The JNTU was conducted the AP EAPCET 2025 Engineering Exam on May 23rd, Shift 2 Exam from 2.00 P.M. to 5.00 P.M. in a CBT Mode and at more than 117 examination centres.
The AP EAPCET 2025 Question paper consists of 160 MCQs, including 80 from mathematics, 40 from both physics and chemistry, with 1 mark for each correct answer and no negative marking.
AP EAPCET 2025 Question Paper with Answer Key PDF May 23 Shift 2
| AP EAPCET 2025 May 23 Shift 2 Question Paper with Answer Key | Download | Check Solution |

Let \( [t] \) denote the greatest integer function and \( [t - m] = [t] - m \) when \( m \in \mathbb{Z} \). If \( k = 2[2x - 1] - 1 \) and \( 3[2x - 2] + 1 = 2[2x - 1] - 1 \), then the range of \( f(x) = [k + 5x] \) is:
View Solution
If \( f(x) = (x+1)^2 - 1, x \ge -1 \), then \( \{x \mid f(x) = f^{-1}(x)\} \) is:
1. \( \{0, -1\} \) \\
2. \( \{-1, 0, 1\} \) \\
3. \( \left\{-1, 0, \frac{-3+\sqrt{3}i}{2}, \frac{-3-\sqrt{3}i}{2}\right\} \) \\
4. an empty set
View Solution
If \( 11^{12} - 11^2 = k(5 \times 10^9 + 6 \times 10^9 + 33 \times 10^8 + 110 \times 10^7 + \ldots + 33) \), then find the value of \( k \).
View Solution
If \( P = \begin{bmatrix} 1 & \alpha & 3
1 & 3 & 3
2 & 4 & 4 \end{bmatrix} \) is the adjoint of a matrix \( A \) and \( \det(A) = 4 \), then the value of \( \alpha \) is:
View Solution
If \( \alpha \) is a real root of the equation \( x^3 + 6x^2 + 5x - 42 = 0 \), then the determinant of the matrix
\[ \begin{bmatrix} \alpha - 1 & \alpha + 1 & \alpha + 2
\alpha - 2 & \alpha + 3 & \alpha - 3
\alpha + 4 & \alpha - 4 & \alpha + 5 \end{bmatrix} \]
is
View Solution
The rank of the matrix \( \begin{bmatrix} 2 & -3 & 4 & 0
5 & -4 & 2 & 1
1 & -3 & 5 & -4 \end{bmatrix} \) is
View Solution
If \( z \) is a complex number such that \( \frac{z-1}{z-i} \) is purely imaginary and the locus of \( z \) represents a circle with center \( (\alpha, \beta) \) and radius \( r \), then the value of \( \frac{\alpha}{\beta} + \frac{\beta}{\alpha} \) is:
View Solution
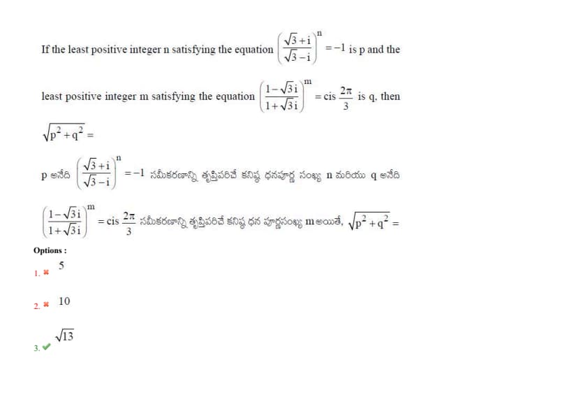
If the least positive integer n satisfying the equation \(\left(\frac{\sqrt{3}+i}{\sqrt{3}-i}\right)^n = -1\) is p and the least positive integer m satisfying the equation \(\left(\frac{1-\sqrt{3}i}{1+\sqrt{3}i}\right)^m = cis\left(\frac{2\pi}{3}\right)\) is q, then \(\sqrt{p^2 + q^2}\) is equal to:
View Solution
The sum of the squares of the imaginary roots of the equation \( z^8 - 20z^4 + 64 = 0 \) is:
View Solution
Let \((a-3)x^2 + 12x + (a+6) > 0, \forall x \in R and a \in (t, \infty)\). If \(\alpha\) is the least positive integral value of \(a\), then the roots of \((\alpha-3)x^2 + 12x + (\alpha+2) = 0\) are:
View Solution
If the roots of the equation \(x^2 + 2ax + b = 0\) are real, distinct and differ utmost by \(2m\), then b lies in the interval
View Solution
The cubic equation whose roots are the squares of the roots of the equation \( x^3 - 2x^2 + 3x - 4 = 0 \) is
View Solution
If \( \alpha, \beta, \gamma \) are the roots of the equation \( x^3 + px^2 + qx + r = 0 \), then \( \alpha^3 + \beta^3 + \gamma^3 = \)
View Solution
If all possible 4-digit numbers are formed by choosing 4 different digits from the given digits \( 1, 2, 3, 5, 8 \), then the sum of all such 4-digit numbers is:
View Solution
The number of ways of forming the ordered pairs (p, q) such that p > q by choosing p and q from the first 50 natural numbers is:
View Solution
The number of ways in which a committee of 7 members can be formed from 6 teachers, 5 fathers and 4 students in such a way that at least one from each group is included and teachers form the majority among them, is:
View Solution
