The Engineering exam of the AP EAPCET 2025 was conducted on 26th May from 9:00 A.M. to 12:00 P.M. in CBT Mode in more than 117 exam centres in Andhra Pradesh and Telangana.
The AP EAPCET 2025 May 26th Question Paper, along with the Answer key, is available here. The AP EAPCET 2025 Question Paper includes 160 MCQs, each correct answer will carry 1 mark without any negative marking.
AP EAPCET 2025 Question Paper with Answer Key PDF May 26 Shift 1
| AP EAPCET 2025 May 26 Shift 1 Question Paper with Answer Key | Download PDF | Check Solution |

The domain of the real valued function \( f(x) = \frac{3}{4 - x^2} + \log_{10}(x^3 - x) \) is
View Solution
A real valued function \( f: A \to B \) defined by \( f(x) = \frac{4 - x^2}{4 + x^2} \ \forall x \in A \) is a bijection.
If \( -4 \in A \), then \( A \cap B = \)
View Solution
If \( S_n = 1^3 + 2^3 + \ldots + n^3 \) and \( T_n = 1 + 2 + \ldots + n \), then
View Solution
If \( A = \begin{bmatrix} -1 & x & -3
2 & 4 & z
y & 5 & -6 \end{bmatrix} \) is symmetric and \( B = \begin{bmatrix} 0 & 2 & q
p & 0 & 4
-3 & r & s \end{bmatrix} \) is skew-symmetric, then find \( |A| + |B| - |AB| \)
View Solution
If the inverse of \[ \begin{bmatrix} -x & 14x & 7x
0 & 1 & 0
x & -4x & -2x \end{bmatrix} \]
is \[ \begin{bmatrix} 2 & 0 & 7
0 & 1 & 0
1 & -2 & 1 \end{bmatrix} \]
then the value of \[ \begin{vmatrix} x & x+1 & x+2
x+1 & x+2 & x+3
x+2 & x+3 & x+4 \end{vmatrix} \]
View Solution
If the system of equations \( 2x + 3y - 3z = 3,\ x + 2y + \alpha z = 1,\ 2x - y + z = \beta \) has infinitely many solutions, then \( \frac{\alpha}{\beta} = \frac{\beta}{\alpha} \)
View Solution
If a complex number \( z = x + iy \) represents a point \( P \) on the Argand plane and \[ Arg \left( \frac{z - 3 + 2i}{z + 2 - 3i} \right) = \frac{\pi}{4} \]
then the locus of \( P \) is
View Solution
By taking \( \sqrt{a \pm ib} = x + iy, x > 0 \), if we get \[ \frac{\sqrt{21} + 12\sqrt{2}i}{\sqrt{21} - 12\sqrt{2}i} = a + ib, \]
then \( \frac{b}{a} = \) ?
View Solution
Two values of \( (-8 - 8\sqrt{3}i)^{1/4} \) are
View Solution
Let \( f(x) = x^2 + 2bx + 2c^2 \) and \( g(x) = -x^2 - 2cx + b^2 \), \( x \in \mathbb{R} \).
If \( b \) and \( c \) are non-zero real numbers such that \( \min f(x) > \max g(x) \), then \[ \left| \frac{c}{b} \right| \]
lies in the interval
View Solution
If \( x^2 - 4x + 5 + a > 0 \) for all \( x \in \mathbb{R} \) whenever \( a \in (\alpha, \beta) \), then \( 4\beta + \alpha = \)
View Solution
If \( \alpha, \beta, \gamma \) are the roots of the equation \( x^3 - 12x^2 + kx - 18 = 0 \) and one of them is thrice the sum of the other two, then \[ \alpha^2 + \beta^2 + \gamma^2 - k = ? \]
View Solution
The polynomial equation of degree 5 whose roots are the roots of the equation \[ x^5 - 3x^4 + 11x^2 - 12x + 4 = 0 \]
each increased by 2 is
View Solution
The number of positive integers less than 10000 which contain the digit 5 at least once is
View Solution
5 men and 4 women are seated in a row. If the number of arrangements in which one particular man and one particular woman are together is \( \alpha \), and the number of arrangements in which they are not together is \( \beta \), then \( \frac{\alpha}{\beta} = \)
View Solution
If a team of 4 persons is to be selected out of 4 married couples to play mixed doubles tennis game, then the number of ways of forming a team in which no married couple appears is
View Solution
In the binomial expansion of \( (p - q)^{14} \), if the sum of 7th and 8th terms is zero, then \[ \frac{p + q}{p - q} = ? \]
View Solution
The numerically greatest term in the expansion of \( (x + 3y)^{13} \), when \( x = \frac{1}{2},\ y = \frac{1}{3} \), is
View Solution
If \( \frac{x^4}{(x-1)(x-2)} = \frac{A}{x - 1} + \frac{B}{x - 2} \), then \[ f(-2) + A + B = ? \]
