CAT 2006 Question Paper with Answer Key PDFs is available for download. CAT 2006 was concluded on November 19, 2006. A total of 150 minutes were allotted to solve 75 questions. The overall difficulty level of CAT 2006 question paper was rated moderate.
- The VA section of CAT exam was rated difficult while the Data Interpretation and Quantitative section was rated easy to moderate.
Candidates preparing for CAT 2025 can download the CAT 2006 question paper with the solution PDF to get a better idea about the type of questions asked in the paper and their difficulty level.
Also Check:
CAT 2006 Question Paper with Solution PDF
| CAT 2006 Question Paper with Answer Key | Download PDF | Check solutions |
Who can be a member of a team of size 5?
View Solution
What would be the size of the largest possible team?
View Solution
What could be the size of a team that includes K?
View Solution
In how many ways can a team be constituted so that the team includes N?
View Solution
How much did Dipan get in English Paper II?
View Solution
Among the top ten students, how many boys scored at least 95 in at least one paper from each of the groups?
View Solution
Had Joseph, Agni, Pritam and Tirna each obtained Group Score of 100 in the Social Science Group, their standing in decreasing order of final score would be:
View Solution
Students who obtained Group Scores of at least 95 in every group are eligible for a prize. Among those eligible, the student obtaining the highest Group Score in Social Science Group is awarded this prize. The prize was awarded to:
View Solution
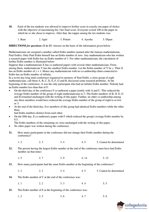
Each student was allowed to improve his/her score in exactly one paper of choice to 100. After that, the topper among the ten students was:
View Solution
How many participants in the conference did not change their Erd\H{os number during the conference?
View Solution
The person having the largest Erd\H{o}s number at the end of the conference must have had Erd\H{o}s number (at that time):
View Solution
How many participants had the same Erd\H{o}s number at the beginning of the conference?
View Solution
The Erd\H{o}s number of C at the end of the conference was:
View Solution
The Erd\H{o}s number of E at the beginning of the conference was:
View Solution
If Chetan sold 10 shares of MCS on three consecutive days, while Michael sold 10 shares only once during the five days, what was the price of MCS at the end of day 3?
View Solution
If Chetan ended up with Rs 1300 more cash than Michael at the end of day 5, what was the price of MCS share at the end of day 4?
View Solution
If Michael ended up with 20 more shares than Chetan at the end of day 5, what was the price of MCS share at the end of day 3?
View Solution
If Michael ended up with Rs 100 less cash than Chetan at the end of day 5, what was the difference in the number of shares possessed by Michael and Chetan at the end of day 5?
View Solution
What could have been the maximum possible increase in combined cash balance of Chetan and Michael at the end of the fifth day?
View Solution
If the government wants to ensure that no traffic flows on the street from D to T, while equal amount of traffic flows through junctions A and C, then a feasible set of toll charged (in rupees) at junctions A, B, C, and D respectively to achieve this goal is:
View Solution
If the government wants to ensure that all motorists travelling from S to T pay the same amount (fuel costs and toll combined) regardless of the route they choose and the street from B to C is under repairs (and hence unusable), then a feasible set of toll charged (in rupees) at junctions A, B, C, and D respectively to achieve this goal is:
View Solution
If the government wants to ensure that the traffic at S gets evenly distributed along streets from S to A, from S to B, and from S to D, then a feasible set of toll charged (in rupees) at junctions A, B, C, and D respectively to achieve this goal is:
View Solution
If the government wants to ensure that all routes from S to T get the same amount of traffic, then a feasible set of toll charged (in rupees) at junctions A, B, C, and D respectively to achieve this goal is:
View Solution
The government wants to devise a toll policy such that the total cost to the commuters per trip is minimized. The policy should also ensure that not more than 70% of the total traffic passes through junction B. The cost incurred by the commuter travelling from point S to point T under this policy will be:
View Solution
Relations between the factory and the dealer are distant and usually strained as the factory tries to force cars on the dealers to smooth out production. Relations between the dealer and the customer are equally strained because dealers continuously adjust prices — make deals — to adjust demand with supply while maximizing profits. This becomes a system marked by a lack of long-term commitment on either side, which maximizes feelings of mistrust. In order to maximize their bargaining positions, everyone holds back information — the dealer about the product and the consumer about his true desires.