If \(C_0, C_1, C_2, \dots, C_n\) are the binomial coefficients in the expansion of \((1 + x)^n\), then \((C_0 + C_1) - (C_2 + C_3) + (C_4 + C_5) - (C_6 + C_7) + \dots = \)
View Solution
\( 1 + \frac{4}{15} + \frac{4 \cdot 10}{15 \cdot 30} + \frac{4 \cdot 10 \cdot 16}{15 \cdot 30 \cdot 45} + \cdots \infty \)
View Solution
If \( \frac{3x+1}{(x-1)(x^2+2)} = \frac{A}{x-1} + \frac{Bx+C}{x^2+2} \), then \( 5(A-B) = \)
View Solution
\(cosec 48^\circ + cosec 96^\circ + cosec 192^\circ + cosec 384^\circ =\)
Options :
View Solution
If \( \sqrt{3}\cos\theta + \sin\theta > 0 \), then the range of \( \theta \) is:
View Solution
If \(\cos\theta = -\frac{3}{5}\) and \(\theta\) does not lie in second quadrant, then \(\tan\frac{\theta}{2} =\)
View Solution
The general solution satisfying both the equations \(\sin x = -\frac{3}{5}\) and \(\cos x = -\frac{4}{5}\) is:
View Solution
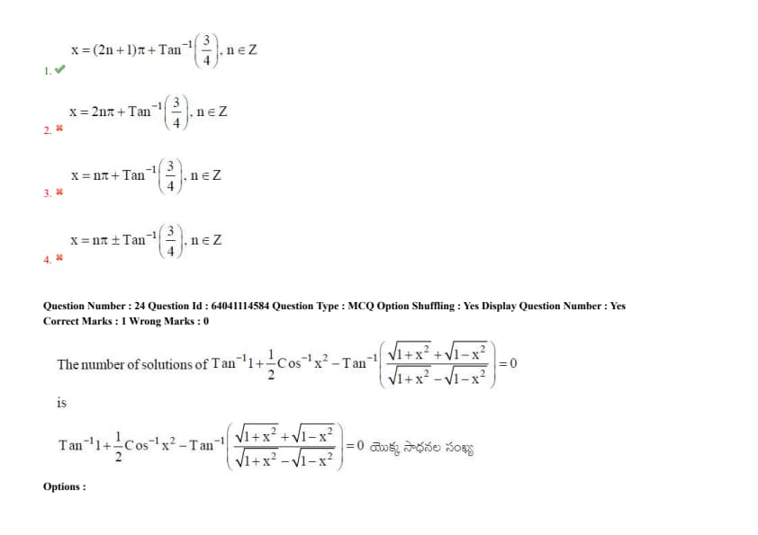
The number of solutions of \( \tan^{-1} 1 + \frac{1}{2} \cos^{-1} x^2 - \tan^{-1}\left(\frac{\sqrt{1+x^2} + \sqrt{1-x^2}}{\sqrt{1+x^2} - \sqrt{1-x^2}}\right) = 0 \) is
View Solution
\(\operatorname{Tanh}^{-1}(\sin\theta) =\)
View Solution
In \( \triangle ABC \), if \( a = 8 \), \( b = 10 \), \( c = 12 \), then \( \frac{r}{R} = \)
View Solution
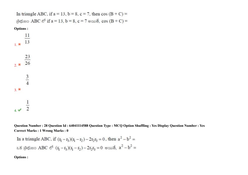
In triangle \( ABC \), if \( a = 13 \), \( b = 8 \), \( c = 7 \), then \( \cos(B+C) = \)
View Solution
In a triangle ABC, if \((r_1 - r_3)(r_1 - r_2) - 2r_2r_3 = 0\), then \(a^2 - b^2 =\)
View Solution
If the median AD of the triangle ABC is bisected at E and BE meets AC in F, then AF : AC =
View Solution
If \( \overline{a} = 2\overline{i} - 3\overline{j} + 5\overline{k} \) and \( \overline{b} = -\overline{i} + 3\overline{j} + 3\overline{k} \) are two vectors, then the vector of magnitude 28 units in the direction of the vector \( \overline{a} - \overline{b} \) is:
View Solution
If \( \overline{a} \) is a unit vector, then \( |\overline{a} \times \overline{i}|^2 + |\overline{a} \times \overline{j}|^2 + |\overline{a} \times \overline{k}|^2 = \)
View Solution
If \( \overline{a} = \overline{i} - 2\overline{j} - 3\overline{k} \), \( \overline{b} = -2\overline{i} + 3\overline{j} + 4\overline{k} \), \( \overline{c} = 5\overline{i} - 4\overline{j} + 3\overline{k} \), and \( \overline{d} = 3\overline{i} + \overline{j} + 5\overline{k} \) are four vectors, then \( (\overline{a} \times \overline{b}) \cdot (\overline{c} \times \overline{d}) = \)
View Solution
If \( 3\overline{i} + \overline{j} + \overline{k} \), \( 2\overline{i} + \overline{k} \), and \( \overline{i} + 5\overline{j} \) are the position vectors of three non-collinear points A, B, C respectively. If the perpendicular drawn from C onto \( \overline{AB} \) meets \( \overline{AB} \) at the point \( a\overline{i} + b\overline{j} + c\overline{k} \), then \( a + b + c = \)
View Solution
Let \(x_1, x_2, \ldots, x_{11}\) be the observations satisfying \(\sum_{i=1}^{11} (x_i - 4) = 22\) and \(\sum_{i=1}^{11} (x_i - 4)^2 = 154\). If the mean and variance of the observations are \(\alpha\) and \(\beta\), then the quadratic equation having the roots \(\frac{\alpha}{\beta}\) and \(\frac{\beta}{\alpha}\) is:
View Solution
There are 8 boys and 7 girls in a class room. If the names of all those children are written on paper slips and 3 slips are drawn at random from them, then the probability of getting the names of one boy and two girls or one girl and two boys is
View Solution
A four member committee is to be formed from a group containing 9 men and 5 women. If a committee is formed randomly, then the probability that it contains atleast one woman is
View Solution
A die is thrown twice. Let A be the event of getting a prime number when the die is thrown first time and B be the event of getting an even number when the die is thrown second time. Then \(P(A/B) =\)
