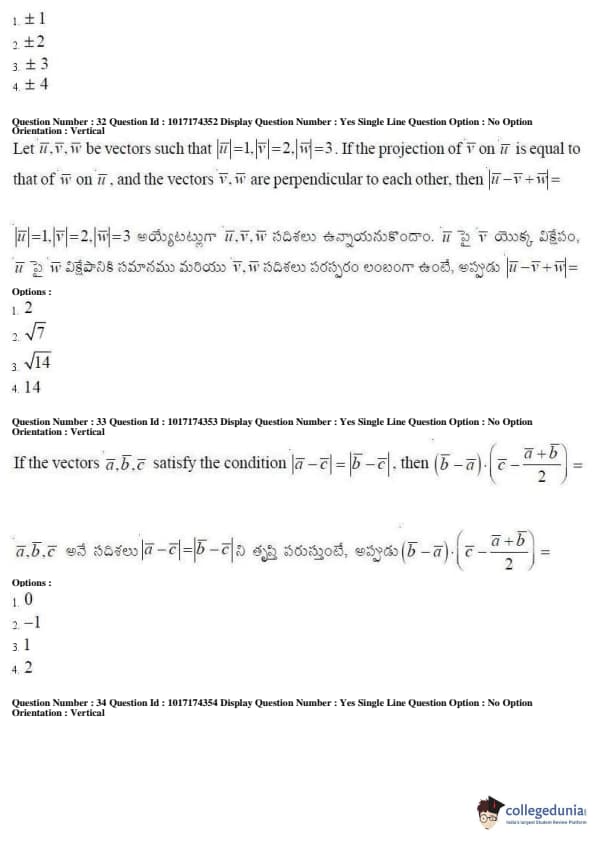
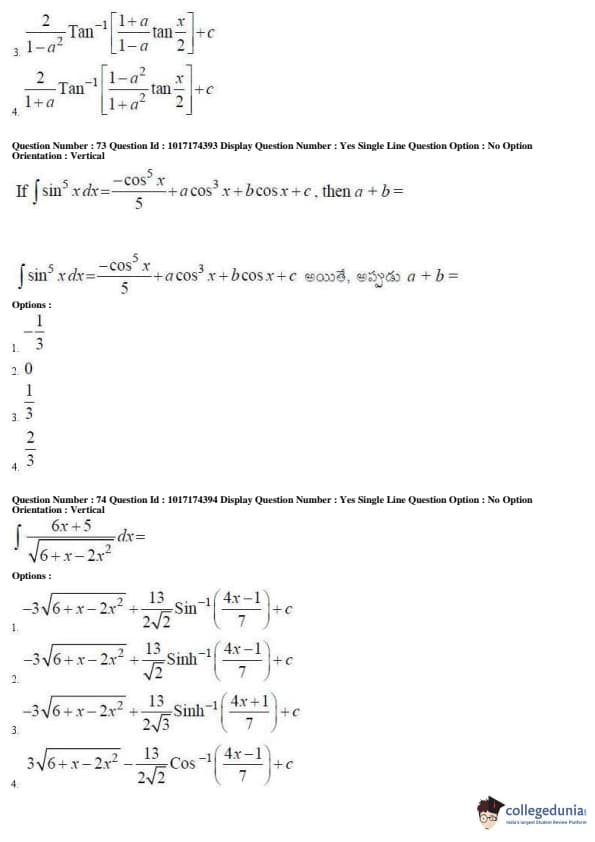
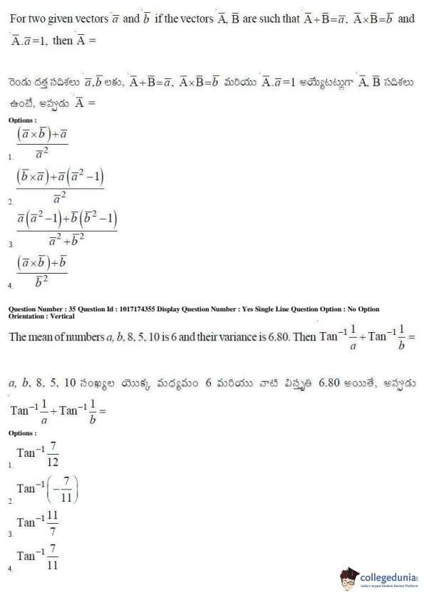
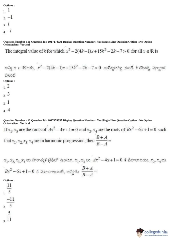
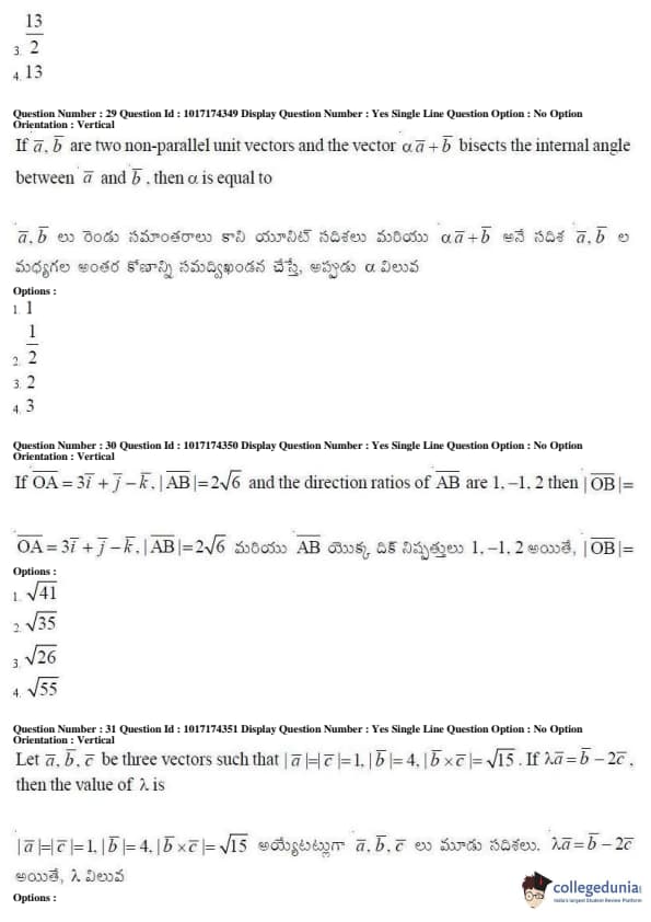
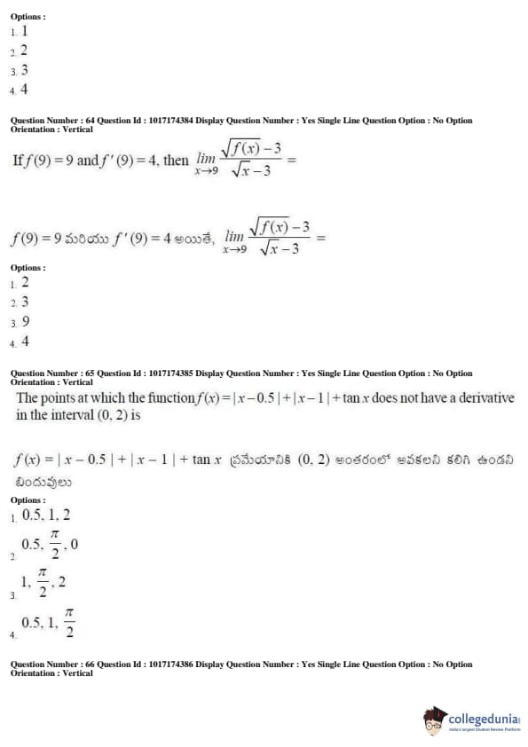
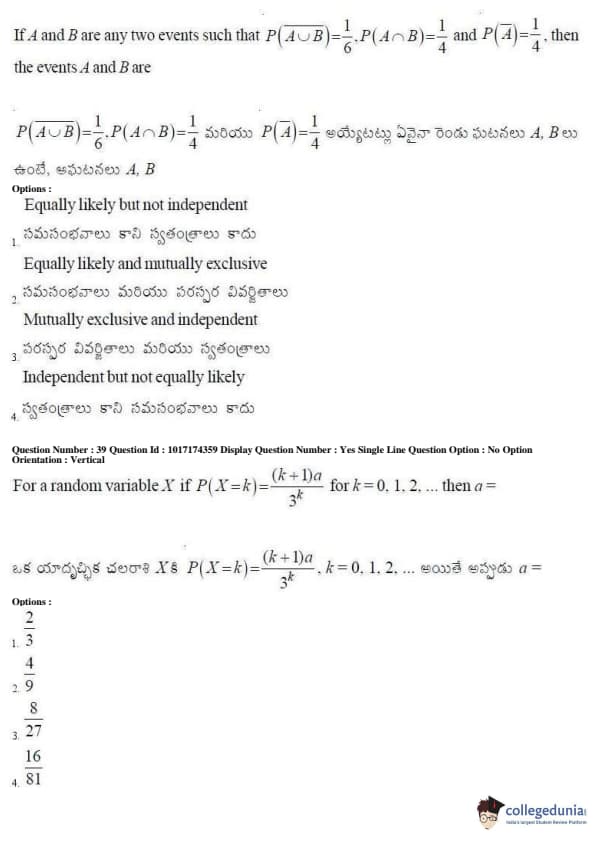
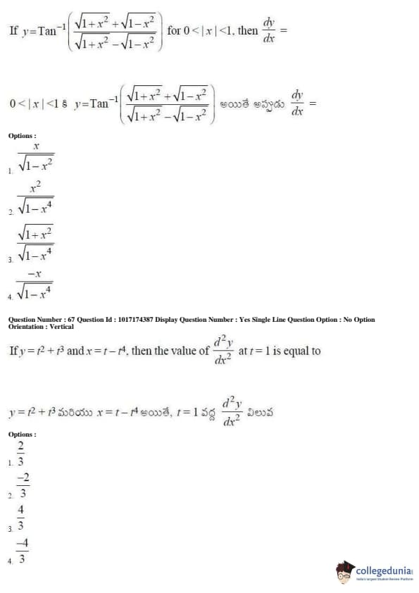
AP EAPCET 2017 Engineering Question paper with answer key pdf conducted on April 25, 2017 in Afternoon Session 2:30 PM to 5:30 PM is available for download. The exam was successfully organized by Jawaharlal Nehru Technological University, Kakinada (JNTUK). The question paper comprised a total of 160 questions divided among 3 sections.
AP EAPCET 2017 Engineering Question Paper with Answer Key PDFs Afternoon Session
| AP EAPCET 2017 Engineering Question Paper PDF | AP EAPCET 2017 Engineering Answer Key PDF |
|---|---|
| Download PDF | Download PDF |







Comments