View Solution
We can usefully think of theoretical models as maps, which help us navigate unfamiliar territory. The most accurate map that it is possible to construct would be of no practical use whatsoever, for it would be an exact replica, on exactly the same scale, of the place where we were. Good maps pull out the most important features and throw away a huge amount of much less valuable information. Of course, maps can be bad as well as good — witness the attempts by medieval Europe to produce a map of the world. In the same way, a bad theory, no matter how impressive it may seem in principle, does little or nothing to help us understand a problem.
View Solution
In the evolving world order, the comparative advantage of the United States lies in its military force. Diplomacy and international law have always been regarded as annoying encumbrances, unless they can be used to advantage against an enemy. Every active player in world affairs professes to seek only peace and to prefer negotiation to violence and coercion.
View Solution
I am sometimes attacked for imposing ‘rules’. Nothing could be further from the truth. I hate rules. All I do is report on how consumers react to different stimuli. I may say to a copywriter, “Research shows that commercials with celebrities are below average in persuading people to buy products. Are you sure you want to use a celebrity?” Call that a rule? Or I may say to an art director, “Research suggests that if you set the copy in black type on a white background, more people will read it than if you set it in white type on a black background.”
View Solution
Age has a curvilinear relationship with the exploitation of opportunity. Initially, age will increase the likelihood that a person will exploit an entrepreneurial opportunity because people gather much of the knowledge necessary to exploit opportunities over the course of their lives, and because age provides credibility in transmitting that information to others. However, as people become older, their willingness to bear risks declines, their opportunity costs rise, and they become less receptive to new information.
View Solution
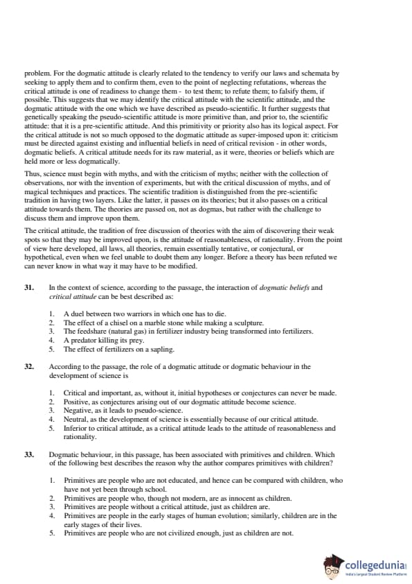
In the context of science, according to the passage, the interaction of dogmatic beliefs and critical attitude can be best described as:
View Solution
According to the passage, the role of a dogmatic attitude or dogmatic behaviour in the development of science is:
View Solution
Dogmatic behaviour, in this passage, has been associated with primitives and children. Which of the following best describes the reason why the author compares primitives with children?
View Solution
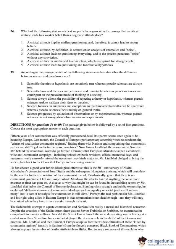
Which of the following statements best supports the argument in the passage that a critical attitude leads to a weaker belief than a dogmatic attitude does?
View Solution
According to the passage, which of the following statements best describes the difference between science and pseudo-science?
View Solution
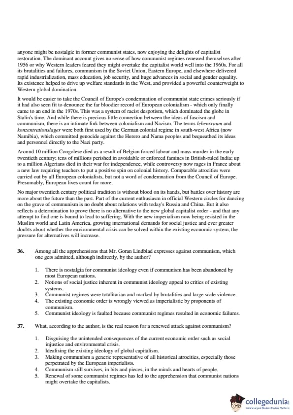
Among all the apprehensions that Mr. Goran Lindblad expresses against communism, which one gets admitted, although indirectly, by the author?
View Solution
What, according to the author, is the real reason for a renewed attack against communism?
View Solution
The author cites examples of atrocities perpetrated by European colonial regimes in order to:
View Solution
Why, according to the author, is Nazism closer to colonialism than it is to communism?
View Solution
Which of the following cannot be inferred as a compelling reason for the silence of the Council of Europe on colonial atrocities?
View Solution
A just society, as conceptualized in the passage, can be best described as:
View Solution
The original agreement or original position in the passage has been used by the author as:
View Solution
Which of the following best illustrates the situation that is equivalent to choosing ‘the principles of justice’ behind a ‘veil of ignorance’?