View Solution
Evaluate: \[ \sin \frac{\pi}{12} \cdot \sin \frac{2\pi}{12} \cdot \sin \frac{3\pi}{12} \cdot \sin \frac{4\pi}{12} \cdot \sin \frac{5\pi}{12} \cdot \sin \frac{6\pi}{12} \]
View Solution
If \( \tan\left( \frac{\pi}{4} + \alpha \right) = \tan^3\left( \frac{\pi}{4} + \beta \right) \), then compute: \[ \tan(\alpha + \beta) \cot(\alpha - \beta) = ? \]
View Solution
If \( A + B + C + D = 2\pi \), then \[ \sin A + \sin B + \sin C + \sin D = ? \]
View Solution
If \( 0 \le x \le 3,\ 0 \le y \le 3 \), then the number of solutions \((x, y)\) for the equation: \[ \left( \sqrt{\sin^2 x - \sin x + \frac{1}{2}} \right)^{\sec^2 y} = 1 \]
View Solution
If \( \theta = \tan^{-1} \left( \frac{1}{3} \right) + \tan^{-1} \left( \frac{1}{7} \right) + \tan^{-1} \left( \frac{1}{13} \right) + \tan^{-1} \left( \frac{1}{21} \right) + \tan^{-1} \left( \frac{1}{31} \right) \), then \( \tan \theta = ? \)
View Solution
If \( \tanh^{-1} x = \coth^{-1} y = \log \sqrt{5} \), then find \( \tan^{-1}(xy) = ? \)
View Solution
In triangle \( ABC \), if \( C = 120^\circ \), \( c = \sqrt{19} \), and \( b = 3 \), then \( a = ? \)
In triangle \( ABC \), \( 2A + C = 300^\circ \). If the circumradius is 8 times the inradius, then \( \sin\frac{C}{2} = ? \)
View Solution
In triangle \( ABC \), if \( a = 5,\ b = 4,\ \cos(A - B) = \frac{31}{32} \), then \( c = ? \)
View Solution
If the line joining points \( \vec{r}_1 = \hat{i} + 2\hat{j} \) and \( \vec{r}_2 = \hat{j} - 2\hat{k} \) intersects the plane through the points \( \vec{A} = 2\hat{i} - \hat{j},\ \vec{B} = -2\hat{j} + 3\hat{k},\ \vec{C} = \hat{k} - 2\hat{i} \) at \( T \), then find \( \vec{r}_T \cdot (\hat{i} + \hat{j} + \hat{k}) \)
View Solution
Let vectors: \( \vec{A} = \hat{i} - 2\hat{j} + \hat{k},\ \vec{B} = \hat{i} + \hat{j} - 2\hat{k},\ \vec{C} = 2\hat{i} - \hat{j},\ \vec{D} = \hat{i} + \hat{j} + \hat{k} \)
If \( P \) divides \( AB \) in ratio 2:1 internally, and \( Q \) divides \( CD \) in ratio 1:2 externally, find the ratio in which the point \( 5\hat{i} - 6\hat{j} - 5\hat{k} \) divides line \( PQ \)
View Solution
The vector equation of a plane passing through the line of intersection of the planes \[ \vec{r} \cdot (\hat{i} - 2\hat{k}) = 3,\quad \vec{r} \cdot (\hat{j} + \hat{k}) = 5 \]
and also passing through the point \( \vec{r} = \hat{i} + 2\hat{j} + 3\hat{k} \) is:
View Solution
If \( \vec{a} = \hat{i} + \hat{j}, \vec{b} = 2\hat{j} - \hat{k} \) are two vectors such that \( \vec{r} \times \vec{a} = \vec{b} \times \vec{a}, \vec{r} \times \vec{b} = \vec{a} \times \vec{b} \), then the unit vector in the direction of \( \vec{r} \) is:
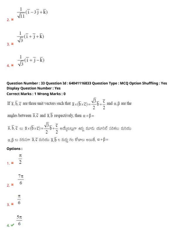
If \( \vec{a}, \vec{b}, \vec{c} \) are three unit vectors such that \( \vec{a} \times (\vec{b} \times \vec{c}) = \frac{\sqrt{3}}{2} \vec{b} + \frac{1}{2} \vec{c} \), and \( \alpha, \beta \) are the angles between \( \vec{a}, \vec{c} \) and \( \vec{a}, \vec{b} \) respectively, then \( \alpha + \beta = ? \)
View Solution
Find the variance of the following frequency distribution:
| Class Interval | ||||
| 0--4 | 4--8 | 8--12 | 12--16 | |
| Frequency | 1 | 2 | 2 | 1 |
View Solution
From the word "CURVE", how many 3-letter words can be formed out of all 2-letter or more combinations (with all distinct letters)? Find probability of getting a 3-letter word.
View Solution
Three numbers are chosen from 1 to 30. Find the probability that they are NOT 3 consecutive numbers.
View Solution
If \( P(\bar{A}) = 0.3,\ P(B) = 0.4,\ P(A \cap \bar{B}) = 0.5 \), then find \( P(B / (A \cup \bar{B})) \)
View Solution
Two candidates A and B attended an interview for two jobs. The probability that A gets the job is 0.8, and for B it is 0.7. What is the probability that at least one of them gets a job?
