The JNTUK conducted the AP EAPCET Engineering Exam 2025 on May 21, Shift 1, from 9:00 AM to 12:00 PM, across 117 Exam Centers.
The AP EAPCET 2025 Question Paper includes 160 MCQs: 80 of Mathematics, 40 of Physics, and 40 of Chemistry, and carries 1 mark each with no negative marking. As per initial analysis, mathematics was time-consuming, physics was concept-based, and chemistry was moderately easy.
AP EAPCET 2025 Question Paper with Answer Key PDF May 21 Shift 1
| AP EAPCET 2025 May 21 Shift 1 Question Paper with Answer Key | Download PDF | Check Solution |

The domain and range of a real valued function \( f(x) = \cos (x-3) \) are respectively.
If \( f : \mathbb{R} \to \mathbb{R} \) and \( g : \mathbb{R} \to \mathbb{R} \) are two functions defined by \( f(x) = 2x - 3 \) and \( g(x) = 5x^2 - 2 \), then the least value of the function \((g \circ f)(x)\) is:
For all \( n \in \mathbb{N} \), if \( 1^3 + 2^3 + 3^3 + \cdots + n^3 > x \), then a value of \( x \) among the following is:
If \( A \) and \( B \) are both \( 3 \times 3 \) matrices, then which of the following statements are true?
\[ \begin{cases} (i) \quad AB = 0 \implies A = 0 or B = 0
(ii) \quad AB = I_3 \implies A^{-1} = B
(iii) \quad (A-B)^2 = A^2 - 2AB + B^2 \end{cases} \]
If \[ A = \begin{bmatrix} 1 & -1 & 2
-2 & 3 & -3
4 & -4 & 5 \end{bmatrix} \]
and \( A^T \) represents the transpose of \( A \), then calculate \( AA^T - A - A^T \).
If \[ A = \begin{bmatrix} x & 2 & 1
-2 & y & 0
2 & 0 & -1 \end{bmatrix}, \]
where \( x \) and \( y \) are non-zero real numbers, trace of \( A = 0 \), and determinant of \( A = -6 \), then the minor of the element 1 of \( A \) is:
If \( i = \sqrt{-1} \), then \[ \sum_{n=2}^{30} i^n + \sum_{n=30}^{65} i^{n+3} = \]
If \( z_1 \) and \( z_2 \) are two of the \( n^{th} \) roots of unity such that the line segment joining them subtends a right angle at the origin, then for a positive integer \( k \), \( n \) takes the form:
\[ \left( \sqrt{2} + 1 + i \sqrt{2} - 1 \right)^8 = ? \]
If the harmonic mean of the roots of the equation \[ \sqrt{2} x^2 - b x + \left( 8 - 2\sqrt{5} \right) = 0 \]
is 4, then the value of \( b \) is:
All the values of \(k\) such that the quadratic expression \(2kx^2 - (4k+1)x + 2\) is negative for exactly three integral values of \(x\), lie in the interval:
If \(\alpha\) and \(\beta\) (\(\alpha > \beta\)) are the multiple roots of the equation \[ 4x^4 + 4x^3 - 23x^2 - 12x + 36 = 0, \]
then find \(2\alpha - \beta\).
If \(\alpha, \beta, \gamma\) are the roots of the equation \[ x^3 - 13x^2 + kx + 189 = 0 \]
such that \(\beta - \gamma = 2\), then find the ratio \(\beta + \gamma : k + \alpha\).
The number of all possible positive integral solutions of the equation \(xyz = 30\) is:
The number of all five-letter words (with or without meaning) having at least one repeated letter that can be formed by using the letters of the word INCONVENIENCE is:
The number of ways of arranging all the letters of the word PERFECTION such that there must be exactly two consonants between any two vowels is:
If \((1+x)^n = \sum_{r=0}^n \binom{n}{r} x^r\), then the value of \[ C_0 + (C_0 + C_1) + (C_0 + C_1 + C_2) + \cdots + (C_0 + C_1 + \cdots + C_n) \]
is:
If \(x\) is so large that terms containing \(x^{-3}\), \(x^{-4}\), \(x^{-5}\),……... can be neglected, then the approximate value of \[ \left(\frac{3x - 5}{4x^2 + 3}\right)^{-4/5} \]
is:
Let \( H(x) = 3x^4 + 6x^3 - 2x^2 + 1 \) and \( g(x) \) be a linear polynomial. If \[ \frac{H(x)}{(x-1)(x+1)(x-2)} = f(x) + \frac{g(x)}{(x-1)(x+1)(x-2)}, \]
then find \( H(-1) + 2H(2) - 3H(1) \).
