In JEE Advanced, Biomolecules chapter usually carries around 3-5% weightage i.e. about 1 to 2 questions every year. These questions typically carry 4 marks each. Topics you need to know include protein structures (primary, secondary, tertiary & quaternary), properties of amino acids, classification of carbohydrates (monosaccharides, disaccharides & polysaccharides), and the functions of lipids. You will also typically be tested on the structure of DNA & RNA, the genetic code and enzyme action (kinetics & inhibition).
Related Articles
Analysis of Biomolecules Previous Year Questions in JEE Advanced
1. Frequency & Weightage
- On an average, 1-2 questions are raised in JEE Advanced from this topic.
- It has been seen that there is an Increased focus on application-based questions (e.g., drug interactions, enzyme mechanisms) in 2024-2024.
- The high-Weightage Topics in biomolecules are Carbohydrates, Amino Acids/Proteins, and Nucleic Acids dominate.
Key Observations from Previous Year Questions:
| Key Observation | Explanation | Frequency of Appearance |
| Protein Structure and Enzyme Mechanisms | Focus on protein structure, amino acids, enzyme kinetics, and enzyme inhibition. | High (7/10 years) |
| Carbohydrate Metabolism | Emphasis on glycolysis, Krebs cycle, and glucose metabolism. | Medium (5/10 years) |
| Lipids and Their Biological Roles | Questions on lipid classification, fatty acids, and membrane structure. | Medium (4/10 years) |
| DNA/RNA Structure and Function | Focus on DNA/RNA structure, replication, and transcription. | Medium (4/10 years) |
| Enzyme Action and Inhibition | Detailed questions on enzyme kinetics and inhibition mechanisms. | High (6/10 years) |
| Amino Acids and Peptide Bonds | Understanding of amino acids and peptide bonds. | Low (3/10 years) |
| Genetic Information and Replication | Focus on genetic coding and DNA replication. | Low (3/10 years) |
Major Topics in JEE Advanced Biomolecules
Here is a topic wise breakdown with its important concepts and weightage in the biomolecules topic.
| Topic | Key Sub-Topics | Weightage | Important Concepts |
| Carbohydrates | Monosaccharides, Disaccharides, Polysaccharides | 30% | Glucose structures, glycosidic bonds, reducing sugars |
| Amino Acids & Proteins | Structure, Zwitterions, Protein structure levels | 25% | pI calculations, peptide bonds, α-helix/β-sheet |
| Nucleic Acids | DNA/RNA structure, Base pairing, Replication | 20% | Purines/pyrimidines, Chargaff's rules, replication enzymes |
| Enzymes | Mechanism, Inhibition types, Coenzymes | 15% | Competitive inhibition, Michaelis-Menten kinetics |
| Vitamins | Classification, Deficiency diseases | 5% | Water-soluble vs fat-soluble, deficiency symptoms |
| Lipids & Hormones | Structure, Classification, Functions | 5% | Steroid structure, hormone types |
Here are the most important JEE Advanced Previous Year Questions from the topic Biomolecules
Question 1:
For a double strand DNA, one strand is given below:
The amount of energy required to split the double strand DNA into two single strands is ______ kcal mol-1.
[Given: Average energy per H-bond for A-T base pair = 1.0 kcal mol-1, G-C base pair = 1.5 kcal mol-1, and A-U base pair = 1.25 kcal mol-1. Ignore electrostatic repulsion between the phosphate groups.]

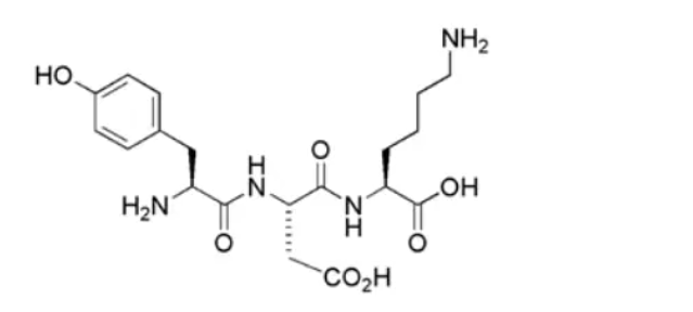
Question 2:
Aspartame, an artificial sweetener, is a dipeptide aspartyl phenylalanine methyl ester. The structure of aspartame is


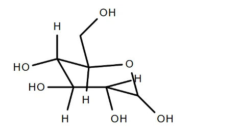
Question 3:
Treatment of D-glucose with aqueous NaOH results in a mixture of monosaccharides, which are
Question 4:
The structure of a peptide is given below:
If the absolute values of the net charge of the peptide at pH = 2, pH = 6, and pH = 11 are |z1|, |z2|, and |z3|, respectively, then what is |z1| + |z2| + |z3|?