View Solution
X denotes the number of heads in \( n \) tosses of a fair coin. If \( P(X = 4),\ P(X = 5),\ P(X = 6) \) are in arithmetic progression, find the largest possible value of \( n \).
View Solution
| X | -2 | -1 | 0 | 1 | 2 |
|---|---|---|---|---|---|
| P(X) | k2/3 | k2 | 2k2/3 | k/2 | k/2 |
Find the mean (expected value) of \( X \).
View Solution
Let \( A(4, 3), B(2, 5) \) be two points. If \( P \) is a variable point on the same side of the origin as that of line \( AB \) and at most 5 units from the midpoint of \( AB \), then the locus of \( P \) is:
View Solution
By shifting the origin to the point (2, 3) through translation of axes, if the equation of the curve \[ x^2 + 3xy - 2y^2 + 4x - y - 20 = 0 \]
is transformed to the form \[ Ax^2 + Bxy + Cy^2 + Dx + Ey + F = 0, \]
then find \( D + E + F \).
View Solution
The points \( (2,3) \) and \( \left(-4, \frac{4}{3}\right) \) lie on opposite sides of the line \[ L = 5x - 6y + k = 0, \]
and \( k \) is an integer. If the points \( (1, 2) \) and \( (4, 5) \) lie on the same side of the line, then the perpendicular distance from the origin to the line \( L = 0 \) is?
View Solution
If the incentre of the triangle formed by lines \[ x - 2 = 0, \quad x + y - 1 = 0, \quad x - y + 3 = 0 \]
is \( (\alpha, \beta) \), then find \( \beta \).
View Solution
If the equation of the pair of straight lines intersecting at \( (a, b) \) and perpendicular to the pair \[ 3x^2 - 4xy + 5y^2 = 0 \]
is \[ lx^2 + 2hxy + my^2 = 0, \]
then find \[ \frac{a + b + c}{l + h + m}. \]
View Solution
PQR is a right angled isosceles triangle with right angle at \( P(2, 1) \). If the equation of the line \( QR \) is \[ 2x + y = 3, \]
then the equation representing the pair of lines \( PQ \) and \( PR \) is:
View Solution
The circles \[ x^2 + y^2 - 2x - 4y - 4 = 0 \]
and \[ x^2 + y^2 + 2x + 4y - 11 = 0 \]
...
View Solution
If the line \[ 4x - 3y + 7 = 0 \]
touches the circle \[ x^2 + y^2 - 6x + 4y - 12 = 0 \]
at \( (\alpha, \beta) \), then find \( \alpha + 2\beta \).
View Solution
The slope of the common tangent drawn to the circles \[ x^2 + y^2 - 4x + 12y - 216 = 0 \]
and \[ x^2 + y^2 + 6x - 12y + 36 = 0 \]
is:
View Solution
If \( r_1 \) and \( r_2 \) are radii of two circles touching all the four circles \[ (x \pm r)^2 + (y \pm r)^2 = r^2, \]
then find the value of \[ \frac{r_1 + r_2}{r}. \]
View Solution
If the equation of the circle having the common chord to the circles \[ x^2 + y^2 + x - 3y - 10 = 0 \]
and \[ x^2 + y^2 + 2x - y - 20 = 0 \]
as its diameter is \[ x^2 + y^2 + \alpha x + \beta y + \gamma = 0, \]
then find \( \alpha + 2\beta + \gamma \).
View Solution
If \( x - y - 3 = 0 \) is a normal drawn through the point \( (5, 2) \) to the parabola \( y^2 = 4x \), then the slope of the other normal that can be drawn through the same point to the parabola is?
View Solution
If the normal drawn at the point \[ P \left(\frac{\pi}{4}\right) \]
on the ellipse \[ x^2 + 4y^2 - 4 = 0 \]
meets the ellipse again at \( Q(\alpha, \beta) \), then find \( \alpha \).
View Solution
If \( \theta \) is the angle subtended by a latus rectum at the center of the hyperbola having eccentricity \[ \frac{2}{\sqrt{7} - \sqrt{3}}, \]
then find \( \sin \theta \).
View Solution
The tangent drawn at an extremity (in the first quadrant) of latus rectum of the hyperbola \[ \frac{x^2}{4} - \frac{y^2}{5} = 1 \]
meets the x-axis and y-axis at \( A \) and \( B \) respectively. If \( O \) is the origin, find \[ (OA)^2 - (OB)^2. \]
View Solution
The points \( A(-1, 2, 3), B(2, -3, 1), C(3, 1, -2) \)
are:
View Solution
The direction cosines of the line making angles \[ \frac{\pi}{4}, \frac{\pi}{3} \]
and \( \theta \) (where \( 0 < \theta < \frac{\pi}{2} \)) with X, Y, and Z axes respectively are:
View Solution
If the equation of the plane passing through point \( (3, 2, 5) \) and perpendicular to the planes \[ 2x - 3y + 5z = 7, \quad 5x + 2y - 3z = 11 \]
is \[ x + by + cz + d = 0, \]
then find \( 2b + 3c + d \).
