CAT 2018 was conducted on November 25, 2018. CAT DILR Slot 1 question paper was reported moderate to difficult in terms of overall difficulty level. Compared to previous years, DILR was easier. Out of the 32 questions asked in DILR, 8 were non-MCQs. Also, the DI sets did not have very lengthy or complex calculations. On the other hand, questions in the QA section were calculation intensive and required application of logic. VARC was easier than the previous year.
Candidates preparing for CAT 2025 can download the CAT DILR question paper with the solution pdf for the Slot 1 exam conducted on November 25, 2018, to get a better idea about the type of questions asked in the paper and the difficulty level of questions.
Also Check:
CAT 2018 DILR Slot 1 Question Paper with Solution PDF
| CAT 2018 DILR Slot 1 Question Paper with Answer Key | Download PDF | Check Solutions |

Question 1:
Which of the following statements MUST be true?
1. Jatin's composite score was more than that of Danish.
2. Indu scored less than Chetna in DI.
3. Jatin scored more than Indu in GA.
View Solution
Which of the following statements MUST be FALSE?
View Solution
If all the candidates except Ajay and Danish had different marks in DI, and Bala's composite score was less than Chetna's composite score, then what is the maximum marks that Bala could have scored in DI? (TITA)
If all the candidates scored different marks in WE then what is the maximum marks that Harini could have scored in WE? (TITA)
What best can be said about the number of satellites serving C?
View Solution
What is the minimum possible number of satellites serving B exclusively?
View Solution
If at least 100 of the 1600 satellites were serving O, what can be said about the number of satellites serving S?
View Solution
If the number of satellites serving at least two among B, C, and S is 1200, which of the following MUST be FALSE?
View Solution
What is the minimum number of different numerals needed to fill a \(3 \times 3\) square matrix? (TITA)
What is the minimum number of different numerals needed to fill a \(5 \times 5\) square matrix? (TITA)
Suppose you are allowed to make one mistake, that is, one pair of adjacent cells can have the same numeral. What is the minimum number of different numerals required to fill a \(5 \times 5\) matrix?
View Solution
What is the percentage increase in sales in December 2017 as compared to the sales in December 2016?
View Solution
In which quarter of 2017 was the percentage increase in sales from the same quarter of 2016 the highest?
View Solution
During which quarter was the percentage decrease in sales from the previous quarter’s sales the highest?
View Solution
During which month was the percentage increase in sales from the previous month’s sales the highest?
View Solution
In how many different ways can the ATM serve a customer who gives 500 rupee notes as her preference? (TITA)
If the ATM could serve only 10 customers with a stock of fifty 500 rupee notes and a sufficient number of notes of other denominations, what is the maximum number of customers among these 10 who could have given 500 rupee notes as their preferences? (TITA)
What is the maximum number of customers that the ATM can serve with a stock of fifty 500 rupee notes and a sufficient number of notes of other denominations, if all the customers are to be served with at most 20 notes per withdrawal?
View Solution
What is the number of 500 rupee notes required to serve 50 customers with 500 rupee notes as their preferences and another 50 customers with 100 rupee notes as their preferences, if the total number of notes to be dispensed is the smallest possible?
View Solution
Which of the following MUST be true?
View Solution
What best can be said about the number of pumps at which the contamination levels were recorded as medium?
View Solution
If the contamination level at P11 was recorded as low, then which of the following MUST be true?
View Solution
If contamination level at P15 was recorded as medium, then which of the following MUST be FALSE?
View Solution
Who are the students from the institute Z?
View Solution
Which subject does Deb minor in?
View Solution
Which subject does Amit major in?
View Solution
If Chitra majors in Finance, which subject does Bandita major in?
View Solution
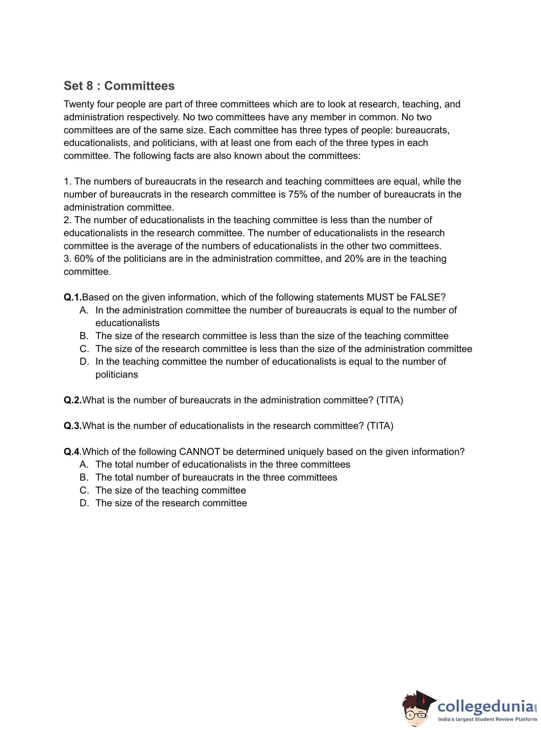
Based on the given information, which of the following statements MUST be FALSE?
View Solution
What is the number of bureaucrats in the administration committee? (TITA)
View Solution
What is the number of educationalists in the research committee? (TITA)
View Solution
Which of the following CANNOT be determined uniquely based on the given information?
View Solution
CAT 2018 Question Paper Slot 1 November 25: Sectional Analysis
CAT 2018 Slot 1 was conducted between 9.00 am to 12:00 pm. The overall difficulty level of this slot was reported to be moderate to difficult. CAT 2018 DILR Sectional Analysis is as follows:
- DILR consisted of 32 questions in total.
- Two of the 8 sets had 1 difficult question each.
- The sets in DI were analysis-based and did not require much calculation.
- If sets were selected wisely, DILR was quite doable in the 2018 CAT question paper.
Quick Links:
- How to Prepare for CAT Seating Arrangement?
- How to Prepare for CAT Logical Reasoning?
- How to Prepare for CAT Venn Diagrams?
CAT Question Papers of Other Years
| CAT 2024 Question Papers | CAT 2023 Question Papers |
| CAT 2022 Question Papers | CAT 2020 Question Papers |
| CAT 2019 Question Papers | CAT 2018 Question Papers |
| CAT 2017 Question Papers | CAT 2016 Question Papers |







Comments