View Solution
A bag contains 5 balls of unknown colors. There are equal chances that out of these five balls, there may be 0 or 1 or 2 or 3 or 4 or 5 red balls. A ball is taken out from the bag at random and is found to be red. The probability that it is the only red ball in the bag is:
View Solution
If \( X \sim B(9, p) \) is a binomial variate satisfying the equation \( P(X = 3) = P(X = 6) \), then \( P(X < 3) = \)
View Solution
The mean and variance of a binomial distribution are \(x\) and \(5\) respectively. If \(x\) is an integer, then the possible values for \(x\) are
View Solution
If the locus of a point which is equidistant from the coordinate axes forms a triangle with the line \(y = 3\), then the area of the triangle is
View Solution
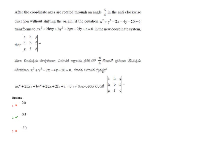
After the coordinate axes are rotated through an angle \(\frac{\pi}{4}\) in the anti clockwise direction without shifting the origin, if the equation \(x^2 + y^2 - 2x - 4y - 20 = 0\) transforms to \(ax^2 + 2hxy + by^2 + 2gx + 2fy + c = 0\) in the new coordinate system, then \(\begin{vmatrix} a & h & g
h & b & f
g & f & c \end{vmatrix} =\)
View Solution
A\((-2, 3)\) is a point on the line \(4x + 3y - 1 = 0\). If the points on the line that are 10 units away from the point A are \((x_1, y_1)\) and \((x_2, y_2)\), then \((x_1 + y_1)^2 + (x_2 + y_2)^2 =\ ?\)
View Solution
If \(\alpha\) is the angle made by the perpendicular drawn from origin to the line \(12x - 5y + 13 = 0\) with the positive X-axis in anti-clockwise direction, then \(\alpha =\)
View Solution
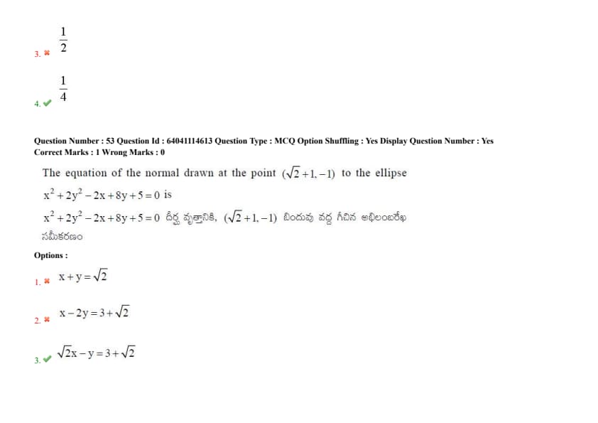
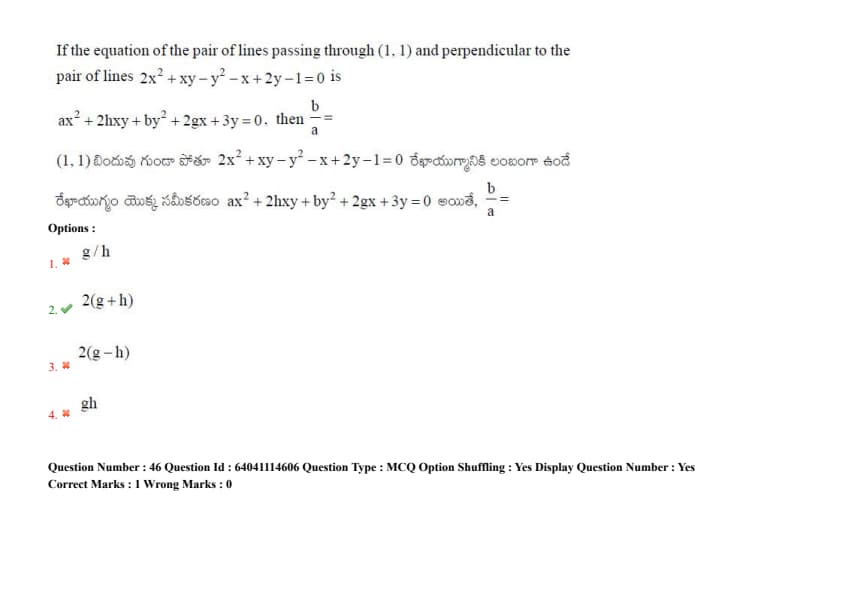
If the equation of the pair of lines passing through (1, 1) and perpendicular to the pair of lines \(2x^2 + xy - y^2 - x + 2y - 1 = 0\) is \(ax^2 + 2hxy + by^2 + 2gx + 3y = 0\). then \(\frac{b}{a} =\)
View Solution
If the combined equation of the lines joining the origin to the points of intersection of the curve \( x^2 + y^2 - 2x - 4y + 2 = 0 \) and the line \( x + y - 2 = 0 \) is \( (l_1x + m_1y)(l_2x + m_2y) = 0 \), then \( l_1 + l_2 + m_1 + m_2 = \)
View Solution
The slope of one of the direct common tangents drawn to the circles \(x^2 + y^2 - 2x + 4y + 1 = 0\) and \(x^2 + y^2 - 4x - 2y + 4 = 0\) is
View Solution
If (1, a), (b, 2) are conjugate points with respect to the circle \(x^2 + y^2 = 25\), then \(4a + 2b =\)
View Solution
If the pole of the line \(x + 2by - 5 = 0\) with respect to the circle \(S = x^2 + y^2 - 4x - 6y + 4 = 0\) lies on the line \(x + by + 1 = 0\), then the polar of the point \((b, -b)\) with respect to the circle \(S = 0\) is
View Solution
If P(\(\alpha, \beta\)) is the radical centre of the circles \(S=x^2+y^2+4x+7=0\), \(S'=2x^2+2y^2+3x+5y+9=0\) and \(S''=x^2+y^2+y=0\), then the length of the tangent drawn from P to S' = 0 is
View Solution
If the tangents of the parabola \( y^2 = 8x \) passing through the point \( P(1, 3) \) touch the parabola at points \( A \) and \( B \), then the area (in sq. units) of \( \triangle ABC \) is
View Solution
The equation of the normal drawn at the point \((\sqrt{2}+1, -1)\) to the ellipse \(x^2 + 2y^2 - 2x + 8y + 5 = 0\) is
View Solution
If \(3x+2\sqrt{2}y+k=0\) is a normal to the hyperbola \(4x^2-9y^2-36=0\) making positive intercepts on both the axes, then \(k=\)
Options :
View Solution
If a hyperbola has asymptotes \(3x-4y-1=0\) and \(4x-3y-6=0\), then the transverse and conjugate axes of that hyperbola are
View Solution
If \( A(0, 1, 2) \), \( B(2, -1, 3) \), and \( C(1, -3, 1) \) are the vertices of a triangle, then the distance between its circumcentre and orthocentre is
View Solution