If \(630^\circ < \theta < 810^\circ\) and \(\tan \theta = -\frac{7}{24}\), then find \(\cos \left(\frac{\theta}{4}\right)\).
For \(\theta \in \left[-\frac{\pi}{2}, \frac{\pi}{2}\right]\), if \(2\cos \theta + \sin \theta = 1\), and \(7\cos \theta + 6 \sin \theta = k\), then the possible values of \(k\) are:
Evaluate \[ \sum_{k=0}^{12} \sin\left( (k+1) \frac{\pi}{6} + \frac{\pi}{4} \right) \sin \left( \frac{k \pi}{6} + \frac{\pi}{4} \right) \]
Number of solutions of the equation \[ 2 \sin^2 \theta - 3 \cos^2 \theta = \sin \theta \cos \theta \]
in the interval \((- \pi, \pi)\) is:
Evaluate \[ \tan^{-1} \frac{\sqrt{8} - 2\sqrt{15}}{\sqrt{15} + 1} + \tan^{-1} \frac{1}{\sqrt{5}} \]
If \(\cos \alpha = \sec \beta\), then \(\beta =\)
In \(\triangle ABC\), the sum of the lengths of two sides is \(x\) and the product of those lengths is \(y\). If \(c\) is the length of its third side and \(x^2 - c^2 = y\), then the circumradius of that triangle is:
If the area of triangle \(ABC\) is \(4\sqrt{5}\) sq. units, length of the side \(CA\) is 6 units and \(\tan \frac{B}{2} = \frac{\sqrt{5}}{4}\), then its smallest side is of length:
In \(\triangle ABC\), if \(r_1 = 2r_2 = 3r_3\), then find the ratio \(a : b\).
Let \(\vec{2i} - \vec{j} - \vec{k}, \vec{5i} + \vec{j} - 2\vec{k}, -13\vec{i} - 11 \vec{j} + 4 \vec{k}\) be the position vectors of three points \(A, B, C\) respectively. If \(\overrightarrow{AB} = \lambda \overrightarrow{BC}\) and \(\overrightarrow{AC} = \mu \overrightarrow{CB}\), then \(\lambda + \mu =\)
Let \(\vec{a}\), \(\vec{b}\) be position vectors of points \(A\) and \(B\) respectively. \(C\) and \(D\) are points on the line \(AB\) such that \(\overrightarrow{AB}, \overrightarrow{AC}\) and \(\overrightarrow{BD}, \overrightarrow{BA}\) are two pairs of like vectors. If \(\overrightarrow{AC} = 3 \overrightarrow{AB}\) and \(\overrightarrow{BD} = 2 \overrightarrow{BA}\), then \(\overrightarrow{CD} =\)
If \(\vec{a}, \vec{b}, \vec{c}\) are three unit vectors such that \[ |\vec{a} - \vec{b}|^2 + |\vec{b} - \vec{c}|^2 + |\vec{c} - \vec{a}|^2 = 15, \]
then \[ |\vec{a} - \vec{b} - \vec{c}|^2 - 4(\vec{b} \cdot \vec{c}) = ? \]
If \(\vec{a} = \vec{i} + p \vec{j} - 3 \vec{k}, \vec{b} = p \vec{i} - 3 \vec{j} + \vec{k}, \vec{c} = -3 \vec{i} + \vec{j} + 2 \vec{k}\) are three vectors such that \[ |\vec{a} \times \vec{b}| = |\vec{a} \times \vec{c}|, \]
then \(p =\)
If \(\vec{a} = 2 \vec{i} - 3 \vec{j} + 4 \vec{k}, \vec{b} = \vec{i} + 2 \vec{j} - \vec{k}, \vec{c} = -3 \vec{i} - \vec{j} + 2 \vec{k}\) and \(\vec{d} = \vec{i} + \vec{j} + \vec{k}\) are four vectors, then evaluate \[ (\vec{a} \times \vec{b}) \times (\vec{c} \times \vec{d}) = ? \]
The variance of the ungrouped data \(2, 12, 3, 11, 5, 10, 6, 7\) is:
If \(A\) and \(B\) are events of a random experiment such that \[ P(A \cup B) = \frac{3}{4}, \quad P(A \cap B) = \frac{1}{4}, \quad P(\overline{A}) = \frac{2}{3}, \]
then \(P(\overline{A} \cap B)\) is:
Two cards are drawn at random from a pack of 52 playing cards. If both the cards drawn are found to be black in colour, then the probability that at least one of them is a face card is:
A person is known to speak the truth in 3 out of 4 occasions. If he throws a die and reports that it is six, then the probability that it is actually six is:
70% of the total employees of a factory are men. Among the employees of that factory, 30% of men and 15% of women are technical assistants. If an employee chosen at random is found to be a technical assistant, then the probability that this employee is a man is:
If a discrete random variable \(X\) has the probability distribution \[ P(X = x) = k \frac{2^{2x+1}}{(2x+1)!}, x=0,1,2,…….., ]
then find \(k\).
