AP EAPCET 2023 Question Paper May 23 Shift 2 is available for download here. AP EAPCET 2023 BiPC Question Paper May 23 Shift 2 consisted of four sections i.e. Botany, Zoology, Physics and Chemistry.
AP EAPCET (AP EAMCET) 2023 Question Paper included 160 MCQ-based questions in total, 40 from Botany, 40 from Zoology, 40 from Physics and 40 from chemistry. Each candidate will be awarded +1 for correct answers, however, there will be no negative marking for incorrect responses. Students got 3 hours to attempt AP EAPCET 2023 Question Paper. Check AP EAPCET Exam Pattern 2023
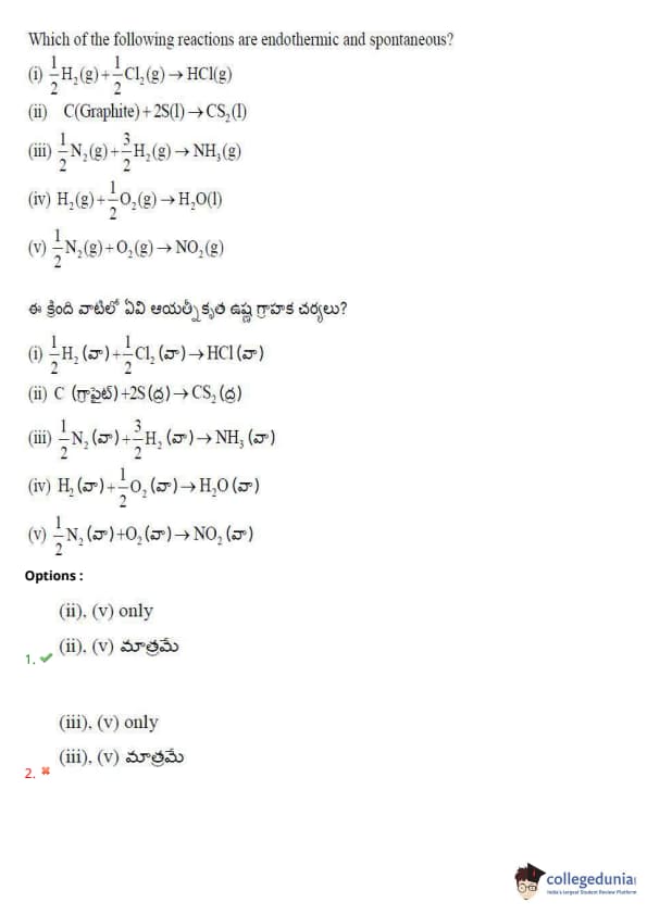
AP EAPCET 2023 Question Paper May 23 Shift 2 PDF Download
| Question Paper PDF | Answer Key PDF |
|---|---|
| Download PDF | Download PDF |
AP EAPCET 2023 Paper Analysis May 23 Shift 2
AP EAPCET 2023 paper analysis May 23 Shift 2 is available. Candidates can check AP EAPCET paper analysis by clicking on the link given below.
Also Check:
AP EAPCET Previous Year Question Paper
| Particulars | Details |
|---|---|
| AP EAPCET Question Paper 2022 | Check Here |
| AP EAPCET Question Paper 2021 | Check Here |
| AP EAPCET Question Paper 2020 | Check Here |
| AP EAPCET Question Paper 2019 | Check Here |
| AP EAPCET Question Paper 2018 | Check Here |
| AP EAPCET Question Paper 2017 | Check Here |







Comments