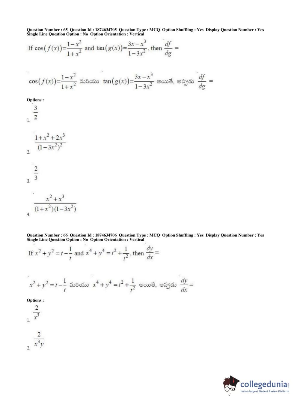
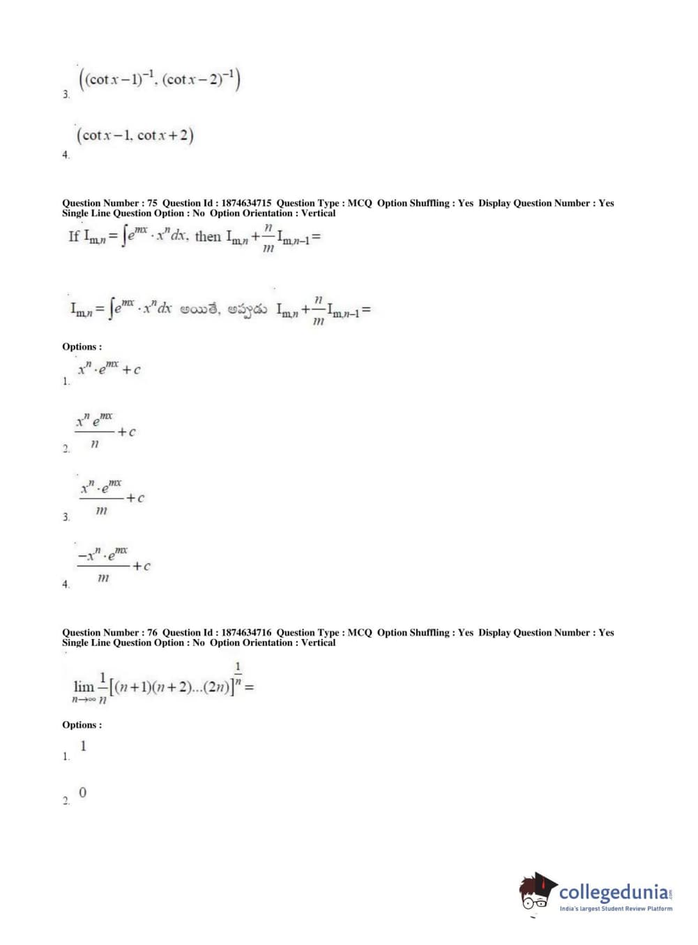
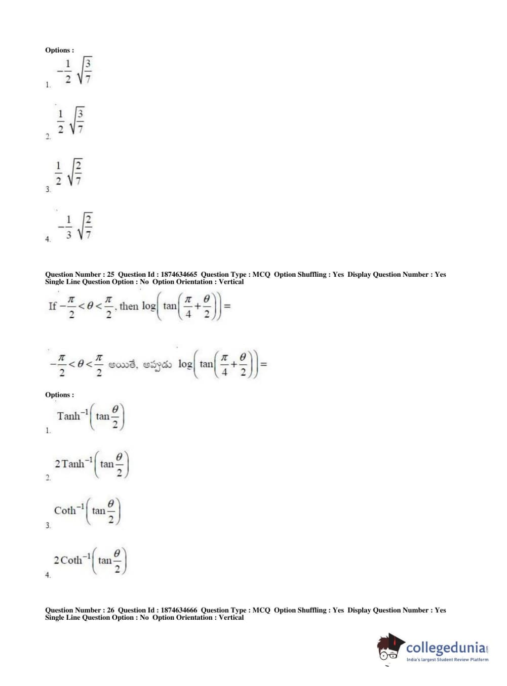
AP EAPCET 2019 Engineering Question paper with answer key pdf conducted on April 23, 2019 is available for download. The exam was successfully organized by Jawaharlal Nehru Technological University, Kakinada (JNTUK). The question paper comprised a total of 160 questions divided among 3 sections.
AP EAPCET 2019 Engineering Question Paper with Answer Key PDFs
| AP EAPCET 2019 Engineering Question Paper PDF | AP EAPCET 2019 Engineering Answer Key PDF |
|---|---|
| Download PDF | Download PDF |







Comments