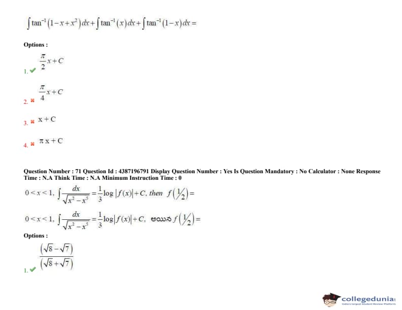
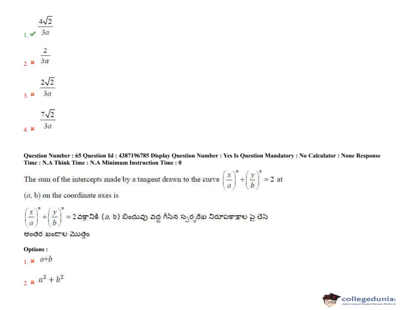
AP EAPCET 2022 July 8 Shift-1 Question Paper is available for download. The exam was conducted from 09:00 AM to 12:00 Noon. The question paper has a total of 160 questions. Mathematics had 80 questions, Physics and Chemistry had 40 questions each in AP EAPCET 2022 July 8 Shift-1 question Paper. The question paper was rated moderate to difficult in terms of overall difficulty. Check AP EAPCET 2022 July 8 Shift 1 Paper Analysis
Download AP EAPCET July 8 Shift-1 Question Paper from the below table
AP EAPCET 2022 July 8 Shift-1 Question Paper
| AP EAPCET 2022 Question Paper PDF | AP EAPCET 2022 Answer Key PDF |
|---|---|
| Download PDF | Download PDF |
Must Check:
AP EAPCET Previous Year Question Papers
| AP EAPCET 2021 Question Paper | AP EAPCET 2020 Question Papers | AP EAPCET 2019 Question Papers |
| AP EAPCET 2018 Question Papers | AP EAPCET 2017 Question Paper | AP EAPCET Question Papers |







Comments