If the direction cosines of two lines satisfy the equations \( l - 2m + n = 0 \) and \( lm + 10mn - 2nl = 0 \), and \( \theta \) is the angle between the lines, then \( \cos \theta = \)
View Solution
If \((2, -1, 3)\) is the foot of the perpendicular drawn from the origin \((0, 0, 0)\) to a plane then the equation of that plane is
View Solution
Evaluate the limit: \(\lim_{x \to 0} \frac{x^2 \sin^2(3x) + \sin^4(6x)}{(1 - \cos 3x)^2}\)
View Solution
If a real valued function \(f(x) = \begin{cases} (1 + \sin x)^{\operatorname{cosec} x} & , -\pi/2 < x < 0
a & , x = 0
\frac{e^{2/x} + e^{3/x}}{ae^{2/x} + be^{3/x}} & , 0 < x < \pi/2 \end{cases}\) is continuous at \(x = 0\), then \(ab =\)
View Solution
Evaluate the limit: \(\lim_{x \to 0} \frac{(\operatorname{cosec} x - \cot x)(e^x - e^{-x})}{\sqrt{3} - \sqrt{{2} + \cos x}}\)
View Solution
If \(y = \sqrt{\cosh x + \sqrt{\cosh x}}\), then \(\frac{dy}{dx} =\)
View Solution
If \( y = \tan^{-1}\sqrt{x^2 - 1} + \sinh^{-1}\sqrt{x^2 - 1} \), \( x > 1 \), then \( \frac{dy}{dx} = \)
View Solution
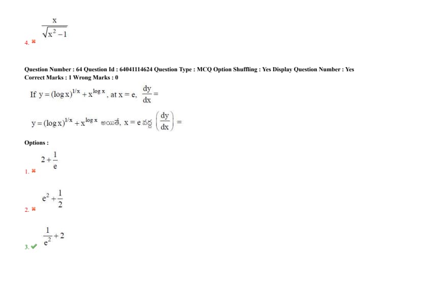
If \( y = (\log x)^{1/x} + x^{\log x} \), then at \( x = e \), \( \frac{dy}{dx} \) equals:
View Solution
The interval in which the function \( f(x) = \tan^{-1}(\sin x + \cos x) \) is an increasing function, is:
View Solution
The slope of a tangent drawn at the point \( P(\alpha, \beta) \) lying on the curve \( y = \frac{1}{2x - 5} \) is \(-2\). If \( P \) lies in the fourth quadrant, then \( \alpha - \beta = \)
View Solution
The function \(f(x) = xe^{-x} \forall x \in \mathbb{R}\) attains a maximum value at \(x = k\), then \(k =\)
View Solution
If \( m \) and \( M \) are the absolute minimum and absolute maximum values of the function \( f(x) = 2\sqrt{2} \sin x - \tan x \) in the interval \( \left[0, \frac{\pi}{3} \right] \), then \( m + M = \)
View Solution
Evaluate \( \int \frac{\sec^2 x}{\sin^7 x} \, dx - \int \frac{7}{\sin^7 x} \, dx \):
View Solution
If \( \int \left( x^6 + x^4 + x^2 \right) \sqrt{2x^4 + 3x^2 + 6} \, dx = f(x) + c \), then \( f(3) = \)
View Solution
Evaluate: \[ \int \frac{dx}{(x+1)\sqrt{x^2+1}} \]
View Solution
If \( \int \frac{dx}{2\cos x + 3\sin x + 4} = \frac{2}{\sqrt{3}}f(x) + c \), then \( f\left(\frac{2\pi}{3}\right) = \)
View Solution
If \(\int \frac{1}{((x+4)^3 (x+1)^5)^{1/4}} dx = A \cdot \left(\frac{x+4}{x+1}\right)^n + c\), then
View Solution
\( \int_{-\pi/2}^{\pi/2} \sin^2 x \cos^2 x (\sin x + \cos x) \, dx = \)
View Solution
Evaluate the integral \( \displaystyle \int_{1/5}^{1/2} \frac{\sqrt{x - x^2}}{x^3} \, dx \):
View Solution
Evaluate: \( \int_0^{400\pi} \sqrt{1 - \cos 2x} \, dx \)
View Solution
Area of the region (in sq. units) bounded by the curve \( y = x^2 - 5x + 4 \), \( x = 0 \), \( x = 2 \), and the X-axis is
View Solution
If the order and degree of the differential equation \(x \frac{d^2 y}{dx^2} = \left(1 + \left(\frac{d^2 y}{dx^2}\right)^2\right)^{-1/2}\) are \(k\) and \(l\) respectively, then \(k, l\) are the roots of
View Solution
The equation of the curve passing through the point \( (0, \pi) \) and satisfying the differential equation \( ydx = (x + y^3 \cos y)dy \) is
View Solution
The general solution of the differential equation \( \left(x - (x + y)\log(x + y)\right) dx + x\,dy = 0 \) is:
View Solution
If the equation for the velocity of a particle at time 't' is \(v = at + \frac{b}{t+c}\), then the dimensions of a, b, c are respectively
View Solution
If a stone thrown vertically upwards from a bridge with an initial velocity of \(5 \operatorname{ms}^{-1}\), strikes the water below the bridge in a time of 3 s, then the height of the bridge above the water surface is (Acceleration due to gravity = \(10 \operatorname{ms}^{-2}\))
View Solution
