The AP EAPCET 2025 Engineering exam on May 21, Shift 2, was conducted from 2:00 PM to 5:00 PM in a CBT Mode across 117 Examination centers. The AP EAPCET 2025 Question Paper for May 21, Shift 2 is available here.
The AP EAPCET 2025 Question Paper includes 160 MCQs. 80 questions from Mathematics and 40 each from physics and chemistry, 1 mark is given for each correct answer, and there is no negative marking.
AP EAPCET 2025 Question Paper with Answer Key PDF May 21 Shift 2
| AP EAPCET 2025 May 21 Shift 2 Question Paper with Answer Key | Download | Check Solution |
The set of all real values of \(x\) such that \[ f(x) = \frac{[x] - 1}{\sqrt{[x]^2 - [x] - 6}} \]
is a real valued function is
View Solution
If a function \(f : \mathbb{Z} \to \mathbb{Z}\) is defined by \(f(x) = x - (-1)^x\), then \(f(x)\) is
View Solution
If \(2.5 + 5.9 + 8.13 + 11.17 + \ldots\) to \(n\) terms = \(an^3 + bn^2 + cn + d\), then find \(a - b - c - d\)
View Solution
If \[ A = \begin{bmatrix} 1 & 2 & -2
2 & -1 & 2
-1 & 1 & -2 \end{bmatrix}, \]
then find \(A + 2A^{-1}\).
4 & -5 & -4
0 & -2 & -7 \end{bmatrix}\)
View Solution
If \[ A = \begin{bmatrix} a & b & c
d & e & f
l & m & n \end{bmatrix} \]
is a matrix such that \(|A| > 0\) and \[ Adj(A) = \begin{bmatrix} 0 & 4 & -6
10 & 8 & 0
2 & 4 & -4 \end{bmatrix}, \]
then find the value of \[ \frac{cd}{fb} + \frac{ln}{em}. \]
View Solution
In solving a system of linear equations \(AX = B\) by Cramer's rule, in the usual notation, if \[ \Delta_1 = \begin{vmatrix} -11 & 1 & -7
-4 & 1 & -2
5 & 1 & 1 \end{vmatrix} \quad and \quad \Delta_3 = \begin{vmatrix} 4 & 1 & -11
3 & 1 & -4
4 & 1 & 5 \end{vmatrix}, \quad then X = ? \]
If \(a = \ln \left( \frac{1}{z^2} \right)\) and \(z\) is any non-zero complex number such that \(|z| = 1\), then which of the following is the correct expression for \(a\)?
View Solution
If \((3 + 4i)^{2025} = 5^{2023}(x + iy)\), then find \(\sqrt{x^2 + y^2}\).
View Solution
If \[ \left(\frac{\cos \theta + i \sin \theta}{\sin \theta + i \cos \theta}\right)^{2024} + \left(\frac{1 + \cos \theta + i \sin \theta}{1 - \cos \theta + i \sin \theta}\right)^{2025} = x + iy, \]
and \(x + y\) at \(\theta = \frac{\pi}{2}\) is
View Solution
The roots \(\alpha, \beta\) of the equation \[ x^2 - 6(k-1)x + 4(k-2) = 0 \]
are equal in magnitude but opposite in sign. If \(\alpha > \beta\), then the product of the roots of the equation \[ 2x^2 - \alpha x + 6\beta (\alpha + 1) = 0 \]
is
View Solution
If \( ax^2 + bx + e > 0 \) for all \( x \in \mathbb{R} \) and the expressions \( cx^2 + ax + b \) and \( ax^2 + bx + c \) have their extreme values at the same point \( x \), then for the expression \( cx^2 + ax + b \), find the correct statement regarding its extreme value.
View Solution
If \( a \pm bi \) and \( b \pm ai \) are roots of \( x^4 - 10x^3 + 50x^2 - 130x + 169 = 0 \), then find the value of \( \frac{a}{b} + \frac{b}{a} \).
View Solution
If \( x^2 - 5x + 6 \) is a factor of \( f(x) = x^4 - 17x^3 + kx^2 - 247x + 210 \), find the other quadratic factor of \( f(x) \).
View Solution
If all letters of the word COMBINATION are arranged to form 11-letter words with \( C \) and \( N \) at the ends and no vowel in the middle position, find the number of such words.
