JEE Advanced 2016 Paper 1 Question paper with answer key pdf conducted on May 22, 2016 is available for download. The exam was successfully organized by Indian Institute of Technology, Guwahati. In terms of difficulty level, JEE Advanced was of Moderate level. The question paper comprised a total of 54 questions divided among Three sections.
JEE Advanced 2016 Paper 1 Question Paper with Answer Key PDF in English
| JEE Advanced 2016 Paper 1 Question Paper | JEE Advanced 2016 Paper 1 Answer Key |
|---|---|
| Download PDF | Download PDF |
JEE Advanced Previous Year Question Paper with Answer Key PDFs
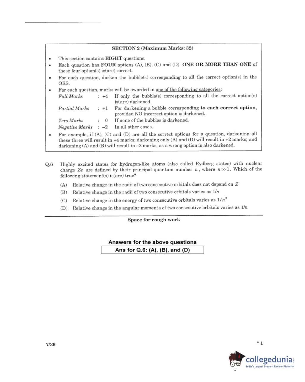
| JEE Advanced 2021 Question Paper | JEE Advanced 2020 Question Paper | JEE Advanced 2019 Question Paper |
| JEE Advanced 2018 Question Paper | JEE Advanced 2017 Question Paper | JEE Advanced 2016 Question Paper |













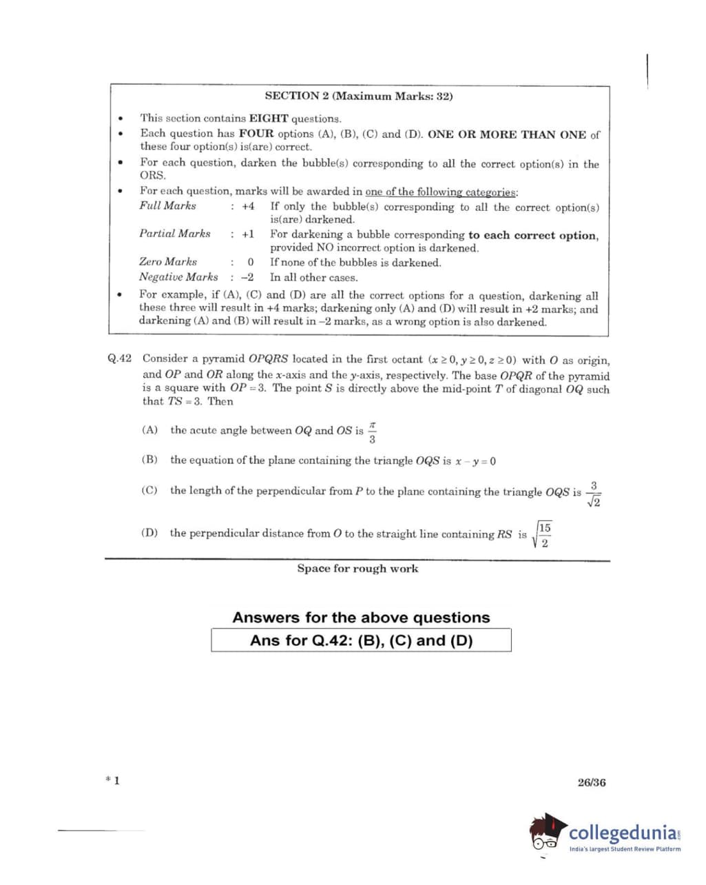
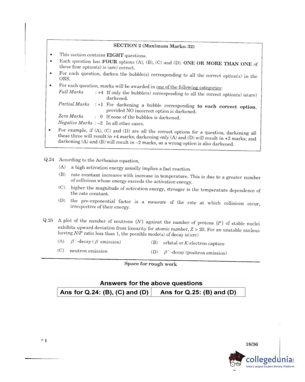
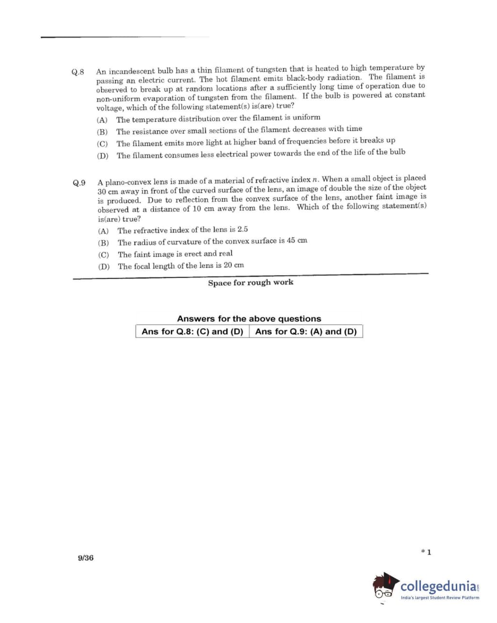
Comments