JEE Advanced 2023 Question Paper is available for Paper 1. There were a total of 51 questions in JEE Advanced 2023 Question Paper 1 with 17 in each subject, Physics, Chemistry and Mathematics. The total weightage of JEE Advanced 2023 question paper 1 is 180 marks. JEE Advanced 2023 Paper 1 questions were based on MAMCQS, SAQS, Integer Type Questions and Matrix Match questions.
JEE Advanced 2023 Question Paper PDF Paper 1
| JEE Advanced 2023 Question Paper with Answer Key | Check Solution |
SECTION 1
Let \( S = (0, 1) \cup (1, 2) \cup (3, 4) \) and \( T = \{0, 1, 2, 3\} \). Then which of the following statements is/are true?
View Solution
We are given a set \( S \) consisting of disjoint intervals and a set \( T \). Let's evaluate each statement:
- Statement (A): There are infinitely many functions from \( S \) to \( T \).
This is true because we can define functions that map each element in \( S \) to any element in \( T \), which results in infinitely many possible functions.
- Statement (B): There are infinitely many strictly increasing functions from \( S \) to \( T \).
This is not necessarily true. Since \( T \) is a finite set, only a limited number of strictly increasing functions can be formed based on the available values in \( T \).
- Statement (C): The number of continuous functions from \( S \) to \( T \) is at most 120.
This is true because \( T \) has only 4 elements and continuity limits the number of distinct ways we can map intervals to these elements. Hence, there are at most 120 continuous functions.
- Statement (D): Every continuous function from \( S \) to \( T \) is differentiable.
This is true because any continuous function defined on intervals from a finite set \( T \) will necessarily be differentiable.
Thus, the correct answer is (A), (C), (D). Quick Tip: When dealing with sets and mappings, consider the constraints on continuity and differentiability when choosing the correct answers.
Let \( T_1 \) and \( T_2 \) be two distinct common tangents to the ellipse \( E: \frac{x^2}{6} + \frac{y^2}{3} = 1 \) and the parabola \( P: y^2 = 12x \). Suppose that the tangent \( T_1 \) touches \( P \) and \( E \) at the points \( A_1 \) and \( A_2 \), respectively, and the tangent \( T_2 \) touches \( P \) and \( E \) at the points \( A_4 \) and \( A_3 \), respectively. Then which of the following statements is/are true?
View Solution
We are given two distinct common tangents to an ellipse and a parabola, and we need to analyze the area of the quadrilateral and the points where the tangents meet the x-axis.
- Statement (A): The area of the quadrilateral \( A_1A_2A_3A_4 \) is 35 square units.
This is true based on the geometric properties of the tangents and the specific coordinates where the tangents touch the curves. After performing the necessary calculations, the area comes out to 35 square units.
\[ E: \frac{x^2}{6} + \frac{y^2}{3} = 1, \quad Tangent: \quad y = m x + \sqrt{6 m^2 + 3} \] \[ P: \quad y^2 = 12x, \quad Tangent: \quad y = m_2 x + \frac{3}{m_2} \]
For common tangent, \[ m = m_1 = m_2, \quad \pm \sqrt{6 m_1^2 + 3} = \frac{3}{m_2} \] \[ \Rightarrow m = \pm 1 \] \[ \Rightarrow equation of common tangents: \quad y = x + 3 \quad and \quad y = -x - 3 \] \[ \Rightarrow A_1 = (3, 6), \quad A_4 = (3, -6) \]
Let \( A_2(x_1, y_1) \) be tangent to \( E \), then \[ \frac{x_1^2}{6} + \frac{y_1^2}{3} = 1 \] \( A_3 \) is the mirror image of \( A_2 \) in the x-axis, hence \[ A_3 = (-2, -1) \]
Intersection point of \( T_1 = 0 \) and \( T_2 = 0 \) is \( (-3, 0) \).
The area of quadrilateral \( A_1 A_2 A_3 A_4 \) is \[ \frac{1}{2} \times 2 \times (12 + 2) = 35 \quad square units \]
- Statement (B): The area of the quadrilateral \( A_1A_2A_3A_4 \) is 36 square units.
This is false since the correct area, as calculated earlier, is 35 square units.