View Solution
The number of ways of distributing 3 dozen fruits (no two fruits are identical) to 9 persons such that each gets the same number of fruits is
View Solution
If \[ \binom{p}{q} = \binom{p}{q} \quad and \quad \sum_{i=0}^m \binom{10}{i} \binom{20}{m-i} is maximum, then find m. \]
View Solution
Coefficient of \(x^2\) in the expansion of \((x^2 + x - 2)^5\) is
View Solution
If \(P_n\) denotes the product of the binomial coefficients in the expansion of \((1 + x)^n\), then find \[ \frac{P_{n+1}}{P_n}. \]
View Solution
The coefficient of \(x^3\) in the expansion of \(\frac{x^4 + 1}{(x^2 + 1)(x - 1)}\) when it is expressed in terms of positive integral powers of \(x\), is
View Solution
If the polynomial \( f(x) = x^4 + ax^3 + bx^2 + cx + d \) is divided by \( x - 1 \) and \( x + 1 \), the remainders are 5 and 3 respectively. If \( f(x) \) is divided by \( x^2 - 1 \), then the remainder is
View Solution
Evaluate the expression:
\[ \cos^3 \left( \frac{3\pi}{8} \right) \cos \left( \frac{3\pi}{8} \right) + \sin^3 \left( \frac{3\pi}{8} \right) \sin \left( \frac{3\pi}{8} \right) \]
View Solution
If \(A + B + C = \dfrac{\pi}{4}\), then \(\sin 4A + \sin 4B + \sin 4C =\)
View Solution
If \( A + B + C = \frac{\pi}{4} \), then evaluate the expression:
\[ \sin 4A + \sin 4B + \sin 4C \]
View Solution
If \(x\) is a real number, then the number of solutions of \(\tan^{-1}\left(\sqrt{x(x+1)}\right) + \sin^{-1}\left(\sqrt{x^2 + x + 1}\right) = \dfrac{\pi}{2}\) is
View Solution
Domain of the real-valued function \(f(x) = \log(x^2 - 1) + x \, \coth^{-1}x\) is
View Solution
In a triangle ABC, if \(\sin\frac{A}{2} = \dfrac{1}{4}\sqrt{\dfrac{5}{\sqrt{5}}}, a = 2, c = 5\), and \(b\) is an integer, then the area (in sq. units) of triangle ABC is
View Solution
In \(\triangle ABC\), if \(a + c = 5b\), then \(\cot\dfrac{A}{2} \cdot \cot\dfrac{C}{2} =\)
View Solution
In a triangle ABC, if \(r_1 = 3, r_2 = 4, r_3 = 6\), then \(b =\)
View Solution
Let the position vectors of the vertices of triangle ABC be \(\vec{a}, \vec{b}, \vec{c}\). If a point \(P\) on the plane of triangle has a position vector \(\vec{r}\) such that \(\vec{r} - \vec{b} = \vec{a} - \vec{c}\) and \(\vec{r} - \vec{c} = \vec{a} - \vec{b}\), then \(P\) is the
View Solution
The point of intersection of the lines represented by \(\vec{r} = (\hat{i} - 6\hat{j} + 2\hat{k}) + t(\hat{i} + 2\hat{j} + \hat{k})\) and \(\vec{r} = (4\hat{j} + \hat{k}) + s(2\hat{i} + \hat{j} + 2\hat{k})\) is
View Solution
If \(|\vec{a}| = 2, |\vec{b}| = 3, |\vec{c}| = 5, |\vec{a} + \vec{b} + \vec{c}| = \sqrt{69}\) and angle between \((\vec{a}, \vec{b}) = \dfrac{\pi}{3}\), then angle between \((\vec{c}, \vec{a}) =\)
View Solution
If the points A, B, C, D with position vectors \(\vec{i} + \vec{j} - \vec{k}, -\vec{i} + 2\vec{k}, \vec{i} - 2\vec{j} + \vec{k}, 2\vec{i} + \vec{j} + \vec{k}\) form a tetrahedron, then angle between faces ABC and ABD is
View Solution
If \(\vec{a}, \vec{b}, \vec{c}\) are unit vectors and \(\vec{a} \perp \vec{b}\), and \((\vec{a} - \vec{c}) \cdot (\vec{b} + \vec{c}) = 0\), and \(\vec{c} = l\vec{a} + m\vec{b} + n(\vec{a} \times \vec{b})\), then \(n^2 =\)
View Solution
If the variance of the first \(n\) natural numbers is 10 and the variance of the first \(m\) even natural numbers is 16, then \(n : m =\)
View Solution
Given \(f(x) = x^2 - 5x + 4\). Out of first 20 natural numbers, if a number \(x\) is chosen at random, then the probability that the chosen \(x\) satisfies the inequality \(f(x) > 10\) is
View Solution
A problem in Algebra is given to two students A and B whose chances of solving it are \(\dfrac{2}{5}\) and \(\dfrac{3}{5}\) respectively. The probability that the problem is solved if both try independently is
View Solution
Three dice are thrown simultaneously and the sum of the numbers is noted. If A = getting sum greater than 14 and B = getting sum divisible by 3, then \(P(A \cap B) + P(A \cup B) =\)