Question 8:
Given:

The compound(s), which on reaction with HNO3 will give the product having a degree of rotation, [α]D = +52.7°, is(are);

Organic Chemistry for JEE Advanced
Organic Chemistry plays an important role in the JEE Advanced exam, covering a range of topics that are vital for a complete understanding of carbon-based compounds. This covers hydrocarbons including alkanes, alkenes, alkynes, and aromatic compounds where the basic understanding of their reactivity in context to addition, substitution, and elimination reactions is important. Another important area of study is functional groups, that of the alcohols, aldehydes, ketones, carboxylic acids, and amines. Understanding their properties, reactions, and mechanisms will be a basic familiarity which is essential to ensure you can predict reactivity in different conditions.
Organic Chemistry generally includes a significant weightage on the JEE Advanced exam. Typically 20-25% of the total marks are based on Organic Chemistry. Most questions tend to test conceptual understanding, reaction mechanisms, and functional change, thus grounding your study basis on these foundational principles will significantly enhance your chances during the exam and can help with highest overall marks.
Topic-Wise Weightage in Organic Chemistry
Organic Chemistry is an essential part of the JEE Advanced exam, with a significant number of questions being asked from this subject. Below is a breakdown of the weightage of important topics and the expected number of questions from each area in Organic Chemistry:
| Topic | Sub-Topics | Weightage (%) | Expected Number of Questions |
|---|---|---|---|
| Hydrocarbons | Alkanes, Alkenes, Alkynes, Aromatic Compounds, Reactions (Addition, Substitution, Elimination), Mechanisms (Electrophilic Substitution) | 15-20% | 3-4 |
| Functional Groups | Alcohols, Phenols, Ethers, Aldehydes, Ketones, Carboxylic Acids, Amines, Nitriles, Halides, Reaction Mechanisms (Nucleophilic Substitution, Electrophilic Addition) | 25-30% | 4-5 |
| Stereochemistry | Chirality, Optical Isomerism, Geometrical Isomerism, Cahn-Ingold-Prelog Rules, Enantiomers, Diastereomers, Racemic Mixtures | 10-12% | 2-3 |
| Reaction Mechanisms | SN1, SN2, Electrophilic Addition, Radical Mechanisms, Carbocation Stability, Rearrangements | 20-25% | 3-4 |
| Aromatic Compounds | Electrophilic Aromatic Substitution, Nitration, Sulfonation, Friedel-Crafts Reactions, Resonance Effects, Activating/Deactivating Substituents | 10-12% | 2-3 |
| Organic Synthesis and Named Reactions | Retrosynthetic Analysis, Multi-step Synthesis, Named Reactions (Grignard Reactionr>, Aldol Condensation, Wittig Reaction, etc.) | 10-15% | 2-3 |
JEE Advanced Exam Pattern
The JEE Advanced exam is considered as one of the top engineering entrance examinations in India, which takes place annually for enrollment at IITs and other top institutions to undergraduate programs. JEE Advanced consists of two compulsory papers, Paper 1 and Paper 2, each with three hours of duration. It challenges students’ knowledge of Physics, Chemistry and Mathematics. The exam consists of different question types including Multiple Choice Questions (MCQs), Numerical Value-based Questions and Assertion-Reasoning questions to evaluate the foundational knowledge of topics and ability to solve problems. Both papers have a total of 180 marks, with marks deducted for incorrect answers in a few question types.
| Aspect | Details |
|---|---|
| Mode | Computer-Based Test (CBT) |
| Papers | 2 (Paper 1 & Paper 2) – Both mandatory |
| Duration | 3 hours per paper (with break between papers) |
| Total Subjects | Physics, Chemistry, Mathematics (Equal weightage) |
| Total Questions | ~54–60 (18–20 per subject, split across question types) |
| Language | English & Hindi (option to switch during exam) |
The exam is known for its challenging nature and is conducted in English and Hindi. It is essential to clear the JEE Main exam before appearing for JEE Advanced.
Marking Scheme with Question types in JEE Advanced
Here is a detailed marking scheme for different questions in JEE Advanced exam.
| Question Type | Marks per Q | Negative Marking | Examples |
|---|---|---|---|
| Single Correct MCQ | +3 | -1 | Basic theory/direct formula questions |
| Multiple Correct MCQ | +4 (full) | -2 (if all wrong) / Partial marks* | "Which of the following is/are true?" |
| Numerical Value (NV) | +3 | No negative | Calculations (e.g., wavelength) |
| Paragraph-Based | Varies (2–4) | Depends on sub-type | Linked to a common scenario |
| Match the Following | +2 per match | -1 per wrong match | Column matching (e.g., graphs) |
Partial Marks: For Multiple Correct MCQs, +1 per correct option (if not all selected).