View Solution
Evaluate: \[ \lim_{x \to \infty} \left[ x - \log(\cosh x) \right] \]
View Solution
Evaluate: \[ \lim_{x \to \infty} \left( \sqrt[3]{x^3 + 4x^2} - \sqrt{x^2 - 3x} \right) \]
View Solution
If a real valued function \[ f(x) = \begin{cases} \frac{\sin a(x - [x])}{e^{x - [x]}}, & x < 1
b + 1, & x = 1
\frac{|x^2 + x - 2|}{x - 1}, & x > 1 \end{cases} \]
is continuous at \( x=1 \), then find \( b \).
Here, \( [x] \) denotes the greatest integer function.
View Solution
If \[ \sin x \sqrt{\cos y} - \cos y \sqrt{\sin x} = 0, \]
then find \[ \frac{dy}{dx}. \]
View Solution
If \[ f(x) = 2 + |\sin^{-1} x|, \]
and \[ A = \{ x \in \mathbb{R} \mid f'(x) exists \}, \]
then find \( A \).
View Solution
If \[ y = (\log_x \sin x)^x, \]
then find \[ \frac{dy}{dx}. \]
View Solution
If the area of a square is 575 square units, then the approximate value of its side is:
View Solution
If the tangent of the curve \[ 4y^3 = 3ax^2 + x^3 \]
drawn at the point \( (a, a) \) forms a triangle of area \(\frac{25}{24}\) sq. units with the coordinate axes, then find \( a \).
View Solution
If the function \[ f(x) = \sin x - \cos^2 x \]
is defined on the interval \( [-\pi, \pi] \), then \( f \) is strictly increasing in the interval:
View Solution
If Lagrange's mean value theorem is applied to the function \[ f(x) = e^x \]
defined on the interval \( [1, 2] \) and the value of \( c \in (1, 2) \) is \( k \), then find \( e^{k-1} \).
View Solution
If \[ \int \frac{x^4 + 1}{x^2 + 1} dx = Ax^3 + Bx^2 + Cx + D \tan^{-1} x + E, \]
then find \( A + B + C + D \).
View Solution
If \[ \int \frac{x^2 - x + 2}{x^2 + x + 2} dx = x - \log(f(x)) + \frac{2}{\sqrt{7}} \tan^{-1}(g(x)) + c, \]
then find \[ f(-1) + \sqrt{7} g(-1). \]
View Solution
Evaluate the integral: \[ \int \sec \left(x - \frac{\pi}{3}\right) \sec \left(x + \frac{\pi}{6}\right) dx \]
View Solution
If \[ \int \frac{a \cos x + 3 \sin x}{5 \cos x + 2 \sin x} dx = \frac{26}{29} x - \frac{k}{29} \log |5 \cos x + 2 \sin x| + c, \]
then find \( |a + k| \).
View Solution
If \[ \int \frac{dx}{1 - \sin^4 x} = A \tan x + B \tan^{-1}(\sqrt{2} \tan x) + C, \]
then find \( A^2 - B^2 \).
View Solution
Evaluate: \[ \int_0^1 x \sin^{-1} x \, dx \]
View Solution
Evaluate: \[ \int_{-\pi/2}^{\pi/2} \sin \left(x - [x]\right) dx \]
where \([x]\) is the greatest integer function.
View Solution
Evaluate the integral: \[ \int_0^2 x^2 (2 - x)^5 \, dx \]
View Solution
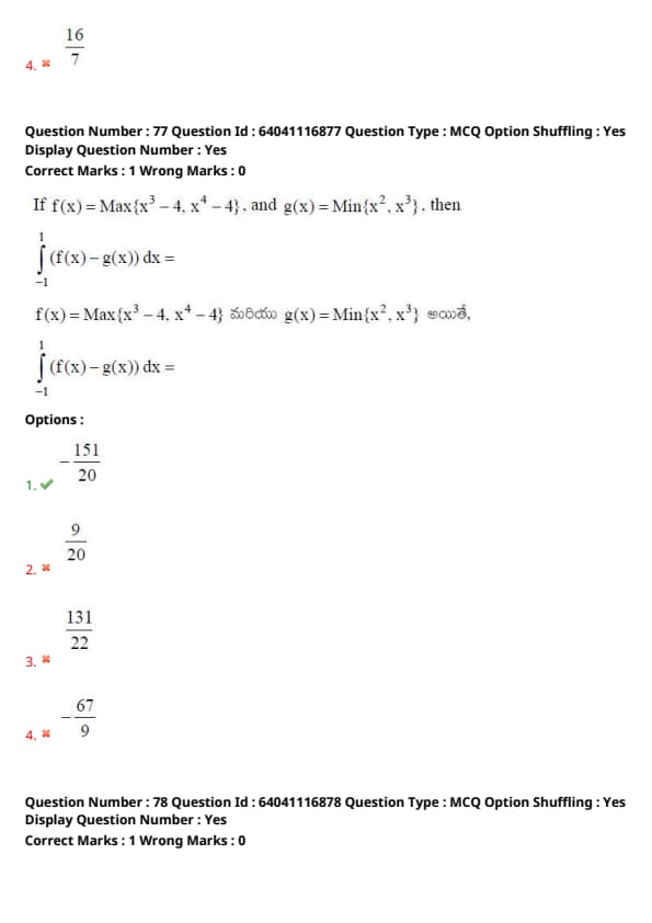
If \( f(x) = \max \{ x^3 - 4, x^4 - 4 \} \) and \( g(x) = \min \{ x^2, x^3 \} \), evaluate: \[ \int_{-1}^1 (f(x) - g(x)) \, dx \]
View Solution
If \[ y = A t^2 + \frac{B}{t} \quad (A, B constants) \]
is a general solution of the differential equation \[ f(t) y'' + g(t) y' + h(t) y = 0, \]
then find the relation between \( g(t), f(t), h(t) \).