If \( \alpha \), \( \beta \), and \( \gamma \) are the angles made by a vector with the \( x \)-, \( y \)-, and \( z \)-axes respectively, then find the value of \( \sin^2\alpha + \sin^2\beta \).
View Solution
A particle moving along a straight line covers the first half of the distance with a speed of \( 3 m s^{-1} \), the other half of the distance is covered in two equal time intervals with speeds of \( 4.5 m s^{-1} \) and \( 7.5 m s^{-1} \) respectively, then the average speed of particle during the motion is
View Solution
Water flowing through a pipe of area of cross-section \( 2 \times 10^{-3} m^2 \) hits a vertical wall horizontally with a velocity of \( 12 m s^{-1} \). If the water does not rebound after hitting the wall, then the force acting on the wall due to water is
View Solution
Two blocks A and B of masses 2 kg and 4 kg respectively are kept on a rough horizontal surface. If same force of 20 N is applied on each block, then the ratio of the accelerations of the blocks A and B is (Coefficient of kinetic friction between the surface and the blocks is 0.3 and acceleration due to gravity = \(10 \operatorname{ms}^{-2}\))
View Solution
If a force of \((6x^2 - 4x) \operatorname{N}\) acts on a body of mass 10 kg, then work to be done by the force in displacing the body from \(x = 2 \operatorname{m}\) to \(x = 4 \operatorname{m}\) is
View Solution
A circular well of diameter \(2 \, m\) has water up to the ground level. If the bottom of the well is at a depth of \(14 \, m\), the time taken in seconds to empty the well using a \(1.4 \, kW\) motor is (Acceleration due to gravity = \(10 \, m/s^2\))
View Solution
The coordinates of the centre of mass of a uniform L-shaped plate of mass 3 kg shown in the figure is:
View Solution
A force \( F \) is applied on a body of mass \( m \) so that the body starts moving from rest. The power delivered by the force at time \( t \) is proportional to:
View Solution
The equations for the displacements of two particles in simple harmonic motion are \( y_1 = 0.1\sin\left(100\pi t + \frac{\pi}{3}\right) \) and \( y_2 = 0.1\cos(\pi t) \) respectively. The phase difference between the velocities of the two particles at a time \( t = 0 \) is
View Solution
A spring is stretched by \( 0.2 m \) when a mass of \( 0.5 kg \) is suspended to it. The time period of the spring when \( 0.5 kg \) mass is replaced with a mass of \( 0.25 kg \) is
(Acceleration due to gravity \( = 10 m s^{-2} \))
View Solution
An artificial satellite is revolving around a planet of radius \( R \) in a circular orbit of radius \( a \). If the time period of revolution of the satellite, \( T \propto a^{3/2}g^xR^y \), then the values of \( x \) and \( y \) are respectively:
View Solution
If the longitudinal strain of a stretched wire is 0.2% and the Poisson's ratio of the material of the wire is 0.3, then the volume strain of the wire is
View Solution
If two soap bubbles A and B of radii \(r_1\) and \(r_2\) respectively are kept in vaccum at constant temperature, then the ratio of masses of air inside the bubbles A and B is
View Solution
A small quantity of water of mass 'm' at temperature \( \theta ^\circC \) is mixed with a large mass 'M' of ice which is at its melting point. If 's' is specific heat capacity of water and 'L' is the Latent heat of fusion of ice, then the mass of ice melted is
View Solution
In a Carnot engine, if the absolute temperature of the source is \( 25% \) more than the absolute temperature of the sink, then the efficiency of the engine is
View Solution
The work done by 6 moles of helium gas when its temperature increases by \( 20^\circ C \) at constant pressure is (Universal gas constant = \( 8.31 \, J mol^{-1} \, K^{-1} \))