View Solution
A manufacturing company has 3 units A, B, and C which produce 25%, 35%, 40% of bulbs respectively. 5%, 4%, and 2% of their production is defective. If a bulb is found defective, the probability it came from B is
View Solution
Given the PMF: \(P(X=x) = \alpha\) for \(x = 1,2\), \(= \beta\) for \(x = 4,5\), and \(= 0.3\) for \(x = 3\), with mean \(\mu = 4.2\). Find \(\sigma^2 + \mu^2\)
View Solution
A student has probability \(\dfrac{2}{3}\) of getting distinction in a test. Out of 5 tests, the probability that he gets distinction in at least 3 tests is
View Solution
If \(P\) is a variable point which is at a distance of 2 units from the line \(2x - 3y + 1 = 0\) and \(\sqrt{13}\) units from the point (5, 6), then the equation of the locus of \(P\) is
View Solution
If the equation \(3x^2 + 4y^2 - xy + k = 0\) is the transformed equation of \(3x^2 + 4y^2 - xy - 5x - 7y + 2 = 0\) after shifting the origin to \((\alpha, \beta)\), then \(\alpha + \beta = k =\)
View Solution
If the intercept of a line \(L\) made between the straight lines \(5x - y - 4 = 0\) and \(3x + 4y - 4 = 0\) is bisected at the point (1, 5), then the equation of \(L\) is
View Solution
A line \(L\) passes through point \(P(1, 2)\) and makes an angle of \(60^\circ\) with OX in positive direction. A and B are points on line \(L\), 4 units from P. If O is origin, then area of \(\triangle OAB\) is
View Solution
The equation \((2p - 3)x^2 + 2pxy - y^2 = 0\) represents a pair of distinct lines
View Solution
The equation of chord AB of ellipse \(2x^2 + y^2 = 1\) is \(x - y + 1 = 0\). If O is the origin, then \(\angle AOB =\)
View Solution
If a circle S passes through the origin and makes intercept 4 units on line \(x = 2\), then the equation of curve on which center of S lies is
View Solution
A circle touches the line \(2x + y - 10 = 0\) at (3, 4) and passes through the point (1, -2). Then a point that lies on the circle is
View Solution
If (a, b) is the common point of the circles \(x^2 + y^2 - 4x + 4y - 1 = 0\) and \(x^2 + y^2 + 2x - 4y + 1 = 0\), then \(a^2 + b^2 =\)
View Solution
The angle between the tangents drawn from the point (2, 2) to the circle \(x^2 + y^2 + 4x + 4y + c = 0\) is \(\cos^{-1} \left( \frac{7}{16} \right)\). If two such circles exist, then the sum of values of \(c\) is
View Solution
If the circle \(S_1 = x^2 + y^2 + 2gx + 4y + 1 = 0\) bisects the circumference of circle \(x^2 + y^2 - 2x - 3 = 0\), then the radius of circle \(S_1\) is
View Solution
The angle between the tangents drawn from point (1, 4) to parabola \(y^2 = 4x\) is
View Solution
The square of the slope of a common tangent to the circle \(4x^2 + 4y^2 = 25\) and ellipse \(4x^2 + 9y^2 = 36\) is
View Solution
The tangents drawn to the hyperbola \(5x^2 - 9y^2 = 90\) through a variable point \(P\) make angles \(\alpha\) and \(\beta\) with its transverse axis. If \(\alpha\) and \(\beta\) are complementary angles, then the locus of \(P\) is
View Solution
If \(\theta\) is the acute angle between the asymptotes of a hyperbola \(7x^2 - 9y^2 = 63\), then \(\cos \theta =\)
View Solution
If \(O(0,0,0), A(1,2,1), B(2,1,3)\), and \(C(-1,1,2)\) are the vertices of a tetrahedron, then the acute angle between its face \(OAB\) and edge \(BC\) is
View Solution
If the angles between the sides of triangle ABC formed by A(2,3,5), B(-1,2,3), and C(3,5,-2) are \(\alpha, \beta, \gamma\), then \(\sin^2 \alpha + \sin^2 \beta + \sin^2 \gamma =\)
View Solution
If the four points (6,2,4), (1,3,5), (1,-2,3), and (6,k,2) are coplanar, then \(k =\)
View Solution
Evaluate \(\lim\limits_{x \to \infty} \dfrac{5x^3 - x^2 \sin 5x}{x^3 \cos 4x + 7|x|^3 - 4|x| + 3}\)
View Solution
If \(\lim\limits_{x \to a^-} f(x) = p\), \(\lim\limits_{x \to a^+} f(x) = m\), and \(f(a) = k\), then which one of the following is true?