View Solution
Find the general solution of: \[ (2x - y)^2 dy - 2(2x - y)^2 dx - 2 dx = 0 \]
View Solution
Find the general solution of the differential equation: \[ x \log x \, dy = (x \log x - y) dx \]
View Solution
The number of significant figures in 0.03240 is
View Solution
A ball projected vertically upwards with velocity 'v' passes through a point P in its upward journey in a time of 'x' seconds. Then, the time in which the ball again passes through the same point P is
View Solution
Three vectors each of magnitude \(3\sqrt{1.5}\) units are acting at a point. If the angle between any two vectors is \(\frac{\pi}{3}\), then the magnitude of the resultant vector of the three vectors is
View Solution
A vector perpendicular to the vector \(\left(4\hat{i} - 3\hat{j}\right)\) is
View Solution
If the breaking strength of a rope is \(\frac{4}{3}\) times the weight of a person, then the maximum acceleration with which the person can safely climb up the rope is (g - acceleration due to gravity)
View Solution
A block of mass 2 kg is placed on a rough horizontal surface. If a horizontal force of 20 N acting on the block produces an acceleration of 7 m/s\(^2\) in it, then the coefficient of kinetic friction between the block and the surface is (Acceleration due to gravity = 10 m/s\(^2\))
View Solution
If a position dependent force \((3x^2 - 2x + 7)N\) acting on a body of mass 2 kg displaces it from \(x = 0\, m\) to \(x = 5\, m\), then the work done by the force is
View Solution
Two smooth inclined planes A and B each of height 20 m have angles of inclination \(30^\circ\) and \(60^\circ\) respectively. If \(t_1\) and \(t_2\) are the times taken by two blocks to reach the bottom of the planes A and B from the top, then find the value of \(t_1 - t_2\). (Acceleration due to gravity \(g = 10\, m/s^2\))
View Solution
The moment of inertia of a solid cylinder of mass 2.5 kg and radius 10 cm about its axis is
View Solution
A body of mass 2 kg is moving towards north with a velocity of 20 m/s and another body of mass 3 kg is moving towards east with a velocity of 10 m/s. The magnitude of the velocity of the centre of mass of the system of the two bodies is
View Solution
If the function \(\sin^2 \omega t\) (where \(t\) is time in seconds) represents a periodic motion, then the period of the motion is
View Solution
On a smooth inclined plane, a block of mass \(M\) is fixed to two rigid supports using two springs, each having spring constant \(k\), as shown in the figure. If the masses of the springs are neglected, then the period of oscillation of the block is
View Solution
The acceleration due to gravity at a height of \((\sqrt{2} - 1)R\) from the surface of the earth is (where \(g = 10\, m/s^2\) and \(R\) is the radius of the earth)
View Solution
If the given graph shows the load (W) attached to and the elongation (\(\Delta l\)) produced in a wire of length 1 meter and cross-sectional area 1 mm\(^2\), then the Young's modulus of the material of the wire is
View Solution
A wire of length 20 cm is placed horizontally on the surface of water and is gently pulled up with a force of \(1.456 \times 10^{-2}\, N\) to keep the wire in equilibrium. The surface tension of water is
View Solution
If some heat is given to a metal of mass 100 g, its temperature rises by 20 \(^\circ\)C. If the same heat is given to 20 g of water, the change in its temperature (in \(^\circ\)C) is (The ratio of specific heat capacities of metal and water is 1:10)
View Solution
The ratio of the efficiencies of two Carnot engines A and B is 1.25 and the temperature difference between the source and the sink is the same in both engines. The ratio of the absolute temperatures of the sources of the engines A and B is
View Solution
The heat supplied to a gas at a constant pressure of \(5 \times 10^5\, Pa\) is 1000 kJ. If the volume of gas changes from 1 m\(^3\) to 2.5 m\(^3\), then the change in internal energy of the gas is
View Solution
When an ideal diatomic gas undergoes adiabatic expansion, if the increase in its volume is 0.5%, then the change in the pressure of the gas is
View Solution
To increase the RMS speed of gas molecules by 25%, the percentage increase in absolute temperature of the gas is to be
View Solution
When both the source of sound and observer approach each other with a speed equal to 10% of the speed of sound, then the percentage change in frequency heard by the observer is nearly
View Solution
According to Rayleigh, when sunlight travels through atmosphere, the amount of scattering is proportional to \(n^{th}\) power of wavelength of light. Then the value of \(n\) is