View Solution
If a heat engine and a refrigerator are working between the same two temperatures \(T_1\) and \(T_2\) (\(T_1 > T_2\)), then the ratio of efficiency of heat engine to coefficient of performance of refrigerator is
View Solution
If the internal energy of 3 moles of a gas at a temperature of 27 °C is 2250R, then the number of degrees of freedom of the gas is (R - Universal gas constant)
View Solution
If two progressive sound waves represented by \( y_1 = 3 \sin 250 \pi t \) and \( y_2 = 2 \sin 260 \pi t \) (where displacement is in metre and time is in second) superimpose, then the time interval between two successive maximum intensities is
View Solution
If the least distance of distinct vision for a boy is \( 35 cm \), then the lens to be used by the boy for correcting the defect of his eye is
View Solution
In Young's double-slit experiment, if the distance between the slits is increased to 3 times its initial distance, then the ratio of initial and final fringe widths is.
View Solution
A solid of mass 1 kg has \(6 \times 10^{24}\) atoms. If one electron is removed from every one atom of 0.005% of the atoms, then the charge gained by the solid is
View Solution
One of the two identical capacitors having the same capacitance C, is charged to a potential \(V_1\) and the other is charged to a potential \(V_2\). If they are connected with their like plates together, then the decrease in the electrostatic potential energy of the combined system is
View Solution
If the energy stored in a spherical conductor having a charge of \( 12 \, \muC \) is \( 6 \, J \), then the radius of the spherical conductor is.
View Solution
A part of a circuit is shown in the figure. The ratio of the potential differences between the points A and C, and the points D and E is.
View Solution
A DC supply of \(160\,V\) is used to charge a battery of EMF \(10\,V\) and internal resistance \(1\,\Omega\) by connecting a series resistance of \(24\,\Omega\). The terminal voltage of the battery during charging is:
View Solution
The magnetic moment of an electron moving in a circular orbit of radius R with a time period T is
View Solution
A solenoid of one meter length and \( 3.55 cm \) inner diameter carries a current of \( 5 A \). If the solenoid consists of five closely packed layers each with \( 700 \) turns along its length, then the magnetic field at its centre is
View Solution
The work done in rotating a bar magnet which is initially in the direction of a uniform magnetic field through \( 45^\circ \) is \( W \). The additional work to be done to rotate the magnet further through \( 15^\circ \) is.
View Solution
When a current of \( 4 \, mA \) passes through an inductor, if the flux linked with it is \( 32 \times 10^{-6} \, Tm^2 \), then the energy stored in the inductor is.
View Solution
In a series resonant LCR circuit, for the power dissipated to become half of the maximum power dissipated, the current amplitude is
View Solution
The waves having maximum wavelength among the following electromagnetic waves is
View Solution
If the de Broglie wavelength of an electron is \( 2 nm \), then its kinetic energy is nearly
(Planck's constant \( = 6.6 \times 10^{-34} J s \) and mass of electron \( = 9 \times 10^{-31} kg \))
View Solution
The ratio of the wavelengths of the spectral lines emitted due to transitions \( 3 \rightarrow 2 \) and \( 2 \rightarrow 1 \) orbits in the hydrogen atom is
View Solution
The density (in \(kg m^{-3}\)) of nuclear matter is of the order of
View Solution
In a common emitter amplifier of a transistor, if the ratio of the voltage gain and current amplification factor is 4, then the ratio of the collector and base resistances is.