View Solution
Why, according to the passage, do principles of justice need to be based on an original agreement?
View Solution
Which of the following situations best represents the idea of justice as fairness, as argued in the passage?
View Solution
1. According to all statistical indications, the Sarva Shiksha Abhiyan has managed to keep pace with its ambitious goals.
2. The Mid-day Meal Scheme has been a significant incentive for the poor to send their little ones to school, thus establishing the vital link between healthy bodies and healthy minds.
3. Only about 13 million children in the age group of 6 to 14 years are out of school.
4. The goal of universalisation of elementary education has to be a pre-requisite for the evolution and development of our country.
View Solution
1. We should not be hopelessly addicted to an erroneous belief that corruption in India is caused by the crookedness of Indians.
2. The truth is that we have more red tape — we take eighty-nine days to start a small business, Australians take two.
3. Red tape leads to corruption and distorts a people's character.
4. Every red tape procedure is a point of contact with an official, and such contacts have the potential to become opportunities for money to change hands.
View Solution
1. So much of our day-to-day focus seems to be on getting things done, trudging our way through the tasks of living — it can feel like a treadmill that gets you nowhere; where is the childlike joy?
2. We are not doing the things that make us happy; that which brings us joy; the things that we cannot wait to do because we enjoy them so much.
3. This is the stuff that joyful living is made of — identifying your calling and committing yourself wholeheartedly to it.
4. When this happens, each moment becomes a celebration of you; there is a rush of energy that comes with feeling completely immersed in doing what you love most.
View Solution
1. Inequitable distribution of all kinds of resources is certainly one of the strongest and most sinister sources of conflict.
2. Even without war, we know that conflicts continue to trouble us — they only change in character.
3. Extensive disarmament is the only insurance for our future; imagine the amount of resources that can be released and redeployed.
4. The economies of the industrialized western world derive 20% of their income from the sale of all kinds of arms.
View Solution
1. Given the poor quality of service in the public sector, the HIV/AIDS affected should be switching to private initiatives that supply anti-retroviral drugs (ARVs) at a low cost.
2. The government has been supplying free drugs since 2004, and 35,000 have benefited up to now — though the size of the affected population is 150 times this number.
3. The recent initiatives of networks and companies like AIDSCare Network, Emcure, Reliance-Cipla-Cil, would lead to availability of much-needed drugs to a larger number of affected people.
4. But how ironic it is that we should face a perennial shortage of drugs when India is one of the world’s largest suppliers of generic drugs to the developing world.
View Solution
If \(\frac{a}{b} = \frac{1}{3}\), \(\frac{b}{c} = 2\), \(\frac{c}{d} = \frac{1}{2}\), \(\frac{d}{e} = 3\) and \(\frac{e}{f} = \frac{1}{4}\), then what is the value of \(\frac{abc}{def}\)?
View Solution
If \(x = -0.5\), then which of the following has the smallest value?
View Solution
Consider a sequence where the \(n\)th term \(t_n = \frac{n}{n+2}\), \(n = 1, 2, \dots\)
The value of \(t_3 \times t_4 \times t_5 \times \dots \times t_{53}\) equals:
View Solution
Which among \(2^{1/2}\), \(3^{1/3}\), \(4^{1/4}\), \(6^{1/6}\), and \(12^{1/12}\) is the largest?
View Solution
The length, breadth, and height of a room are in the ratio \(3 : 2 : 1\). If the breadth and height are halved while the length is doubled, then the total area of the four walls of the room will:
View Solution
A survey of 100 people was conducted to find out whether they had read recent issues of Golmal magazine in July, August, and September. Data:
Only September: 18; September but not August: 23; September and July: 8; September: 28; July: 48; July and August: 10; None: 24.
Find the number who read exactly two consecutive issues out of the three months.
View Solution
A semi-circle is drawn with \(AB\) as its diameter. From \(C\), a point on \(AB\), a line perpendicular to \(AB\) is drawn meeting the circumference of the semi-circle at \(D\). Given that \(AC = 2 \ cm\) and \(CD = 6 \ cm\), the area of the semi-circle (in sq. cm) will be:
View Solution
What is the weight of Praja's luggage?
