CAT 2009 Question Paper was rated moderate. IIM Ahmedabad conducted CAT 2009 from November 28, 2009 to December 7, 2009. CAT 2009 Question Paper had 3 sections namely, Verbal Ability, Quantitative Ability, and Data Interpretation & Logical Reasoning. The duration of the test was 2 hours and 15 minutes. It was the first time for CAT to be a computer-based online test.
Candidates preparing for CAT 2025 can download the CAT DILR question paper with the solution PDF to get a better idea about the type of questions asked in the paper and their difficulty level.
Also Check:
CAT 2009 DILR Question Paper with Solution PDF
| CAT 2009 DILR Question Paper with Answer Key | Download PDF | Check Solutions |

What is the net profit percentage of XPL in 1998?
View Solution
Which year showed the maximum percentage increase in sales?
View Solution
By how much percentage has the net profit dropped in 1996?
Correct Answer:(B) 2.27%
View SolutionIf XPL sold 20,000 units in both 1998 and 1999, by what percentage has the price per unit changed?
View Solution
The year in which the expenses of XPL Electronics are highest is:
View Solution
If Tamil Nadu registers an annual increase of 22% in rice production, what was the rice production in Tamil Nadu in 1998?
View Solution
What is the ratio of total wheat production in the five states to total sugar production?
View Solution
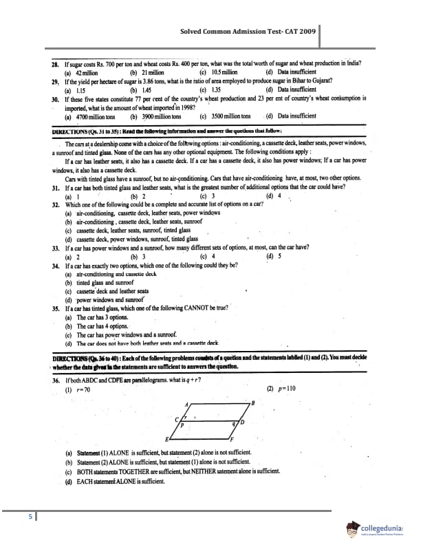
If sugar costs Rs. 700 per ton and wheat costs Rs. 400 per ton, what was the total worth of sugar and wheat production in India (for the five states)?
View Solution
If the yield per hectare of sugar is 3.86 tons, what is the ratio of area employed to produce sugar in Bihar to Gujarat?
(B) 1.45
View Solution
If these five states constitute 77% of the country’s wheat production and 23% of the country’s wheat consumption is imported, what is the amount of wheat imported in 1998?
View Solution
If a car has both tinted glass and leather seats, what is the greatest number of additional options that the car could have?
View Solution
Which one of the following could be a complete and accurate list of options on a car?
View Solution
If a car has power windows and a sunroof, how many different sets of options, at most, can the car have?
View Solution
If a car has exactly two options, which one of the following could they be?
View Solution
If a car has tinted glass, which one of the following \textbf{CANNOT} be true?
View Solution
If both \(ABDC\) and \(CPDFE\) are parallelograms, what is \(q + r\)?
(1) \(r = 70^\circ\)
(2) \(p = 110^\circ\)
View Solution
A certain stadium is currently full to \(\frac{13}{16}\) of its maximum seating capacity. What is the maximum seating capacity of the stadium?
(1) If 1,250 people were to enter the stadium, it would be full to \(\frac{15}{16}\) of its maximum seating capacity.
(2) If 2,500 people were to leave the stadium, it would be full to \(\frac{10}{16}\) of its maximum seating capacity.
View Solution
If \(n\) is an integer, is \(n\) even?
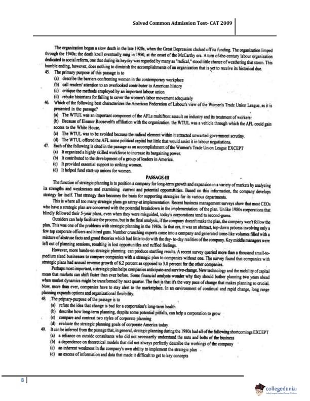
(1) \(2n\) is an even integer.
(2) \(n - 1\) is an odd integer.
(B) Statement (2) ALONE is sufficient, but statement (1) alone is not sufficient.
View Solution
What is the value of \(x\)?