View Solution
In Young's double slit experiment, if the distance between the slits is 2 mm and the distance of the screen from the slits is 100 cm, the fringe width is 0.36 mm. If the distance between the slits is decreased by 0.5 mm and the distance of the screen from the slits is increased by 50 cm, the fringe width becomes
View Solution
An electric dipole with dipole moment \(2 \times 10^{-10}\, C \cdot m\) is aligned at an angle \(30^\circ\) with the direction of a uniform electric field of \(10^4\, N/C\). The magnitude of the torque acting on the dipole is
View Solution
If a dielectric slab of dielectric constant 3 is introduced between the plates of a capacitor having electric field \(1.5\, N/C\), then the electric displacement is
View Solution
An electric charge \(10^{-3}\, \mu C\) is placed at the origin of the x-y plane. The potential difference between points A and B located at \((\sqrt{2}\, m, \sqrt{2}\, m)\) and \((2m, 0m)\) respectively is
View Solution
If each resistance in the given figure is 9 \(\Omega\), then the reading of the ammeter (A) is
View Solution
The area of cross-section of a copper wire is \(4 \times 10^{-7} m^2\) and the number of electrons per cubic meter in copper is \(8 \times 10^{28}\). If the wire carries a current of 6.4 A, then the drift velocity of the electrons (in \(10^{-3} m/s\)) is
View Solution
In a solenoid, if the current of 15 A passes through the solenoid of length 25 cm, radius 2 cm, and number of turns 500, then the magnetic moment of the solenoid is
View Solution
The maximum magnetic field produced by a current of 12 A passing through a copper wire of diameter 1.2 mm is
View Solution
Two moving coil galvanometers A and B having identical springs are placed in magnetic fields of 0.25 T and 0.5 T respectively. If the number of turns in A and B are 36 and 48, the areas of the coils A and B are 2.4 \(\times 10^{-3}\) m\(^2\) and 4.8 \(\times 10^{-3}\) m\(^2\) respectively, then the ratio of the current sensitivities of the galvanometers A and B is
View Solution
The self-inductance of an air-cored solenoid of length 40 cm, diameter 7 cm having 200 turns is
View Solution
A coil of inductive reactance \(\frac{1}{\sqrt{3}} \Omega\) and a resistance 1 \(\Omega\) are connected in series to a 200 V, 50 Hz ac source. The time lag between voltage and current is
View Solution
If the magnetic field in a plane progressive wave is represented by the equation \(B = 2 \times 10^{-8} \sin (0.5 \times 10^3 t + 1.5 \times 10^4 x)\) T, then the frequency of the wave is
View Solution
When photons of energy 8 \(\times 10^{-19}\) J incident on a photosensitive material, the work function of the photosensitive material is nearly 10 eV, then the maximum kinetic energy of the photoelectrons emitted is
(1) 3.5 eV
(2) 2.5 eV
(3) 2.0 eV
(4) 1.0 eV
View Solution
The minimum wavelength of X-rays produced by 20 keV electrons is nearly
View Solution
If the half-life of a radioactive material is 10 years, then the percentage of the material decayed in 30 years is
View Solution
At absolute zero temperature, an intrinsic semiconductor behaves as
View Solution
The logic gate equivalent to the combination of logic gates shown in the figure is
View Solution
The heights of the transmitting and receiving antennas are respectively \(\frac{1}{2000}\) and \(\frac{1}{5000}\) times the radius of the Earth. The maximum distance between these two antennas for satisfactory communication in line of sight is
(Radius of the Earth = 6.4 \(\times 10^6\) m)
View Solution
The work function of Cu is 7.66 \(\times 10^{-19}\) J. If photons of wavelength 221 nm are made to strike the surface (h = 6.63 \(\times 10^{-34}\) Js), the kinetic energy (in J) of the ejected electrons will be
View Solution
In an element with atomic number (Z) 25, the number of electrons with (n + l) value equal to 3 and 4 are x and y respectively. The value of (x + y) is
View Solution
Among the ions Mg\(^{2+}\), O\(^{2-}\), Al\(^{3+}\), F\(^{-}\), Na\(^{+}\), and N\(^{3-}\), the ion with the largest size and the ion with the smallest size are respectively
View Solution
The correct order of increasing bond lengths of C--H, O--H, C--C, and H--H is
View Solution
The sum of the bond orders of O\(_2^+\), O\(_2^-\), O\(_2\), O\(_2^{2-}\), and the sum of the unpaired electrons in them respectively are
View Solution
2.0 g of H\(_2\) diffuses through a porous container in 10 minutes. How many grams of O\(_2\) will diffuse from the same container in the same time under identical conditions?