View Solution
If three logic gates are connected as shown in the figure, then the correct truth table of the circuit is
View Solution
Ionosphere acts as a reflector for the frequency range of
View Solution
The uncertainty in the velocities of two particles \( A \) and \( B \) are \( 0.03 \) and \( 0.01 \, m/s \), respectively. The mass of \( B \) is four times the mass of \( A \). The ratio of uncertainties in their positions is.
View Solution
The total maximum number of electrons possible in 3d, 6d, 5s and 4f orbitals with \(m_l\) (magnetic quantum number) value -2 is
View Solution
The period and group numbers of the element having maximum electronegativity in the long form of periodic table, respectively, are
View Solution
Identify the pair of molecules which have the same hybridisation as the hybridisation in Xenon (II) fluoride.
View Solution
Identify the set containing isoelectronic species.
View Solution
Choose the incorrect statement from the following
View Solution
An ideal gas mixture of C\(_2\)H\(_6\) and C\(_2\)H\(_4\) occupies a volume of 28 L at 1 atm and 273 K. This mixture reacts completely with 128 g of O\(_2\) to produce CO\(_2\) and H\(_2\)O(\(l\)). What is the mole fraction of C\(_2\)H\(_4\) in the mixture ?
View Solution
Identify the incorrect statements from the following.
I. For an adiabatic process, \( \Delta U = w_{ad} \).
II. Enthalpy is an intensive property.
III. For the process \( H_2O(\ell) \rightarrow H_2O(s) \), the entropy increases.
View Solution
The enthalpies of formation of \( CO_2(g) \), \( H_2O(l) \), and \( C_6H_{12}O_6(s) \) are \( -393 \), \( -286 \), and \( -1170 \, kJ mol^{-1} \), respectively. The quantity of heat liberated when \( 18 \, g \) of \( C_6H_{12}O_6(s) \) is burnt completely in oxygen is.
View Solution
The percentage of ionization of \( 1 \, L \) of \( x \, M \) acetic acid is \( 4.242% \) and is called solution "A". The percentage of ionization of \( 1 \, L \) of \( y \, M \) acetic acid is \( 3% \) and is called solution "B". Solution "A" is mixed with solution "B". What is the concentration of acetic acid in the resultant solution? (\( K_a \) of acetic acid = \( 1.8 \times 10^{-5} \))
View Solution
At 298 K, the value of K\(_p\) for N\(_2\)O\(_4\)(g) \(\rightleftharpoons\) 2NO\(_2\)(g) is 0.113 atm. The partial pressure of N\(_2\)O\(_4\) at equilibrium is 0.2 atm. What is the partial pressure (in atm) of NO\(_2\) at equilibrium ?
View Solution
H\(_2\)O\(_2\) reduces KMnO\(_4\) in acidic medium to 'x' and in basic medium to 'y'. What are x and y?
View Solution
Which chloride does not exist as hydrate ?
View Solution
Identify the incorrect statement about the group 13 elements
View Solution
Which of the following statements are correct ?
I) SnF\(_4\) is ionic in nature
II) Stability of dihalides of group 14 elements increases down the group
III) GeCl\(_2\) is more stable than GeCl\(_4\)
View Solution
Which of the following when present in excess in drinking water causes the disease methemoglobinemia ?
View Solution
IUPAC name of the following compound is
View Solution
The empirical formula weight of 'Z' in the given reaction sequence is
n-propyl bromide \(\xrightarrow{Na}\) X \(\xrightarrow{V_2O_5 773 K}\) Y \(\xrightarrow{Cl_2 UV 500 K}\) Z
Dry ether 20 atm
View Solution
If AgCl is doped with \(1 \times 10^{-4}\) mole percent of CdCl\(_2\), the number of cation vacancies (in mol\(^{-1}\)) is
View Solution
In an aqueous glucose solution, the mole fraction of water is 40 times the mole fraction of glucose. What is the weight percentage (w/w) of glucose in the solution?
View Solution
Benzoic acid molecules undergo dimerisation in benzene. 2.44 g of benzoic acid when dissolved in 30 g of benzene caused depression in freezing point of 2 K. What is the percentage of association of it ?
(Given \(K_f (C_6H_6) = 5\operatorname{K kg mol^{-1}}\); molar mass of benzoic acid \(= 122\operatorname{g mol^{-1}}\))
View Solution
When the lead storage battery is in use (during discharge) the reaction that occurs at the anode is
View Solution
The following equation is obtained for a first order reaction at 300 K.
\(\log_{10} \frac{k}{A} = 0.00174\)
What is the activation energy (in J mol\(^{-1}\)) of the reaction ?
(R = 8.314 J mol\(^{-1}\) K\(^{-1}\))
View Solution
Match the following
\begin{tabular{ll
List-I (colloidal solution) & List-II (use)
\addlinespace
A) Colloidal antimony & I) Eye lotion
B) Argyrol & II) Intramuscular injection
C) Colloidal gold & III) Kalaazar
D) Milk of magnesia & IV) Stomach disorders
\end{tabular
The correct answer is
View Solution
Adsorption of a gas on solids follows Freundlich adsorption isotherm. The graph drawn between log \(\frac{x}{m}\) (on y-axis) and log p (on x-axis) is a straight line with slope equal to 3 and intercept equal to 0.30. What is the value of \(\frac{x}{m}\) at a pressure of 2 atm ?