View Solution
Using the same data as Q58, what is the free luggage allowance?
View Solution
A group of 630 children is arranged in rows for a group photograph. Each row contains three fewer children than the row in front of it. Which number of rows is not possible?
View Solution
The proportion of the sheet area that remains after punching is:
View Solution
Find the area of the part of the circle (round punch) falling outside the square sheet.
View Solution
What values of \(x\) satisfy \(\sqrt[3]{x} + x^{1/3} - 2 \leq 0\) (\(x\) is a real number)?
View Solution
Consider the set \(S = \{1, 2, 3, \dots, 1000\}\). How many arithmetic progressions can be formed from the elements of \(S\) that start with \(1\) and end with \(1000\) and have at least \(3\) elements?
View Solution
The graph of \(y - x\) against \(y + x\) is as shown (straight line with slope > 0 through origin). Which of the given five graphs shows \(y\) against \(x\)?
View Solution
The sum of four consecutive two-digit odd numbers, when divided by 10, becomes a perfect square. Which of the following can possibly be one of these four numbers?
View Solution
The number of solutions of the equation \(2x + y = 40\) where both \(x\) and \(y\) are positive integers and \(x \leq y\) is:
View Solution
The number of employees in Obelix Menhir Co. is a prime number less than 300. The ratio of graduates and above to non-graduates can possibly be:
View Solution
There are 6 tasks and 6 persons. Task 1 cannot be assigned to person 1 or 2; Task 2 must be assigned to either person 3 or person 4. Every person is assigned one task. How many ways can this assignment be done?
View Solution
If \(\log_x(a \cdot \log_y) = (b \cdot \log_z) = ab\), then which of the following pairs of values for \((a,b)\) is not possible?
View Solution
What are the values of \(x\) and \(y\) that satisfy both the equations?
\(2^{0.7x} \cdot 3^{-1.25y} = \frac{8\sqrt{6}}{27}\)
\(4^{0.3x} \cdot 9^{0.2y} = 8 \cdot (81)^{\frac{1}{5}}\)
View Solution
Let \(f(x) = \max(2x + 1, 3 - 4x)\), where \(x\) is any real number. Then the minimum possible value of \(f(x)\) is:
View Solution
When you reverse the digits of the number 13, the number increases by 18. How many other two-digit numbers increase by 18 when their digits are reversed?
View Solution
An equilateral triangle \(BPC\) is drawn inside a square \(ABCD\). What is the value of \(\angle APD\) in degrees?
View Solution
Arun, Barun, and Kiranmala start from the same place and travel in the same direction at speeds of 30, 40, and 60 km/h respectively. Barun starts two hours after Arun. If Barun and Kiranmala overtake Arun at the same instant, how many hours after Arun did Kiranmala start?
View Solution
Also Check:
CAT 2006 Paper Analysis
CAT 2006 question paper was a combination of three sections. All the three sections carried an equal weightage in the exam.
- There were five options for each question in CAT 2006 paper.
- The VA section was extremely complex and time-consuming while questions from the Quantitative Ability and DI sections were easy to attempt.
- Maximum weightage in the QA section was carried by the Arithmetic topics, while questions related to Modern Mathematics carried the least weightage.
- In the DILR section, 80% of the weightage was carried by DI based questions and the rest 20% weightage was carried by LR based questions.
Please have a look at the below-mentioned table for complete analysis of CAT 2006 question paper-
| Topics | No. Of Questions | Difficulty Level | Total Marks | Suggested Time | Good Attempts | Good Scores |
|---|---|---|---|---|---|---|
| DI+LR | 25 | Moderate | 100 | 40 | 15-17 | 60+ |
| VA | 25 | Moderate-Difficult | 100 | 55 | 15-16 | 50+ |
| QA | 25 | Easy-Moderate | 100 | 55 | 18-20 | 60+ |
| Total | 75 | Moderate | 300 | 150 | 48-55 | 170+ |
CAT Previous Year Question Papers
Aspirants planning to appear for the upcoming CAT exam must download and solve CAT previous year question papers to prepare well for the exam.
| CAT 2022 Question Papers | CAT 2019 Question Papers | CAT 2020 Question Papers |
| CAT 2018 Question Papers | CAT 2017 Question Papers | CAT 2016 Question Papers |








Comments