View Solution
At T(K), the \(v_{rms}\) of CO\(_2\) is 412 m/s\(^{-1}\). What is its kinetic energy (in kJ mol\(^{-1}\)) at the same temperature? (CO\(_2\) = 44 u)
View Solution
100 mL of aqueous solution of 0.05 M Cu\(^{2+}\) is added to 1 L of 0.1 M KI solution. The resultant solution was titrated with 0.1 M Na\(_2\)S\(_2\)O\(_3\) solution using starch indicator until blue color disappeared. What is the volume (in mL) of Na\(_2\)S\(_2\)O\(_3\) used?
View Solution
Consider the following:
Statement-I: Both internal energy (U) and work (w) are state functions.
Statement-II: During the free expansion of an ideal gas into vacuum, the work done is zero.
The correct answer is
View Solution
The signs of \(\Delta H^\circ\) and \(\Delta S^\circ\) for a reaction to be spontaneous at all temperatures respectively are
View Solution
The conjugate base of phosphorus acid is \( x \). The conjugate base of oleum is \( y \).
What are \( x \) and \( y \), respectively?
View Solution
At temperature \( T(K) \), the equilibrium constant \( K_c \) for the reaction: \[ \mathrm{AO_2(g) + BO_2(g) \rightleftharpoons AO_3(g) + BO(g)} \]
is 16. In a 1 L flask, one mole each of \(\mathrm{AO_2}\), \(\mathrm{BO_2}\), \(\mathrm{AO_3}\), and \(\mathrm{BO}\) are taken and heated to \( T(K) \).
Identify the correct statements:
Total number of moles at equilibrium is 4
At equilibrium, the ratio of moles of \(\mathrm{AO_2}\) and \(\mathrm{AO_3}\) is 1:4
Total number of moles of \(\mathrm{AO_2}\) and \(\mathrm{BO_2}\) at equilibrium is 0.8
View Solution
Identify the hydride which is \textbf{not} correctly matched with the example given in brackets.
View Solution
In Solvay process, \(\mathrm{NH_3}\) is recovered when the solution containing \(\mathrm{NH_4Cl}\) is treated with compound ‘X’. What is ‘X’?
View Solution
Which of the following reactions give \(\mathrm{H_2}\) as one of the products?
(Reactions are not balanced.)
\(\mathrm{NaBH_4 + I_2}\)
\(\mathrm{B_2H_6 + N(CH_3)_3}\)
\(\mathrm{Al + NaOH + H_2O}\)
\(\mathrm{BF_3 + NaH}\)
View Solution
Consider the following:
Statement I: CCl4 does not undergo hydrolysis. But SiCl4 undergoes hydrolysis.
Statement II: Thermal and chemical stability of GeX4 is more than GeX2.
View Solution
Which one of the following gases is the major contributor to global warming?
View Solution
Match the Following
| List-I (Use) | Item | Matches with | List-II (Substance) |
|---|---|---|---|
| A | Electrodes in batteries | II | Polyacetylene |
| B | Welding of metals | III | Oxyacetylene |
| C | Toys | I | Polypropylene |
View Solution
What is 'Z' in the following reaction sequence?
(Alcohol = colorless)
\[ \mathrm{C_3H_6} \xrightarrow[CCl_4]{\mathrm{Br_2}} \mathrm{X} \xrightarrow[\Delta]{i) KOH/alcohol
ii) NaNH_2} \mathrm{Y} \xrightarrow[\mathrm{Hg}^{2+}, \mathrm{H}^+]{333\,K} \mathrm{Z} \]
View Solution
A metal crystallizes in simple cubic lattice. The radius of the metal atom is \(x\, pm\). What is the volume of the unit cell in \(pm^3\)?
View Solution
At \(T(K)\), the vapor pressure of water is \(x\) kPa. What is the vapor pressure (in kPa) of 1 molal solution containing non-volatile solute?
View Solution
Elements X and Y form two non-volatile compounds (XY and XY\(_2\)). When 10 g of XY is dissolved in 50 g of ethanol, the depression in freezing point (\(\Delta T_f\)) was 5.333 K. When 10 g of XY\(_2\) is dissolved in 50 g of ethanol, the \(\Delta T_f\) was 2.2857 K. What are the atomic weights of X and Y respectively?
(\(K_f = 2 \, kg mol^{-1}\))
View Solution
In a cell, a copper electrode was used as a cathode. What is the electrode potential (in V) of the copper electrode dipped in 0.1 M Cu\(^{2+}\) solution at 298 K?
\[ E^{\circ} = 0.34\, V, \quad \frac{2.303RT}{F} = 0.059\, V \]
View Solution
\(R \to P\) is a first-order reaction. The concentration of R changed from 0.04 to 0.03 mol L\(^{-1}\) in 40 minutes. What is the average velocity of the reaction in mol L\(^{-1}\) s\(^{-1}\)?