View Solution
If a function defined by \[ f(x) = \begin{cases} \dfrac{1 - \cos 4x}{x^2}, & x < 0
a, & x = 0
\dfrac{\sqrt{x}}{\sqrt{16 + \sqrt{x} - 4}}, & x > 0 \end{cases} \]
is continuous at \(x = 0\), then \(a =\)
View Solution
If \( y = \tanh^{-1} \left( \dfrac{1 - x}{1 + x} \right) \), then \( \dfrac{dy}{dx} = \)
View Solution
If \(x^2 + y^2 = \dfrac{1}{t} and x^4 + y^4 = t^2 + \dfrac{1}{t^2},\) then \(\dfrac{dy}{dx} =\)
View Solution
If \(y = (ax + b)\cos x\), then \(y_2 + y_1 \sin 2x + y(1 + \sin^2 x) = \)
View Solution
If the normal drawn at the point P on the curve \(y = x \log x\) is parallel to the line \(2x - 2y = 3\), then P =
View Solution
If the curves \(y^2 = 16x and 9x^2 + \alpha y^2 = 25\) intersect at right angles, then \(\alpha =\)
View Solution
If the function \(y = \sin(x)(1 - \cos x)\) is defined in the interval \([-\pi, \pi]\), then y is strictly increasing in the interval
View Solution
If the velocity of a particle moving on a straight line is proportional to the cube root of its displacement, then its acceleration is
View Solution
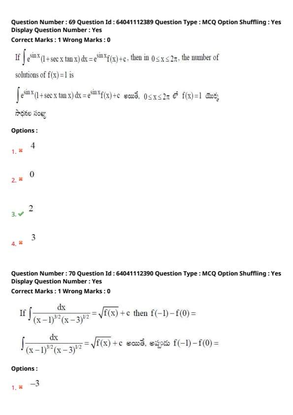
If \( \int e^{\sin x}(1 + \sec x \tan x)\, dx = e^{\sin x}f(x) + c \), then in \( 0 \leq x \leq 2\pi \), the number of solutions of \( f(x) = 1 \) is
View Solution
If \( \int \frac{dx}{(x-1)^2(x-3)^2} = \sqrt{f(x)} + c \), then \( f(-1) - f(0) = \)
View Solution
\( \int \frac{x}{(1-x^2)\sqrt{2 - x^2}} dx = \)
View Solution
\( \int \frac{1 + x + \sqrt{x + x^2}}{\sqrt{x + \sqrt{1 + x}}} dx = \)
View Solution
If \( \int x^2 \cos^3 x\, dx = \frac{1}{6}f(x) + g(x) \sin 2x + h(x) \cos 2x + c \), then \( f(1) + g(2) + h\left(\frac{1}{2}\right) = \)
View Solution
Evaluate the integral \(\displaystyle \int_0^{\frac{\pi}{2}} \log(\tan x + \cot x)\, dx\)
View Solution
Evaluate the integral \[ \int_{0}^{\pi} x \cdot \sin x \cdot \int_{x}^{5} \frac{\cos x}{x} \cdot dx = \]
View Solution
Evaluate the integral \[ \int_{\frac{1}{2}}^{\frac{\sqrt{3}}{2}} \frac{1}{\left(x + \sqrt{1 - x^2}\right) \cdot \left(1 - x^2\right)} \, dx = \]
View Solution
The area of the region (in sq. units) enclosed between the curves \( y = |x| \), \( y = [x] \) and the ordinates \( x = -1, x = 0, x = 1 \) is
View Solution
The general solution of the differential equation \(\frac{dy}{dx} + xy = 4x - 2y + 8\) is
View Solution
The general solution of the differential equation \((x+2y)^3\frac{dy}{dx} = y = 0, y > 0\) is
View Solution
The general solution of the differential equation \(\frac{dy}{dx} = \frac{x + y + 1}{x - 3y + 5}\) is
View Solution
If the maximum and minimum temperatures at a place on a day are measured as \(44^\circ C \pm 0.5^\circ C\) and \(22^\circ C \pm 0.5^\circ C\) respectively, then the temperature difference is
View Solution
If a ball projected vertically upwards with certain initial velocity from the ground crosses a point at a height of 25 m twice in a time interval of 4 s, then the initial velocity of the ball is
(Acceleration due to gravity \(= 10~m/s^2\))
View Solution
If a particle of mass 'm' covers half of the horizontal circle with constant speed 'v', then the change in its kinetic energy is
View Solution
A car is moving with a velocity of \(4~m/s\) towards east. After a time of \(4~s\), it is heading north-east with a velocity of \(4\sqrt{2}~m/s\). Then the average velocity of the car is
View Solution
A body of mass \(5~kg\) starts from the origin with an initial velocity \(\vec{v}_0 = (30\hat{i} + 40\hat{j})~m/s\).