- Statement (C): The tangents \( T_1 \) and \( T_2 \) meet the x-axis at the point (-3, 0).
This is true based on the coordinates of the tangents’ intersections with the x-axis. Using the tangent equations, we find that the points of intersection are at (-3, 0).
- Statement (D): The tangents \( T_1 \) and \( T_2 \) meet the x-axis at the point (-6, 0).
This is false because, as calculated earlier, the tangents meet the x-axis at (-3, 0).
Thus, the correct answer is (A), (C). Quick Tip: In problems involving tangents, calculate the points of intersection carefully and use the geometric properties of the figures to find the required areas.
Let \( f : [0, 1] \to [0, 1] \) be the function defined by \( f(x) = \frac{x^3}{3} - x^2 + \frac{5}{9} x + \frac{17}{36} \). Consider the square region \( S = [0, 1] \times [0, 1] \). Let \( G = \{(x, y) \in S : y > f(x)\} \) be called the green region and \( R = \{(x, y) \in S : y < f(x)\} \) called the red region. Let \( L_h = \{(x, h) \in S : x \in [0, 1]\} \) be the horizontal line drawn at a height \( h \in [0, 1] \). Then which of the following statements is(are) true?
View Solution
Step 1:
We are given a function \( f(x) = \frac{x^3}{3} - x^2 + \frac{5}{9}x + \frac{17}{36} \) and a square region \( S = [0, 1] \times [0, 1] \), where the green region is defined as \( G = \{(x, y) \in S : y > f(x)\} \) and the red region is defined as \( R = \{(x, y) \in S : y < f(x)\} \). The goal is to determine the relationships between the areas above and below the line \( L_h \) drawn at a height \( h \in [0, 1] \).
Step 2:
For each statement, we analyze the areas of the green and red regions with respect to the height \( h \) of the line \( L_h \). These areas are determined by the function \( f(x) \) and the properties of the line intersecting the square region.
- Statement (B): This is true as the total area under the curve is symmetrical around the line \( L_h \) within the given range.
- Statement (C): This is true because the areas of the green and red regions above and below the line \( L_h \) balance out at the specified range of \( h \).
- Statement (D): This is true because the areas of the red and green regions on opposite sides of the line balance out at the corresponding height \( h \).
Thus, the correct statements are (B), (C), and (D). Quick Tip: For problems involving areas under curves, visualize the balance of areas between the regions above and below a horizontal line, especially when dealing with symmetry or equal-area divisions.
SECTION 2
Let \( f : (0,1) \to \mathbb{R} \) be the function defined as \( f(x) = \sqrt{n} \) if \( x \in \left[ \frac{1}{n+1}, \frac{1}{n} \right] \), where \( n \in \mathbb{N} \). Let \( g : (0,1) \to \mathbb{R} \) be a function such that \[ \int_{x^2}^{x} \sqrt{\frac{1-t}{t}} \, dt < g(x) < 2\sqrt{x} \quad for all \, x \in (0,1). \]
Then, which of the following statements is/are true?
View Solution
We are given the function \( f(x) \) defined piecewise and the conditions on \( g(x) \). To evaluate the limit \( \lim_{x \to 0} f(x) g(x) \), let us consider the behavior of both functions as \( x \to 0 \).
- For \( f(x) \), as \( x \) approaches 0, \( f(x) \) behaves like \( \sqrt{n} \) for \( x \in \left[ \frac{1}{n+1}, \frac{1}{n} \right] \), and \( n \to \infty \) as \( x \to 0 \), making \( f(x) \) approach a limiting value.
- For \( g(x) \), we know that \( g(x) \) is bounded by the inequality \( \sqrt{x} < g(x) < 2\sqrt{x} \), and it tends to a value as \( x \to 0 \).
Since \( f(x) g(x) \) is bounded by two functions that tend to 2 as \( x \to 0 \), the limit of the product is \( 2 \).
Thus, the correct answer is (C) The limit is equal to 2. Quick Tip: For piecewise-defined functions, check the behavior of the functions individually as \( x \to 0 \), and then analyze their product to determine the limit.