View Solution
Choose the incorrect statement from the following:
View Solution
Which of the following statements regarding adsorption theory of heterogeneous catalysis is not correct?
View Solution
Which of the following are carbonate ores?
I. Siderite
II. Kaolinite
III. Calamine
IV. Sphalerite
View Solution
Orthophosphorus acid on disproportionation gives PH\(_3\), and another oxoacid of phosphorus X. The basicity of X is
View Solution
Identify the incorrect statement regarding the interstitial compounds.
View Solution
Which of the following exhibit ionization isomerism?
I) [Cr(NH\(_3\))\(_4\)Cl\(_2\)]Cl
II) [Ti(H\(_2\)O)\(_5\)Cl]Cl(NO\(_3\))\(_2\)
III) [Pt(en)(NH\(_3\))\(_4\)]Cl(NO\(_3\))
IV) [Co(NH\(_3\))\(_4\)(NO\(_3\))\(_2\)]NO\(_3\)
View Solution
A polymer sample contains 10 molecules each with molecular mass 5,000 and 5 molecules each with molecular mass 50,000. The number average molecular mass of the polymer sample is
View Solution
Which of the following do not reduce Tollens' reagent?
a) Fructose
b) Sucrose
c) Lactose
d) Cellulose
View Solution
Consider the following statements:
Statement-I: Lysine, arginine are essential and basic amino acids.
Statement-II: Leucine, phenyl alanine are non-essential and neutral amino acids.
Which of the following is correct?
View Solution
Consider the following statements:
Statement-I: Shaving soaps contain glycerol to prevent rapid drying.
Statement-II: Laundry soaps contain sodium carbonate as filler.
Which of the following is correct?
View Solution
Which of the following sets of reagents convert aniline to chlorobenzene?
View Solution
Identify the compound which is least reactive towards nucleophilic substitution reactions.
View Solution
An alcohol X \(\mathrm{C_5H_{12}O}\) on dehydration gives Y (major product). Reaction of Y with HBr gave Z (\(\mathrm{C_5H_{11}Br}\), major product). Z undergoes nucleophilic substitution in two steps. What are X and Y?
View Solution
What are X and Y respectively in the following reaction sequence?
(G = ethanol, dil. = dilute HCl)
View Solution
The carboxylic acid with highest \(pK_a\) and lowest \(pK_a\) values of the following respectively are:
View Solution
The percentage of carbon in 'Z' is (At.wt. C = 12 u, H = 1 u, N = 14 u, O = 16 u)
View Solution
AP EAPCET 2025 Expected Difficulty Level
The AP EAPCET 2025 Engineering Exam is expected to have a moderate level of difficulty, based on previous year trends.
The AP EAPCET 2025 Engineering exam will include 160 questions, of which 80 questions are from mathematics, 40 questions from both physics and chemistry.
Mathematics – Expected Difficulty
| Aspect | Expectation |
|---|---|
| Overall Difficulty | Moderate to Difficult |
| Nature of Questions | The questions are expected to be lengthy, with heavy calculations and tricky algebra questions. |
| Key Areas |
|
| Time Consumption | High |
| Expected Good Attempt | 55 – 60 questions |
Physics – Expected Difficulty
| Aspect | Expectation |
|---|---|
| Overall Difficulty | Moderate |
| Nature of Questions | The Questions are expected to be concept-related and formula-based numericals |
| Key Areas |
|
| Time Consumption | Moderate |
| Expected Good Attempt | 25 – 30 questions |
Chemistry – Expected Difficulty
| Aspect | Expectation |
|---|---|
| Overall Difficulty | Easy to Moderate |
| Nature of Questions | Mostly theory based questions will be there related to facts and NCERT-based |
| Key Areas |
|
| Time Consumption | Low |
| Expected Good Attempt | 30 – 35 questions |
AP EAPCET 2025 Expected Marks Vs Rank
As more than 2.5 lakh candidates are expected to appear in the AP EAPCET 2025 Engineering exam, the competition will be high, especially for the top branches like computer science, electronics and IT at top institutes.
As per the previous year's trends, candidates who score above 130 out of 160 will land within in top 1,000 ranks, while those scoring in the range of 90 to 100 will land between 10,000 and 20,000 ranks
| Marks (Out of 160) | Expected Rank Range |
| 150 – 160 | 1 – 200 |
| 140 – 149 | 201 – 500 |
| 130 – 139 | 501 – 1,000 |
| 120 – 129 | 1,001 – 2,000 |
| 110 – 119 | 2,001 – 4,000 |
| 100 – 109 | 4,001 – 8,000 |
| 90 – 99 | 8,001 – 15,000 |
| 80 – 89 | 15,001 – 25,000 |
| 70 – 79 | 25,001 – 35,000 |
| 60 – 69 | 35,001 – 50,000 |
| 50 – 59 | 50,001 – 65,000 |
| 40 – 49 | 65,001 – 80,000 |
| Below 40 | 80,000+ (Qualifying Rank) |







Comments