A random variable \(X\) follows a binomial distribution in which the difference between its mean and variance is 1. If \(2P(x=2) = 3P(x=1)\), then \(n^2 P(x>1)\) is:
If the distance of a variable point \(P\) from a point \(A(2,-2)\) is twice the distance of \(P\) from the Y-axis, then the equation of locus of \(P\) is:
If the transformed equation of the equation \[ 2x^2 + 3xy - 2y^2 - 17x + 6y + 8 = 0 \]
after translating the coordinate axes to a new origin \((\alpha, \beta)\) is \[ aX^2 + 2h XY + bY^2 + c = 0, \]
then find \(3\alpha + c\).
Point \(P(6,4)\) lies on the line \(x - y - 2 = 0\). If \(A(\alpha, \beta)\) and \(B(\gamma, \delta)\) are two points on this line lying on either side of \(P\) at a distance of 4 units from \(P\), then find \(\alpha^2 + \beta^2 + \gamma^2 + \delta^2\).
If the straight line \[ 2x + 3y + 1 = 0 \]
bisects the angle between two other straight lines, one of which is \[ 3x + 2y + 4 = 0, \]
then the equation of the other straight line is:
If the slopes of both the lines given by \[ x^2 + 2hxy + 6y^2 = 0 \]
are positive and the angle between these lines is \[ \tan^{-1} \left(\frac{1}{7}\right), \]
then the product of the perpendiculars drawn from the point \((1,0)\) to the given pair of lines is:
Problem: If one of the lines represented by \(ax^2 + 2hxy + by^2 = 0\) bisects the angle between the positive coordinate axes, then identify the correct relationship between \(a\), \(b\), and \(h\).
Identify the correct option from the following:
Problem: From a point \( P \) on the circle \( x^2 + y^2 = 4 \), two tangents are drawn to the circle \( x^2 + y^2 - 6x - 6y + 14 = 0 \). If \( A \) and \( B \) are the points of contact of those lines, then the locus of the center of the circle passing through the points \( P \), \( A \), and \( B \) is:
Identify the correct option from the following:
If the product of the lengths of the perpendiculars drawn from the ends of a diameter of the circle \( x^2 + y^2 = 4 \) onto the line \( x + y + 1 = 0 \) is maximum, then the two ends of that diameter are:
If the intercepts made by a variable circle on the X-axis and Y-axis are 8 and 6 units respectively, then the locus of the center of the circle is:
The slope of the non-vertical tangent drawn from the point \((3,4)\) to the circle \(x^2 + y^2 = 9\) is:
If the acute angle between the circles \(S \equiv x^2 + y^2 + 2kx + 4y - 3 = 0\) and \(S^1 \equiv x^2 + y^2 - 4x + 2ky + 9 = 0\) is \(\cos^{-1}\left(\frac{3}{8}\right)\) and the centre of \(S^1 = 0\) lies in the first quadrant, then the radical axis of \(S = 0\) and \(S^1 = 0\) is:
If \(L\) is the normal drawn to the parabola \(y^2 = 8x\) at the point \(t = \frac{1}{\sqrt{2}}\), then the foot of the perpendicular drawn from the focus of the parabola onto the normal \(L\) is:
If tangents are drawn to the ellipse \(x^2 + 2 y^2 = 2\), then the locus of the midpoints of the intercepts made by the tangents between the coordinate axes is:
One of the latus recta of the hyperbola \(\frac{x^2}{a^2} - \frac{y^2}{b^2} = 1\) subtends an angle \(2 \tan^{-1} \left(\frac{3}{2}\right)\) at the centre of the hyperbola. If \(b^2 = 36\) and \(e\) is the eccentricity of the hyperbola, then find \(\sqrt{a^2 + e^2}\).