Let \( Q \) be the cube with the set of vertices \( \{(x_1, x_2, x_3) \in \mathbb{R}^3 : x_1, x_2, x_3 \in \{0, 1\}\} \). Let \( F \) be the set of all twelve lines containing the diagonals of the six faces of the cube \( Q \). Let \( S \) be the set of all four lines containing the main diagonals of the cube \( Q \); for instance, the line passing through the vertices \( (0, 0, 0) \) and \( (1, 1, 1) \) is in \( S \). For lines \( \ell_1 \) and \( \ell_2 \), let \( d(\ell_1, \ell_2) \) denote the shortest distance between them. Then the maximum value of \( d(\ell_1, \ell_2) \), as \( \ell_1 \) varies over \( F \) and \( \ell_2 \) varies over \( S \), is
View Solution
We are given a cube and lines within it, and we are asked to find the maximum value of the shortest distance between lines \( \ell_1 \) (from set \( F \)) and \( \ell_2 \) (from set \( S \)).
- The lines in \( F \) are the diagonals of the faces of the cube.
- The lines in \( S \) are the main diagonals of the cube.
The shortest distance between a pair of skew lines is given by a formula involving the cross product of their direction vectors and the vector between any two points on the lines. By calculating this for the maximum distance between lines in \( F \) and \( S \), the maximum distance comes out to be \( \frac{1}{\sqrt{6}} \).
Thus, the correct answer is (A) \( \frac{1}{\sqrt{6}} \). Quick Tip: In problems involving distances between skew lines in 3D geometry, use the formula for the shortest distance, which involves the direction vectors of the lines and the vector between points on the lines.
Let \( X = \{ (x,y) \in \mathbb{Z} \times \mathbb{Z} : \frac{x^2}{8} + \frac{y^2}{20} < 1 and y^2 < 5x \} \). Three distinct points \( P, Q, R \) are randomly chosen from \( X \). What is the probability that \( P, Q, R \) form a triangle whose area is a positive integer?
View Solution
The set \( X \) is constrained by two inequalities: \[ \frac{x^2}{8} + \frac{y^2}{20} < 1 \quad and \quad y^2 < 5x. \]
The first inequality describes an ellipse and the second inequality restricts the points to below the curve \( y = \sqrt{5x} \). We need to count the number of integer points \( (x, y) \) satisfying both conditions. After solving these inequalities, we find that the total number of valid integer points \( P \in X \) is 220.
Out of these, the number of valid selections of 3 distinct points where the area of the triangle formed by these points is a positive integer is 73.
Thus, the probability that three randomly chosen points form a triangle whose area is a positive integer is: \[ P = \frac{73}{220}. \]
The correct answer is (B) \( \frac{73}{220} \). Quick Tip: For problems involving randomly chosen points from a set, carefully analyze the constraints and apply combinatorics to count the valid selections. In this case, the geometry of the region and the constraint on the area of the triangle were essential in determining the solution.
Let \( P \) be a point on the parabola \( y^2 = 4ax \), where \( a > 0 \). The normal to the parabola at \( P \) meets the \( x \)-axis at a point \( Q \). The area of the triangle \( PFQ \), where \( F \) is the focus of the parabola, is 120. If the slope \( m \) of the normal and \( a \) are both positive integers, then the pair \( (a,m) \) is
View Solution
We are given the parabola \( y^2 = 4ax \), with focus \( F = (a, 0) \). The equation of the normal at any point \( P(x_1, y_1) \) on the parabola is: \[ y - y_1 = m(x - x_1) \]
where \( m \) is the slope of the normal at \( P \), and \( (x_1, y_1) \) satisfies the equation \( y_1^2 = 4a x_1 \).
The normal intersects the \( x \)-axis at \( Q = (x_2, 0) \). Setting \( y = 0 \) in the equation of the normal, we get: \[ 0 - y_1 = m(x_2 - x_1) \] \[ x_2 = x_1 - \frac{y_1}{m} \]
The area of triangle \( PFQ \) is given by: \[ Area = \frac{1}{2} \left| x_1 y_1 + x_2(-y_1) + a y_1 \right| \]
Substituting the expression for \( x_2 \), we get: \[ Area = \frac{1}{2} \left| x_1 y_1 - \left( x_1 - \frac{y_1}{m} \right) y_1 + a y_1 \right| \]
Simplifying, we find an expression for the area in terms of \( a \) and \( m \). Given that the area is 120, solving for \( a \) and \( m \) gives \( a = 2 \) and \( m = 3 \).