If a constant force \(\vec{F} = -(i + 5j)~N\) acts on the body, then the time in which the y-component of its velocity becomes zero is
View Solution
A block of mass \(10~kg\) moving with a speed of \(5~m/s\) on a frictionless horizontal surface suddenly explodes into two pieces.
If one piece with mass \(4~kg\) moves with a speed of \(10~m/s\), then the velocity of the second piece is
View Solution
The bob of a simple pendulum of length \(200~cm\) is released from horizontal position.
If \(10%\) of its initial energy is lost to air resistance, then the speed of bob at the mean position is
(Acceleration due to gravity \(= 10~m/s^2\))
View Solution
A steel sphere of radius \(1.2~cm\) collides with another steel sphere at rest.
If the collision is elastic and the first sphere moves with \(\dfrac{7}{9}\) of its initial velocity after collision,
then the radius of the second sphere is
View Solution
Ratio of angular velocity of hour hand of a watch and the angular velocity of rotation of earth is
View Solution
Two bodies of masses \(2~kg\) and \(3~kg\) move at right angles with velocities \(20~m/s\) and \(10~m/s\) respectively.
Then the velocity of the centre of mass of the system is
View Solution
The kinetic energy of a particle executing simple harmonic motion at a displacement of \(3~cm\) from the mean position is \(4~mJ\). If the amplitude of the particle is \(5~cm\), then the maximum force acting on the particle is
View Solution
A body of mass \(1~kg\) is attached to the lower end of a vertically suspended spring of force constant \(600~N/m\). If another body of mass \(0.5~kg\) moving vertically upward hits the suspended body with a velocity \(3~m/s\) and is embedded in it, then the frequency of the oscillation is
View Solution
If the angular velocity of a planet about its axis is halved, the distance of the stationary satellite of this planet from the centre of the planet becomes \(2^n\) times the initial distance. Then the value of \(n\) is
View Solution
When a wire of length \(L\) clamped at one end is pulled by a force \(F\) from the other end, its length increases by \(L'\). If the radius and the applied force are halved, then the increase in its length is
View Solution
A liquid drop of diameter \(D\) splits into \(3375\) small identical drops. If \(S\) is the surface tension of the liquid, then the change in the surface energy in the process is
View Solution
When a sphere is taken to the bottom of a sea of depth \(1~km\), it contracts in volume by \(0.01%\). Then the bulk modulus of the material of the sphere is (Acceleration due to gravity = \(10~m/s^2\))
View Solution
If a gas of volume \(400~cc\) at an initial pressure \(P\) is suddenly compressed to \(100~cc\), then its final pressure is (The ratio of specific heats \(\gamma = 1.5\))
View Solution
A Carnot engine having efficiency \(60%\) receives heat from a source at temperature \(600~K\). For the same sink temperature, to increase its efficiency to \(80%\), the temperature of the source is
View Solution
A gaseous mixture consists of \(2\) moles of oxygen and \(4\) moles of argon at temperature \(T\). Neglecting all vibrational modes, the total internal energy of the mixture is
View Solution
The average translational kinetic energy of oxygen molecules at a temperature of \(127^\circ C\) is (Boltzmann constant \(= 1.38 \times 10^{-23}~J/K\))
View Solution
The speed of a stationary wave represented by the equation \(y = 0.75 \sin\left(\dfrac{7\pi}{4}x\right)\cos(350\pi t)\) is
View Solution
Two thin convex lenses are kept in contact coaxially. If the focal length of the combination is \(4~cm\) and the sum of the focal lengths of the two lenses is \(18~cm\), then the focal length of the lens of low power is
View Solution
For an observer on the earth, if a spectral line of wavelength \(6600~\mathring{A}\) emitted by a star is found to be redshifted by \(22~\mathring{A}\), then the star is
View Solution
Three particles of each charge \(q\) are placed at the vertices of an equilateral triangle of side \(L\). The work to be done to decrease the side of the triangle to \(\dfrac{L}{2}\) is
View Solution
The radii of inner and outer spheres of a spherical capacitor are \(8~cm\) and \(9~cm\) respectively. The outer sphere is earthed and the inner sphere is charged. If the space is filled with a dielectric constant \(K = 5\), the capacitance is
View Solution
If 27 charged water droplets, each of radius \(10^{-6}~m\) and charge \(10^{-12}~C\) coalesce to form a single spherical drop, then the potential of the big drop is