If the equation of the hyperbola having foci at \((8,3)\), \((0,3)\) and eccentricity \( \frac{4}{3} \) is \[ \frac{(x-\alpha)^2}{p} - \frac{(y-\beta)^2}{q} = 1, \]
then find \( p + q \).
G(1,0) is the centroid of the triangle ABC. If A = (1, -4, 2) and B = (3, 1, 0), then AG\(^2\) + CG\(^2\) =
Identify the correct option from the following:
If the sum of the distances of the point (3, 4, 0), \(\alpha \in \mathbb{R}\) from X-axis, Y-axis and Z-axis is minimum, then \(\sec \alpha\) =
Identify the correct option from the following:
If the equation of the plane passing through the point (2, -1, 3) and perpendicular to each of the planes \(3x - 2y + z = 8\) and \(x + y + z = 6\) is \(lx + my + nz = 1\), then \(4m + 2n - 3l\) =
Identify the correct option from the following:
\(\lim_{x \to 0} \frac{(\sqrt{2})^{-\sqrt{1 + \cos x}}}{15 + \cos 2x - 4} =\)
Identify the correct option from the following:
If a real valued function \[ f(x) = \begin{cases} \frac{x^2 (a + 3) x (a + 1)}{x + 3}, & x \neq -3
-\frac{5}{2}, & x = -3 \end{cases} \]
is continuous at \(x = -3\), then \(\lim_{x \to -3} [x^2 x + 1] =\)
Identify the correct option from the following:
\(\lim_{x \to 0} \frac{x \tan 2x - 2x \tan x}{(1 - \cos 3x) (\cos x - \cot x)^2} =\)
Identify the correct option from the following\nobreakspace the following:
Match the functions in Column I with their properties in Column II.
\[ \begin{array}{ll} Column I & Column II
A) |x| & I. Strictly increasing and continuous in (-1,1)
B) \sqrt{|x|} & II. Continuous but not differentiable in (-1,1)
C) x + |x| & III. Differentiable in (-1,1)
D) |x - |x|| + |x + 1| & IV. Differentiable in (-1,0), (0,1) \end{array} \]
The correct match is:
Identify the correct option from the following:
The derivative of \(\sec^{-1} \left( \frac{1}{2x^2 - 1} \right)\) with respect to \(\sqrt{1 - x^2}\) at \(x = \frac{1}{2}\) is
Identify the correct option from the following:
If \(5f(x) + 3f \left( \frac{1}{x} \right) = x + 2\) and \(y = x f(x)\), then \(\frac{dy}{dx}\) at \(x = 1\) is
Identify the correct option from the following:
The area (in square units) of the triangle formed by the X-axis, the tangent and the normal drawn at (1, 1) to the curve \(x^3 + y^3 = 2xy\) is
Identify the correct option from the following:
The value of \(c\) of Rolle's theorem for the function \(f(x) = 2 \sin x + \sin 2x\) in the interval \([0, \pi]\) is
Identify the correct option from the following:
If the function \(y = g(x)\) represents the slopes of the tangents drawn to the curve \(y = 3x^3 - 5x^2 - 12x^2 + 18x - 3\) strictly increasing then the domain of \(g(x)\) is
Identify the correct option from the following:
Consider the following functions
I) \(f(x) = \left| \frac{1}{2 - x}, x < \frac{1}{2} \right|\)
II) \(f(x) = \left| \frac{1}{(2 - x)^2}, x \neq 2 \right|\)
III) \(f(x) = |x|\)
IV) \(f(x) = |x|\)
Then on \([0, 1]\), Lagrange's mean value theorem is applicable to the functions
Identify the correct option from the following:
\(\int \frac{e^{\sin x} (\sin 2x - 8 \cos x)}{2 (\sin x - 3)^2} \, dx =\)
Identify the correct option from the following:
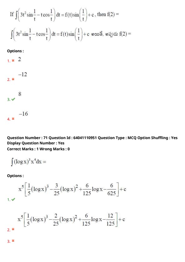
If \(\int \left[ 3t^2 \sin^{-1} \left( \frac{1}{-t \cos t} \right) \right] \, dt = f(t) \left( \sin^{-1} \left( \frac{1}{t} \right) \right) + c\), then \(f(2) =\)
Identify the correct option from the following:
\(\int (x^3 y^3) \, dx =\)
Identify the correct option from the following:
\(\int \frac{\sin 2x}{\sin^2 x + 3 \cos x - 3} \, dx =\)
Identify the correct option from the following:
If \(\int \frac{dx}{\sin^3 x + \cos^3 x} = A \log \left| \sqrt{2} + t \right| + B \tan^{-1} (t) + c\), then \(\left( \frac{B}{A}, t \right) =\)
Identify the correct option from the following:
\(\int_{\frac{\pi}{4}}^{\frac{\pi}{2}} \frac{\cos x - \sin x}{\sin 2x} \, dx =\)
Identify the correct option from the following:
\(\int_0^{\frac{\pi}{2}} \frac{\sin x}{\cos x + \sin x} \, dx =\)
Identify the correct option from the following:
\(\lim_{n \to \infty} \left[ \frac{n+1}{n^2+1^2} + \frac{n+2}{n^2+2^2} + \frac{n+3}{n^2+3^2} + \dots + \frac{n+2n}{n^2+(2n)^2} \right] =\)
Identify the correct option from the following:
