AP EAPCET 2022 July 8 Shift 2 Question Paper is available for download. The exam was conducted from 03:00 PM to 06:00 PM. The question paper had a total of 160 questions. Mathematics had 80 questions, Physics and Chemistry had 40 questions each in AP EAPCET 2022 July 8 Shift 2 Question Paper. The difficulty level of the question was rated moderate. Check AP EAPCET 2022 July 8 Shift 2 Paper Analysis
Download AP EAPCET Day 5- Shift 2 Question Paper from the below table
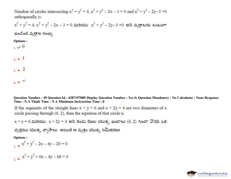
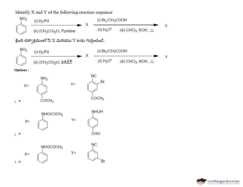
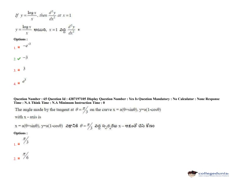
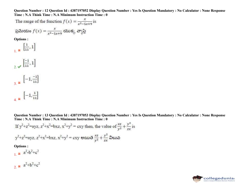
AP EAPCET 2022 July 8 Shift-2 Question Paper
| AP EAPCET 2022 Question Paper PDF | AP EAPCET 2022 Answer Key PDF |
|---|---|
| Download PDF | Download PDF |
Must Check:
AP EAPCET Previous Year Question Papers
| AP EAPCET 2021 Question Paper | AP EAPCET 2020 Question Papers | AP EAPCET 2019 Question Papers |
| AP EAPCET 2018 Question Papers | AP EAPCET 2017 Question Paper | AP EAPCET Question Papers |







Comments