View Solution
A straight wire of resistance \(18~\Omega\) is bent in the form of an equilateral triangle. The effective resistance between any two vertices of the triangle is
View Solution
The power dissipated by a uniform wire of resistance \(100~\Omega\) when a potential difference of \(120~V\) is applied across its ends is
View Solution
If a straight current-carrying wire of linear density \(0.12~kg/m\) is suspended in mid-air by a uniform horizontal magnetic field of \(0.5~T\) normal to the length of the wire, then the current through the wire is (Neglect earth’s magnetic field)
View Solution
Two concentric loops \(A\) and \(B\) of same radius \(2\pi~cm\) are placed at right angles to each other. If the currents flowing through \(A\) and \(B\) are \(3~A\) and \(4~A\) respectively, then the net magnetic field at their common center is
View Solution
A short bar magnet is placed in a uniform magnetic field of \(2~T\) such that the axis of the magnet makes an angle of \(45^\circ\) with the field. If the torque acting is \(0.36~Nm\), the magnetic moment of the magnet is
View Solution
A horizontal telegraph wire of length \(30~m\) fell from a height of \(20~m\). If resistance is \(40~\Omega\) and horizontal component of Earth’s magnetic field is \(2 \times 10^{-5}~T\), the induced current is
View Solution
In an LCR series circuit, if the potential differences across inductor, capacitor, and resistor are \(60~V\), \(30~V\), and \(40~V\) respectively, then the net voltage applied to the circuit is
View Solution
A plane EM wave of frequency \(25~MHz\) propagates in vacuum. If electric field is \(6.3~V/m\), then magnitude of magnetic field is
View Solution
A particle of mass \(8~\mu g\) collides with another stationary particle of mass \(4~\mu g\). If the collision is perfectly elastic and one dimensional, the ratio of de Broglie wavelengths after collision is
View Solution
The difference between the frequencies of the first and second Lyman lines of hydrogen atom is (R - Rydberg constant and c - speed of light in vacuum)
View Solution
If the half-life of a radioactive element is \(12.5\) hours, then the time taken to disintegrate \(256~g\) of the substance into \(1~g\) is (in hours)
View Solution
A transistor works as an amplifier when
View Solution
If five logic gates are connected as shown in the figure, then the values of \(y_1\), \(y_2\), and \(y_3\) are respectively
View Solution
In amplitude modulation of waves, the maximum amplitude is \(30~mV\) and minimum amplitude is \(5~mV\), then the modulation index is
View Solution
The uncertainty in the position of electron (\(\Delta x\)) is approximately 100 pm. The uncertainty in momentum (in kg m s\(^{-1}\)) of an electron is [h = 6.626 \(\times 10^{-34}\) Js]
View Solution
Which of the following statements are correct? (only correct)
I) The energy of hydrogen atom in its ground state is -13.6 eV.
II) On the basis of Bohr's model, the radius of the 3\(^{rd}\) orbit of hydrogen atom is 158.7 pm.
III) The order of radius of the first orbit of H, He\(^+\), Li\(^{2+}\) and Be\(^{3+}\) is H \(>\) He\(^+\) \(>\) Li\(^{2+}\) \(>\) Be\(^{3+}\)
View Solution
Which of the following orders is not correct about the property shown against it?
(1) \(N > O > P > S\) - First ionisation enthalpy
(2) \(N > O > P > S\) - Negative electron gain enthalpy
(3) \(F > Cl > O > S\) - Negative electron gain enthalpy
(4) \(Fe^{3+} < Fe^{2+} < Fe\) - Size
View Solution
Consider the following changes I and II
Change I: {O2 -> O22-}
Change II: {O2 -> O2-}
The correct statements about these changes (I) and (II) in accordance with MO theory are (Note: only = energy)
View Solution
The increasing order of number of lone pair electrons on the central atom of the following molecules is which of the following?
I) {ClF3} II) {XeF2} III) {SF4} IV) {SiH4}
View Solution
Which of the following is the correct statement for an ideal gas (constant = energy)?
View Solution
At 256 K, the rms speed of {SO2} molecules is 3.16\(\times 10^2\) m/s. What is the most probable velocity (in m/s) of the same gas molecules at the same temperature?
View Solution
209 g of an element reacts with chlorine to form 315.5 g of its chloride. What is the weight of oxygen that reacts with 418 g of the same element? (Cl = 35.5, O = 16)
View Solution
Consider the following
Statement-I: During isothermal expansion of an ideal gas its enthalpy decreases.