\(\int_0^\pi \frac{x \sin x}{1 + \cos^2 x} \, dx =\)
Identify the correct option from the following:
The differential equation corresponding to the family of parabolas whose axis is along \(x = 1\) is
Identify the correct option from the following:
The general solution of the differential equation \(\frac{dy}{dx} + \frac{y}{x} = \frac{y}{x} e^x\) is
Identify the correct option from the following:
The general solution of the differential equation \(\left( x \sin \frac{y}{x} \right) \frac{dy}{dx} = y \sin \frac{y}{x} - x\) is
Identify the correct option from the following:
Among the following, the physical quantity having the dimensions of Young's modulus is
Identify the correct option from the following:
If a car travels 40% of the total distance with a speed \(v_1\), then the remaining distance with the car is
Identify the correct option from the following:
If bullets are fired in all possible directions from same point with equal velocity of 10 m s\(^{-1}\) and an angle of projection 45\(^\circ\), then the area covered by the bullets on the ground nearby (acceleration due to gravity 10 m s\(^{-2}\)) is
Identify the correct option from the following:
A ball is projected from a point with a speed \(v\), at a certain angle with the horizontal. From the same point and at the same instant, a person starts running with a constant speed \(0.5v\), to catch the ball. If the person catches the ball after some time, then the angle of projection of the ball is
Identify the correct option from the following:
The power required for an engine to maintain a constant speed of 50 m s\(^{-1}\) for a train of mass 3 \(\times\) 10\(^5\) kg on rough rails is (the coefficient of kinetic friction between the rails and wheels of the train is 0.05 and acceleration due to gravity = 10 m s\(^{-2}\))
Identify the correct option from the following:
As shown in the figure, a force \(F\) is applied on a block of mass \(\frac{\sqrt{3}}{2}\) kg placed on a rough horizontal surface. The maximum value of \(F\) for the block not to move is (coefficient of static friction between the block and the surface is \(\frac{1}{2\sqrt{3}}\) and acceleration due to gravity = 10 m s\(^{-2}\))
Identify the correct option from the following:
The linear momentum of a body of mass 8 kg is 24 kg m s\(^{-1}\). If a constant force of 24 N acts on the body in the direction of the motion for a time of 3 s, then the increase in the kinetic energy of the body is
Identify the correct option from the following:
A person holds a ball of mass 0.25 kg in his hand and throws it, so that it leaves his hand with a speed of 12 m s\(^{-1}\). In the process, if his hand moved through a distance of 0.9 m, then the net force acted on the ball is
Identify the correct option from the following:
If the radius of gyration of a thin circular ring about an axis passing through its centre and perpendicular to its plane is \(10\sqrt{2}\) cm, then its radius about its diameter is
Identify the correct option from the following:
If a wheel starting from rest is rotating with an angular acceleration of \(\pi\) rad s\(^{-2}\), then the number of rotations made by the wheel in the 6th second is
Identify the correct option from the following:
If the displacement \( y \) (in cm) of a particle executing simple harmonic motion is given by the equation: \[ y = 5 \sin(3 \pi t) + 5 \sqrt{3} \cos(3 \pi t) \]
then the amplitude of the particle is:
The angular frequency of a block of mass 0.1 kg oscillating with the help of a spring of force constant 2.5 N m\(^{-1}\) is:
An infinite number of objects each 1 kg mass are placed on the x-axis at \(\pm 1 \, m, \pm 2 \, m, \pm 4 \, m, \pm 8 \, m ...\). The magnitude of the resultant gravitational potential (in SI units) at \( x = 0 \) is:
(G = Universal gravitational constant)
As shown in the figure, a light uniform rod PQ of length 150 cm is suspended from the ceiling horizontally using two metal wires A and B tied to the ends of the rod. The ratios of the radii and the Young’s modulus of the materials of the two wires A and B are respectively 2 : 3 and 3 : 2. The position at which a weight should be suspended from the rod such that the elongations of the two wires become equal is