Subject-Wise Distribution
Here is the subject wise questions distribution in the JEE Advanced exam describing number of questions in each subject.
| Subject | MCQs | Numerical | Paragraph/Matching | Total |
|---|---|---|---|---|
| Physics | 6–8 | 4–5 | 2–3 | 12–16 |
| Chemistry | 6–8 | 4–5 | 2–3 | 12–16 |
| Maths | 6–8 | 4–5 | 2–3 | 12–16 |
Subject wise Syllabus: JEE Advanced 2025
Here is a quick syllabus of JEE Advanced 2025 subject wise which helps in preparation of the students. Check JEE Advanced Syllabus for a detailed Syllabus.
| Subject | Key Topics |
|---|---|
| Physics | Mechanics, Electrodynamics, Modern Physics, Optics, Thermodynamics, Error Analysis |
| Chemistry | Physical (Thermo, Kinetics), Organic (Reactions), Inorganic (Coordination, P-Block) |
| Maths | Algebra, Calculus, Coordinate Geometry, Trigonometry, Vectors |
Note:
- Physics: Focus on Modern Physics (20% weightage) & Electrodynamics.
- Chemistry: Organic reactions & Coordination compounds are high-scoring.
- Maths: Calculus (35% weightage) is most critical.
In addition to conceptual knowledge, you should practice multiple mock tests before your exam.
Check:
JEE Advanced Chemistry Paper Analysis (2024 & Trends)
The JEE Advanced Chemistry Paper evaluates candidates on their conceptual understanding, application skills, and problem-solving abilities in Physical, Organic, and Inorganic Chemistry. The exam consists of two papers (Paper 1 & Paper 2), each lasting 3 hours and containing 15–18 questions covering the entire syllabus. Questions range from theoretical concepts to numerical problems, with an emphasis on multi-disciplinary applications.
Overview (2024)
| Aspect | Details |
|---|---|
| Total Questions | 15–18 per paper (2 papers) |
| Difficulty | Moderate to Hard (30% easy, 40% moderate, 30% difficult) |
| Question Types | Single/Multiple MCQs, Numerical Value, Paragraph-based, Match-the-Column |
| Key Focus Areas | Thermodynamics, Organic Mechanisms, Coordination Compounds, Electrochemistry |
Chapter-Wise Weightage (2024)
| Topic | Weightage | Difficulty | Remarks |
|---|---|---|---|
| Thermodynamics | 15–20% | Moderate-Hard | Focus on Gibbs free energy, Hess’s Law, and numerical applications |
| Organic Mechanisms | 18–22% | Hard | Named reactions, stereochemistry, and reaction intermediates |
| Coordination Chem | 15–18% | Moderate | Isomerism, CFSE, spectrochemical series (NCERT-based but analytical) |
| Electrochemistry | 12–15% | Moderate-Hard | Nernst equation, conductance, battery-related problems |
| Chemical Kinetics | 10–12% | Moderate | Rate laws, Arrhenius equation, mechanism-based questions |
| Periodic Table | 8–10% | Easy-Moderate | Periodic trends, anomalies (e.g., 3rd period elements) |
| Biomolecules | 5–8% | Easy | Theory-based (carbohydrates, proteins, nucleic acids) |
| P-Block Elements | 10–12% | Moderate | NCERT-focused, but application-based questions on oxides and halides |
Difficulty Trends (2019–2024)
| Year | Difficulty Level | Key Observations |
|---|---|---|
| 2024 | Moderate-Hard | Increased numerical problems, integration of multiple concepts (e.g., Thermo + Kinetics) |
| 2023 | Moderate | Balanced theory and numericals; Organic Chemistry was lengthy |
| 2022 | Hard | Heavy emphasis on Physical Chemistry calculations and complex Organic mechanisms |
| 2021 | Very Hard | Unconventional Inorganic questions, tricky coordination chemistry problems |
| 2020 | Moderate | More NCERT-aligned, straightforward Organic and Physical Chemistry questions |
Key Takeaways for 2025
- Physical Chemistry: Strengthen numerical problem-solving in Thermodynamics, Electrochemistry, and Kinetics.
- Organic Chemistry: Master reaction mechanisms, named reactions, and stereochemistry.
- Inorganic Chemistry: Focus on NCERT (especially P-Block and Coordination Compounds) with analytical applications.
- Practice: Solve previous years’ papers (2021–2024) to understand evolving patterns.