Statement-II: When 2.0 L of an ideal gas expands isothermally into vacuum, \(\Delta U = 0\).
View Solution
The energy required to increase the temperature of 180 g of liquid water from 10\(^\circ\)C to 15\(^\circ\)C is 3765 J. What is \(C_p\) of water in J mol\(^{-1}\) K\(^{-1}\)? (\(H_2O\) = 18 u)
View Solution
At 25\(^\circ\)C, the percentage of ionization of x M acetic acid is 4.242. What is the pH of the acetic acid solution?
Given: \(\log 4.242 = 0.6275\), \(\log 0.04242 = -1.372\), \(K_a = 1.8 \times 10^{-5}\)
View Solution
At 298 K, the value of \(K_c\) for the reaction A\(_2\)O\(_4\)(g) \(\rightleftharpoons\) 2AO\(_2\)(g) is \(x\) mol L\(^{-1}\). What is the approximate \(K_p\) value for this reaction?
Given: \(R = 0.082\) L atm mol\(^{-1}\) K\(^{-1}\)
View Solution
\(H_2O_2\) with \(KMnO_4\) in acidic medium gives a manganese compound 'X' and in basic medium gives another manganese compound 'Y'. The oxidation states of manganese in X and Y respectively are:
View Solution
Which of the following orders are correct against the stated property?
I) NaO\(_2 <\) KO\(_2 <\) RbO\(_2 <\) CsO\(_2\) — stability
II) Mg(OH)\(_2 <\) Ca(OH)\(_2 <\) Sr(OH)\(_2\) — basic strength
III) MgCO\(_3 <\) CaCO\(_3 <\) SrCO\(_3\) — thermal stability
View Solution
In the structure of diborane, the number of 2-centre-2-electron bonds is X and 3-centre-2-electron bonds is Y. The value of (X + Y) is:
View Solution
Match the following:
| List-I (Compound) | List-II (Use) |
|---|---|
| A) Kieselguhr | IV) To convert alcohol directly into gasoline |
| B) Silica gel | I) Chromatographic material |
| C) ZSM-5 | III) Filtration plants |
| D) Hydrated zeolites | II) Softening of hard water |
View Solution
Identify the air pollutant which in high concentration leads to stiffness of flower buds?
View Solution
The number of primary (1\(^\circ\)), secondary (2\(^\circ\)), and tertiary (3\(^\circ\)) alcohols possible for the formula C\(_5\)H\(_{12}\)O respectively are:
View Solution
The catalyst used for the isomerisation of n-alkanes to branched chain alkanes is:
View Solution
An element crystallizes in bcc lattice. The atomic radius of the element is 2.598 AA. What is the volume (in cm\(^3\)) of one unit cell?
View Solution
A centi molar solution of acetic acid is 50% dissociated at 27\(^\circ\)C. The osmotic pressure of the solution (in atm) is (R = 0.083 L atm K\(^{-1}\) mol\(^{-1}\))
View Solution
At 300 K, vapour pressure of pure liquid A is 70 mm Hg. It forms an ideal solution with liquid B. Mole fraction of B = 0.2 and total vapour pressure of solution = 84 mm Hg. What is vapour pressure (in mm) of pure B?
View Solution
The specific conductance of 0.05 M NaOH solution is 0.0115 S cm\(^{-1}\). What is its molar conductance (\(\Lambda_m\)) in S cm\(^2\) mol\(^{-1}\)?
View Solution
For the reaction: A + 2B \(\rightarrow\) 3C + 2D, if rate of disappearance of B is \(x \times 10^{-2}\) mol L\(^{-1}\) s\(^{-1}\), the ratio of rate of reaction to rate of appearance of C is:
View Solution
Identify the catalytic reaction in which both reactants are in different phases.
View Solution
Consider the following.
Statement-I: Gold sol is prepared by Bredig’s arc method.
Statement-II: Bredig’s arc method involves only dispersion but not condensation.
View Solution
Which of the following sets are correctly matched?
I) Hg — distillation
II) Cu — poling
III) B — zone refining
IV) Ti — liquation
View Solution
The oxides of nitrogen obtained by the reaction of nitric acid with
(i) P\(_4\)O\(_{10}\) and (ii) P\(_4\) respectively are:
View Solution
Match the following:
| List-I (Aquated ion) | List-II (Colour) |
|---|---|
| A) Ni2+ | V) Green |
| B) Fe3+ | III) Yellow |
| C) Mn3+ | I) Violet |
| D) V4+ | II) Blue |
View Solution
The ion with 4f\(^7\) configuration is:
View Solution
Which of the following is the common monomer for the polymers Bakelite and Melamine?