(1) \(x^2 - 5x + 4 = 0\)
(2) \(x\) is not prime.
View Solution
A fish tank contains a number of fish, including 5 Fantails. If two fish are selected from the tank at random, what is the probability that both will be Fantails?
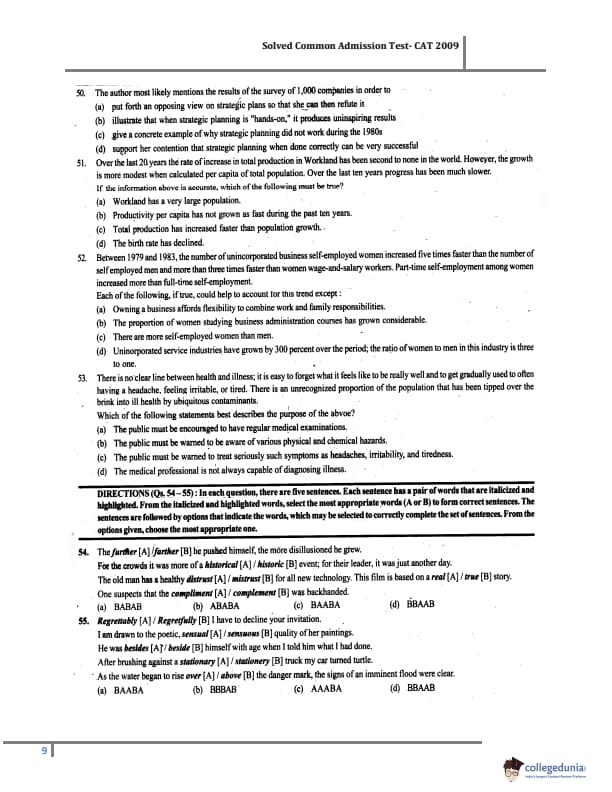
(1) The probability that the first fish chosen will be a Fantail is \(\frac{1}{2}\).
(2) The probability that the second fish chosen will be a Fantail is \(\frac{4}{9}\).
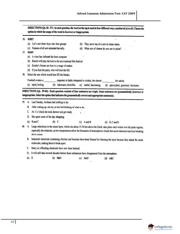
View Solution
Also Check:
CAT 2009 Quantitative Ability Question Paper Analysis
- The question had various topic-based questions which involved simple calculations.
- The difficulty level of this section was easy to moderate level.
Students should follow the below table for a better understanding of question distribution
| Topics | Number of Questions |
|---|---|
| Averages | 1 |
| Functions | 1 |
| Geometry | 3 |
| Logarithms | 1 |
| Mensuration | 2 |
| Mixture and Alligation | 1 |
| Percentage | 1 |
| Probability | 1 |
| Quadratic Equation | 1 |
| Sequence and Series | 1 |
| Set Theory | 1 |
| Simple and Compound interest | 1 |
| Simplification | 1 |
| Time and Distance | 2 |
| Time and Work | 1 |
| Trigonometry | 1 |
CAT 2009 Verbal Ability Question Paper Analysis
- The Verbal Ability section of CAT 2009 question paper was rated moderate to difficult.
- Verbal Ability covered entirely every topic of English usages such as Sentence Correction, Critical Reasoning, Para Jumbles, Paragraph Completion, Paragraph Summary, and Reading Comprehension.
Students should follow the below table for a better understanding of question distribution
| Topics | Number of Questions |
|---|---|
| Reading Comprehension | 13 |
| Sentence Correction | 2 |
| Error Spotting | 5 |
CAT 2009 Data Interpretation & Logical Reasoning Question Paper Analysis
- This section of CAT 2009 question paper had tedious calculations so it was a bit lengthy.
- Pie charts, Venn Diagrams, and Logical DI were in the question paper.
- Logical Reasoning questions were based on Logical arrangements and puzzles which required less or no calculations.
Students should follow the below table for a better understanding of question distribution
| Topics | Number of Question |
|---|---|
| Data Interpretation | 10 |
| Logical Puzzle | 10 |
CAT Question Papers of Other Years
| CAT 2024 Question Papers | CAT 2023 Question Papers |
| CAT 2022 Question Papers | CAT 2020 Question Papers |
| CAT 2019 Question Papers | CAT 2018 Question Papers |
| CAT 2017 Question Papers | CAT 2016 Question Papers |







Comments