(Given; log 2 = 0.3)
View Solution
Nature of two oxides of nitrogen X and Y formed in the reaction of sodium nitrite with hydrochloric acid is
View Solution
Identify the complex ion with spin only magnetic moment of 4.90 BM.
View Solution
What are \( X \) and \( Y \) in the following reaction?
\(\)
\text{nCl/CH_2 \xrightarrow{X Y \(\)
View Solution
Consider the following
Statement-I: Cane sugar is a disaccharide of \(\alpha\)-D-glucose and \(\beta\)-D-fructose
Statement-II: Milk sugar is a disaccharide of \(\alpha\)-D-glucose and \(\beta\)-D-galactose
Options:
View Solution
The deficiency of vitamin (X) causes convulsions. Source of X is Y. What are X and Y ?
View Solution
Which of the following is not an example of a synthetic detergent?
View Solution
The most reactive compound towards nucleophilic substitution with an aqueous \( NaOH \) is:
View Solution
An alkyl bromide \( X (C_5H_{11}Br) \) undergoes hydrolysis in a two-step mechanism. \( X \) is converted to a Grignard reagent and then reacted with \( CO_2 \) in dry ether followed by acidification gave \( Y \). What is \( Y \)?
View Solution
Consider the following sequence of reactions.
\(\operatorname{C}_6\operatorname{H}_5\operatorname{COONa} \xrightarrow{NaOH/CaO, \Delta}\) X \(\xrightarrow{CO+HCl, Anhy. AlCl_3}\) Y \(\xrightarrow{NaOH}\) A + B
If A is the reduction product of Y, what is B ?
View Solution
What is \( A \) in the following reaction? \(\)
\text{CH_3-\text{CH=\text{CH-\text{CH_2-\text{CH_2-\text{CN \xrightarrow{(1)\,A(\text{i-Bu)_2{(2)\,\text{H_2\text{O \rightarrow A \(\)
View Solution
The correct statement regarding X and Y formed in the following reaction is
\((\operatorname{CH}_3)_3\operatorname{COC}_2\operatorname{H}_5 \xrightarrow{HI, \Delta}\) halide(X) + alcohol(Y)
Options:
View Solution
Consider the following
Statement-I: In the nitration of aniline, more amount of m-nitroaniline is formed than expected.
Statement-II: In the presence of a strongly acidic medium, aniline is protonated to form anilinium ion, which is meta directing.
View Solution
AP EAPCET 2025 Engineering Important Topics
The AP EAPCET 2025 Engineering examination will be held in CBT mode from May 21 to May 27, 2025, and more than 2.5 lakh students are expected to appear in the exam. ]
The examination comprises 160 questions—80 in Mathematics, 40 in Physics, and 40 in Chemistry.
AP EAPCET 2025 Important Topics for Mathematics
| Important Topics | Why Important? |
|---|---|
| Algebra | They will be asked questions about quadratic equations and polynomials |
| Calculus | This is the most scoring, including the definite & indefinite integration |
| Coordinate Geometry | It will be concept-based, including frequently repeated questions |
| Trigonometry | These are Formula-based and include short calculation questions |
| Vector Algebra | It will be Conceptual and have moderate weightage |
AP EAPCET 2025 Important Topics for Chemistry
| Important Topics | Why Important? |
|---|---|
| Organic Chemistry (Reactions + Mechanisms) | These are mostly asked and are easy to revise, as most of the questions are from the NCERT. |
| Thermodynamics & Thermochemistry | There will be conceptual and numerical-based questions. |
| Chemical Bonding | The questions will be concept-related, including multiple questions. |
| Equilibrium (Chemical + Ionic) | Moderate weightage requires clarity |
| Coordination Compounds | Direct questions based on the NCERT theory |
AP EAPCET 2025 Important Topics for Physics
| Important Topics | Why Important? |
|---|---|
| Laws of Motion & Work-Energy | Frequently asked: core mechanicsThese are the most commonly asked, including core mechanics |
| Thermodynamics & Kinetic Theory | It is Important to score and include concept-based numericals. |
| Current Electricity | It is a high-weightage topic with 2-3 questions. |
| Ray & Wave Optics | It includes Theoretical and diagram-based questions |
| Oscillations & Waves | There are 1–2 questions, often including conceptually tricky questions. |
AP EAPCET 2025 Engineering – Expected Difficulty Level
In the AP EAPCET 2025 Engineering exam, candidates can expect a paper pattern similar to that of the previous years. The exam continues to assess both speed and conceptual clarity.
The overall difficulty level is expected to be moderate, with slight variations across shifts.
Subject-Wise Expected Difficulty Level for AP EAPCET 2025
| Subject | Expected Difficulty | Key Characteristics | Scoring Potential |
| Mathematics | Moderate to Difficult |
|
Moderate (55–60/80) |
| Physics | Moderate | Concept-based questions from
|
Moderate (25–30/40) |
| Chemistry | Easy to Moderate | Mostly NCERT-basedOrganic and Physical Chemistry | High (30–35/40) |








Comments