View Solution
Activation energy for the hydrolysis of sucrose by acid is X kJ mol\(^{-1}\) and by sucrase is Y kJ mol\(^{-1}\). X and Y respectively are
View Solution
The structure of the nitrogen-containing heterocyclic base shown below represents:
Structure of Uracil shown
View Solution
What is the drug used to control depression and hypertension?
View Solution
What are X and Y respectively, in the given set of reactions?
View Solution
In the following sequence of reactions, what is the end product (D)?
C\(_2\)H\(_5\)Br \(\xrightarrow{KCN}\) A \(\xrightarrow{H_3O^+}\) B \(\xrightarrow{LiAlH_4}\) C \(\xrightarrow{Cu, 573 K}\) D
View Solution
The most acidic carboxylic acid is:
View Solution
A carbonyl compound X(C\(_5\)H\(_8\)O) gives yellow precipitate with NaOI. Hemiacetal of X with methanol/dry HCl is:
View Solution
Which of the following does not involve in Friedel-Crafts reaction?
View Solution
Consider the following statements:
Statement-I: CH\(_3\)NH\(_2\) is more basic than NH\(_3\), but C\(_6\)H\(_5\)NH\(_2\) is less basic than NH\(_3\).
Statement-II: The order of basic strength of amines in aqueous phase follows
(C\(_2\)H\(_5\))\(_2\)NH \(>\) C\(_2\)H\(_5\)NH\(_2\) \(>\) C\(_6\)H\(_5\)NH\(_2\)
View Solution
AP EAPCET 2025 MPC Chapter-Wise Weightage
AP EAPCET 2025 for the Engineering stream (MPC) will take place between May 21 and 27, 2025, and there will be a total of 160 multiple-choice questions—80 from Mathematics, 40 from Physics, and 40 from Chemistry.
To enable candidates to focus on their preparation, here is a chapter-wise weightage analysis from the previous year trends:
Mathematics Chapter-Wise Weightage (80 Questions)
| Chapter | Expected No. of Questions |
|---|---|
| Calculus (Limits, Derivatives, Integrals) | 9–11 |
| Vectors & 3D Geometry | 7–9 |
| Coordinate Geometry | 6–8 |
| Algebra (Quadratic, Binomial, Complex Numbers) | 8–10 |
| Probability & Statistics | 5–7 |
| Trigonometry | 5–6 |
| Matrices & Determinants | 4–5 |
| Permutations & Combinations | 2–3 |
| Sets, Relations & Functions | 2–3 |
Physics Chapter-Wise Weightage (40 Questions)
| Chapter | Expected No. of Questions |
|---|---|
| Laws of Motion | 3–4 |
| Work, Power & Energy | 3–4 |
| Thermodynamics | 3–4 |
| Current Electricity | 3–4 |
| Ray & Wave Optics | 3–4 |
| Oscillations & Waves | 2–3 |
| Electrostatics | 2–3 |
| Motion in a Plane & Projectile | 2–3 |
| Rotational Motion | 2–3 |
| Gravitation | 1–2 |
Chemistry Chapter-Wise Weightage (40 Questions)
| Chapter | Expected No. of Questions |
|---|---|
| Thermodynamics | 3–4 |
| Chemical Bonding | 3–4 |
| Organic Chemistry: Basics, Hydrocarbons | 4–5 |
| Coordination Compounds | 3–4 |
| Equilibrium (Ionic + Chemical) | 2–3 |
| Atomic Structure | 2–3 |
| The p-Block & s-Block Elements | 3–4 |
| Solid State & Solutions | 2–3 |
| Polymers & Biomolecules | 2–3 |
| Surface Chemistry & Environmental Chemistry | 1–2 |
AP EAPCET 2025 Previous Year Analysis
The previous year's AP EAPCET 2025 Engineering Question Paper shows the repeating trends, difficulty levels, and weightage of different topics.
The following is an analysis of the AP EAPCET Engineering exams of 2024, 2023, and 2022, along with section-wise difficulty levels and important observations.
| Year | Mathematics | Physics | Chemistry | Overall Difficulty | Key Observations |
| 2024 | Moderate to Difficult | Moderate | Easy to Moderate | Moderate | Maths was lengthy, Chemistry was mostly NCERT-based, and it was a balanced paper |
| 2023 | Moderate | Moderate | Easy | Moderate | Chemistry was Formula-based and Physics was majorly application-based |
| 2022 | Moderate to Difficult | Slightly Tough | Moderate | Moderate to Tough | Physics had some tricky numericals and Math required strong concepts |







Comments