If water flows with a velocity of 20 cm/s in a pipe of radius 2 cm, then the flow is
(The coefficient of viscosity of water is \(10^{-3} \, \mathrm{kg\,m^{-1}s^{-1}}\) and density of water is \(10^{3} \, \mathrm{kg\,m^{-3}}\))
An electric kettle takes 4 A current at 220 V. If the entire electric energy is converted into heat energy, then the time (in minutes) taken to increase the temperature of 1 kg of water from 34 °C to 100 °C is
According to Zeroth Law of Thermodynamics, the physical quantity which is same for two bodies in thermal equilibrium is
If a refrigerator of coefficient of performance (COP) 5 has a freezer at a temperature of -13 °C, then the room temperature is
From the figure shown for a thermodynamic system, match the curves with their respective thermodynamic processes (P - Pressure and V - Volume)
Curve | Process
I | a) Adiabatic
II | b) Isobaric
III | c) Isochoric
IV | d) Isothermal
If 2 moles of an ideal monoatomic gas at a temperature of 27 °C is mixed with 4 moles of another ideal monoatomic gas at a temperature of 327 °C, then the temperature of the mixture of the two gases is
Two sound waves of wavelengths 99 cm and 100 cm produce 10 beats in a time of \( t \) seconds. If the speed of sound in air is 330 m/s, then the value of \( t \) in seconds is
If the far point of a short sighted person is 400 cm, then the power of the lens required to enable him to see very distant objects clearly is
In Young’s double slit experiment, the wavelengths of red and blue lights used are \(7.5 \times 10^{-5}\) cm and \(5 \times 10^{-5}\) cm respectively. If the \(n^{th}\) bright fringe of red color coincides with \((n+1)^{th}\) bright fringe of blue colour, then the value of \( n \) is
The force between two point charges kept with a separation of 9 cm in air is 98 N. If a dielectric slab of constant 4, thickness 6 cm and another dielectric slab of constant 9, thickness 3 cm are introduced between the two charges, then the new force becomes
Three point charges shown in the figure lie along a straight line. The energy required to exchange the position of central charge with one of the negative charges is
A capacitor of capacitance 2\(\mu\)F is charged to 50 V and then disconnected from the source. Later the gap between the plates of the capacitor is filled with a dielectric material. If the energy stored in the capacitor is decreased by 25% of its initial value, then the dielectric constant of the dielectric material is
A wire of resistance 100 \(\Omega\) is stretched so that its length increases by 20%. The stretched wire is then bent in the form of a rectangle whose length and breadth are in the ratio 3 : 2. The effective resistance between the ends of any diagonal of the rectangle is
In a potentiometer experiment, when two cells of emfs \( E_1 \) and \( E_2 \) (\( E_2 > E_1 \)) are connected in series, the balancing length is 160 cm. If one of the cells is reversed, the balancing length decreases by 75%. If \( E_1 = 1.2 \, V \), then \( E_2 \) is
The magnetic field at a distance of 10 cm from a long straight thin wire carrying a current of 4 A is
A velocity selector is to be constructed to select ions with a velocity of 6 km/s. If the electric field used is 400 V/m, then the magnetic field to be used is
A closely wound solenoid of 1200 turns and area of cross-section 5 cm\(^2\) carries a current. If the magnetic moment of the solenoid is 1.2 J T\(^{-1}\), then the current through the solenoid is
If the magnetic field inside a solenoid is \(B\), then the magnetic energy stored in it per unit volume is
(\(c\) - speed of light in vacuum and \(\epsilon_0\) is permittivity of free space)
The resonant frequency of an LC circuit is \( f_0 \). If a dielectric slab of constant 16 is inserted completely between the plates of the capacitor, then the resonant frequency is
In a plane electromagnetic wave, the magnetic field is given by \(\mathbf{B} = 3 \times 10^{-7} \sin (100 \pi x + 10^{12} t)\, T\), then the wavelength of the wave is
(In the equation \(x\) is in metre and \(t\) is in seconds)