JEE Advanced Previous Year Question Papers with Detailed Solutions
JEE Advanced 2024 Question Paper Pdf with Solutions
| Paper Name | Question Paper with Solutions |
|---|---|
| JEE Advanced 2024 Paper 1 Question Paper (English) | Check Solutions |
| JEE Advanced 2024 Paper 2 Question Paper (English) | Check Solutions |
| JEE Advanced 2024 Paper 1 Question Paper (Hindi) | Check Solutions |
| JEE Advanced 2024 Paper 1 Question Paper (Hindi) | Check Solutions |
| Architecture Aptitude Test | Check Solutions |
JEE Advanced Question Paper has 4 sections- Section 1 (Maximum marks-12), Section 2 (Maximum marks-12), Section 3 (Maximum marks- 24) and Section 4 (Maximum marks-12)
JEE Advanced 2023 Question Paper PDF Download With Solutions
| Paper | Answer Key PDF |
|---|---|
| Question Paper 1 PDF | Check Solutions |
| Question Paper 2 PDF | Check Solutions |
| Question Paper AAT PDF | Check Solutions |
JEE Advanced 2022 Question Paper
| 2022 Question Paper | PDF Download |
|---|---|
| Question Paper 1 PDF | Click here |
| Question Paper 2 PDF | Click here |
JEE Advanced 2021 Question Paper
| Question Paper | PDF Download | ||
|---|---|---|---|
| Question Paper 1 PDF | Physics | Chemistry | Maths |
| Question Paper 2 PDF | Physics | Chemistry | Maths |
JEE Advanced 2020 Question Paper
| Question Paper | PDF Download |
| Question Paper 1 PDF | Click here |
| Question Paper 2 PDF | Click here |
Frequently Asked Questions (FAQs)
Q1. Are biomolecules important for JEE Advanced?
Answer. Indeed, Biomolecules are an important subject for JEE Advanced with around 3-5% of the total marks corresponding to about 1-2 questions per year. While this unit has a less weightage, it still includes key concepts that encapsulate organic chemistry and biological processes and are thus justified for scoring.
Specific conceptual areas such as protein structure, enzyme mechanisms, carbohydrate metabolism, lipid functions, nucleic acids are regularly asked. If you can master these idea areas, then you will score well in this unit, especially as the questions are concept-based to begin with and require chemistry and biological knowledge.
Q2. Can I study biomolecules without GOC?
Answer. Studying Biomolecules is not ideal without a solid understanding in General Organic Chemistry (GOC). GOC lays the framework for fundamental principles including reaction mechanisms, functional groups, and organic reactions that are critical to habitual biomolecular systems and processes. Understanding simple concepts like nucleophilic substitution, and functional group behaviors in proteins, carbohydrates, and nucleic acids are more easily studied when the concepts of GOC have been presented. A little GOC knowledge will lead to much easier, and more helpful studying into Biomolecules for JEE Advanced.
Q3. What is the weightage of Class 11 and 12 in JEE Advanced?
Answer. The weightage given for the topics in JEE Advanced from Class 11 and Class 12 is usually as follows:
- Class 11 Topics: Approximately 40-45% of the total marks in JEE Advanced.
- Some important Class 11 topics are Mechanics, Waves and Optics, Thermodynamics, Electrostatics and Atomic Structure.
- Class 12 Topics: Approximately 55-60% of the total marks in JEE Advanced.
- Some key Class 12 topics include Electromagnetic Induction, Optics, Modern Physics, Chemical Kinetics, Organic Chemistry, and Biomolecules.
So, while Class 12 topics have a slightly greater weightage, both years are equally important in the preparation phase.
Q4. How much weightage of organic chemistry in JEE Advanved?
Answer. In JEE Advanced, Organic Chemistry typically accounts for about 20-25% of the total marks, covering topics from both Class 11 (e.g., Hydrocarbons, Haloalkanes) and Class 12 (e.g., Aldehydes and Ketones, Carboxylic Acids).
Q5. What is most important biomolecule?
Answer. The most important biomolecule in JEE Advanced is proteins because they significantly contribute to biological function and activities, such as acting as catalysts (enzymes), providing structure (cell structure), transporting materials (transport), and facilitating immune function (immunity). The ability to analyze protein structure, mechanisms of enzymes and their action, and combinations of amino acids and protein structure will be critical in formulating answers for many JEE Advanced questions related to Biomolecules.
Q6. What are the classification of biomolecules?
Answer. Biomolecules can be classified into four main categories based on their structure and function:
- Carbohydrates: Organic compounds made of carbon, hydrogen, and oxygen. They include sugars, starch, and cellulose, and are primarily involved in energy storage and structural functions.
- Proteins: Made of amino acids, proteins are responsible for a wide range of functions, including enzymatic activity, cell signaling, immune responses, and structural support.
- Lipids: Hydrophobic molecules that include fats, oils, and phospholipids. They function in energy storage, cell membrane structure, and hormonal regulation.
- Nucleic Acids: DNA and RNA are polymers made up of nucleotides. They are essential for genetic information storage, replication, and protein synthesis.
These categories are fundamental to understanding the biochemical processes within living organisms.








Comments