If the linear momentum of a proton is changed by \(p_0\), then the de Broglie wavelength associated with the proton changes by 0.25%. Then the initial linear momentum of the proton is
If an electron in the excited state falls to ground state, a photon of energy 5 eV is emitted, then the wavelength of the photon is nearly
An element X of a half-life of \(1.4 \times 10^9\) years decays to form another stable element Y. A sample is taken from a rock that contains both X and Y in the ratio 1 : 7. If at the time of formation of the rock, Y was not present in the sample, then the age of the rock in years is
A Zener diode of breakdown voltage 20 V is connected as shown in the given circuit. The current through Zener diode is
The voltage gains of two amplifiers connected in series are 8 and 12.5. If the voltage of the input signal is 200 \(\mu V\), then the voltage of the output signal is
If the sum of heights of transmitting and receiving antennas in line of sight communication is \(h\), then the height of receiving antenna, to have the range maximum is
When a metal surface is irradiated with light of frequency \( \nu \) Hz, the kinetic energy of emitted photoelectrons is \( x \) J. When the same metal is irradiated with light of frequency \( y \) Hz, the kinetic energy of emitted electrons is \(\frac{z}{3}\) J. What is the threshold frequency (in Hz) of the metal?
Identify the correct statements from the following:
I) Isotopes of an element show different chemical behaviour
II) Lyman series of lines of hydrogen spectrum appear in UV region
III) The oscillating electric and magnetic field components of electromagnetic radiation are perpendicular to each other and both are perpendicular to the direction of propagation of radiation
Match the following:
| List-I (Atomic number, Z) | List-II (Block) |
|---|---|
| A) 112 | I) ss |
| B) 116 | II) pp |
| C) 88 | III) dd |
| D) 100 | IV) ff |
In which of the following intramolecular H-bonding is absent?
Options:
- Salicylic acid
- Salicylaldehyde
- Quinol
- Catechol
Identify the correct set of molecules with zero dipole moment.
Consider the following statements:
Statement-I: If the intermolecular forces are stronger than thermal energy, the substance prefers to be in gaseous state.
Statement-II: Among all elements, the total number of elements available as gases at room temperature is 10.
Identify the conditions at which van der Waals equation of state changes to ideal gas equation.
Observe the following numbers:
I) 0.0063 II) 132.00 III) 1004
The number of significant figures in I, II and III respectively is
At 273 K the maximum work done when pressure on 10 g of hydrogen is reduced from 10 atm to 1 atm under isothermal, reversible conditions is
At 298 K, \(\Delta_r G^\circ\) for the reaction \(\frac{3}{2} O_2(g) \to O_3(g)\) is 165.469 kJ mol\(^{-1}\). What is the equilibrium constant for this reaction?
At temperature \(T(K)\), the solubility product of AgBr is \(4 \times 10^{-13}\). What is its solubility in 0.1 M KBr solution?
The following equilibrium is established at STP:
\[ B_2 (g) \rightleftharpoons 2B(g) \]
Atoms of B occupy 20% of total volume at STP. The total pressure of the system is 1 bar. What is its \(K_p\)? (STP volume = 22.7 L)
The volume (in mL) of 10 volume \(H_2O_2\) solution required to completely react with 200 mL of 0.4 M \(KMnO_4\) solution in acidic medium is
Which of the following statements is incorrect with reference to alkaline earth metals?
Consider the following statements:
Statement-I: The order of electronegativity of B, Al, In, Tl is \(B > Tl > Al > In\)
Statement-II: Boric acid is a weak protic acid
Which of the following does not exist?
Consider the following:
Assertion (A): CO is poisonous to living beings
Reason (R): CO binds to hemoglobin forming carboxyhaemoglobin, which is less stable than oxygen-hemoglobin complex.
Consider the following reaction sequence:
Vinylbenzene \(\xrightarrow{KMnO_4 + KOH, \Delta}\) X \(\xrightarrow{NaOH + CaO, \Delta}\) Y
'Y' can also be formed from
The IUPAC name of the following compound is
Gold crystallizes in fcc lattice. The edge length of the unit cell is 4 Å. The closest distance between gold atoms is 'x' Å and density of gold is 'y' g/cm\(^3\). What are x and y respectively?
248 g of ethylene glycol (C\(_2\)H\(_6\)O\(_2\)) is added to 200 g of water to prepare antifreeze. What is the molality of the resultant solution?
A solution containing 7.5 g of urea (molar mass = 60 g/mol) in 1 kg of water freezes at the same temperature as another solution containing 15 g of solute X in the same amount of water. The molar mass of X (g/mol) is
What is the \(E_{cell}\) (in V) of the following cell at 298 K?
\[ Zn(s) | Zn^{2+} (0.01 M) || Ni^{2+} (0.1 M) | Ni(s) \]
Given \(E^\circ_{Zn^{2+}/Zn} = -0.76 V\), \(E^\circ_{Ni^{2+}/Ni} = -0.25 V\), \(\frac{2.303 RT}{F} = 0.06 V\)
A \(\mathbf{A \to products}\) is a first order reaction. The following data is obtained for this reaction at temperature T(K). The value of \(x : y\) is
\[ \begin{array}{ccc} Rate \, (mol\, L^{-1} min^{-1}) & 0.2 & 0.4 & 1.0
[A] & 0.02\, M & x\, M & y\, M
\end{array} \]
Identify the correct statements from the following (only one):
I) Sulphur sol is an example of multimolecular colloid.
II) Starch sol is an example of associated colloid.
III) Artificial rubber is an example of macromolecular colloid.
Observe the following reactions
I) Sucrose (aq) + H2O ->[x] glucose + fructose
II) Glucose (aq) ->[y] ethanol + CO2
What are \(x\) and \(y\) respectively?
Identify the correct option from the following:
Kaolinite, a form of clay is the ore of metal X and malachite is the ore of metal Y. X and Y respectively are:
Gas X is obtained in Deacon's process. X on reacting with iodine and water gives:
The alloy that contains copper and Zn is \(x\) and the one that contains copper and Ni is \(y\). What are \(x\) and \(y\) respectively?
Which of the following complexes exhibit geometrical isomerism?
[Co(en)(NH3)2Cl2]Cl
[Co(NH3)4Cl2]Cl
[Co(en)3]Cl3
[Co(en)2Cl2]Br
In which polymer preparation, Ziegler–Natta catalyst is used?
The incorrect statement about amylose is:
The improper functioning of 'X' results in Addison's disease. Hormone 'Y' is responsible for the development of secondary female characteristics. 'X' and 'Y' are respectively:
Which of the following is not an example of an antacid?
When ethyl bromide and n-propyl bromide are allowed to react with Na metal in dry ether, the number of different alkanes formed is:
Observe the following reactions:
The order of reactivity of x, y, z towards SN1 reaction is:
Consider the following sequence of reactions:
The incorrect statement about compound \( z \) is:
What are x and y in the following reaction sequence?
Arrange the products I, II, III from the following reactions in decreasing order of their acid strength.
What are x and y in the following set of reactions?
assets.collegedunia.com/public/image/21_May_Shift_1_Ap_d78946d274fc77475761a228d98e23ce.pdfAP EAPCET 2025 MPC Difficulty Level
AP EAPCET 2025 in the MPC (Mathematics, Physics, Chemistry) stream is being held from May 21 to May 27 in various shifts.
The AP EAPCET 2025 Exam is expected to be of a moderate difficulty level with some changes from the previous years.
| Subject | No. of Questions | Expected Difficulty Level | Key Expectations |
|---|---|---|---|
| Mathematics | 80 | Moderate to Difficult | It is expected to be lengthy and have time-consuming calculations. |
| Physics | 40 | Moderate | It is expected that there will be application-based and conceptual questions |
| Chemistry | 40 | Easy to Moderate | Mostly direct questions, NCERT-based, with factual/formula questions will be there |
AP EAPCET 2025 MPC Important Topics
The AP EAPCET 2025 for the Engineering stream (MPC) will have 160 MCQs from Mathematics, Physics, and Chemistry, with a major focus on certain high-weightage topics, which can enhance the performance.
Most Important Topics for AP EAPCET 2025 Engineering are:
| Subject | Important Topics | Weightage (Approx.) |
| Mathematics |
|
High (40–50 questions) |
| Physics |
|
Moderate (15–20 questions) |
| Chemistry |
|
Moderate (15–20 questions) |







Comments