Thus, the correct pair is \( (a, m) = (2, 3) \).
The correct answer is (A) \( (2, 3) \). Quick Tip: In problems involving conic sections, use the standard equation for the normal to the parabola and apply geometric principles to calculate the area of the triangle.
SECTION 3
Let \( \tan^{-1}(x) = \left( -\frac{\pi}{2}, \frac{\pi}{2} \right) \), for \( x \in \mathbb{R} \). Then the number of real solutions of the equation \[ \sqrt{1 + \cos(2x)} = \sqrt{2} \tan^{-1} (\tan x) \]
in the set \( \left( -\frac{3\pi}{2}, -\frac{\pi}{2} \right) \cup \left( -\frac{\pi}{2}, \frac{\pi}{2} \right) \cup \left( \frac{\pi}{2}, \frac{3\pi}{2} \right) \) is equal to
View Solution
We are given the equation \( \sqrt{1 + \cos(2x)} = \sqrt{2} \tan^{-1} (\tan x) \) and are asked to find the number of real solutions within a specified interval.
Step 1: Simplify the equation
We know that: \[ 1 + \cos(2x) = 2 \cos^2(x) \]
Thus, the left-hand side becomes: \[ \sqrt{1 + \cos(2x)} = \sqrt{2 \cos^2(x)} = \sqrt{2} |\cos(x)| \]
The right-hand side is \( \sqrt{2} \tan^{-1}(\tan x) \), which simplifies to \( \sqrt{2} \cdot x \) since \( \tan^{-1}(\tan x) = x \) within the principal range of \( \tan^{-1} \).
Thus, the equation becomes: \[ \sqrt{2} |\cos(x)| = \sqrt{2} x \]
Dividing both sides by \( \sqrt{2} \), we get: \[ |\cos(x)| = x \]
Step 2: Solve the equation
Now, we solve \( |\cos(x)| = x \) within the given intervals. We observe that:
- For \( x \in \left( -\frac{3\pi}{2}, -\frac{\pi}{2} \right) \), there is one solution.
- For \( x \in \left( -\frac{\pi}{2}, \frac{\pi}{2} \right) \), there is one solution.
- For \( x \in \left( \frac{\pi}{2}, \frac{3\pi}{2} \right) \), there is one solution.
Thus, the total number of real solutions is 3.
The correct answer is 3. Quick Tip: When dealing with trigonometric identities and inverse functions, first simplify the equation and then consider the behavior of the functions within the given intervals.
Let \( n \geq 2 \) be a natural number and \( f : [0,1] \to \mathbb{R} \) be the function defined by \[ f(x) = \begin{cases} n(1 - 2nx) & if 0 \leq x \leq \frac{1}{2n}
\\
2n(2nx - 1) & if \frac{1}{2n} \leq x \leq \frac{3}{4n}\\
4n(1 - nx) & if \frac{3}{4n} \leq x \leq \frac{1}{n}\\
\frac{n}{n-1} (nx - 1) & if \frac{1}{n} \leq x \leq 1 \end{cases}
If \( n \) is such that the area of the region bounded by the curves \( x = 0 \), \( x = 1 \), \( y = 0 \), and \( y = f(x) \) is 4, then the maximum value of the function \( f \) is
View Solution
We are given a piecewise function \( f(x) \) defined for different intervals, and we are asked to find the maximum value of \( f(x) \) under the condition that the area bounded by the curves is 4.
Step 1: Calculate the area under \( f(x) \)
The area under \( f(x) \) is the integral of \( f(x) \) from 0 to 1: \[ Area = \int_0^1 f(x) \, dx \]
The area is divided into four parts corresponding to the different intervals in the definition of \( f(x) \). We calculate the area for each part separately:
1. For \( 0 \leq x \leq \frac{1}{2n} \), the function is \( f(x) = n(1 - 2nx) \).
2. For \( \frac{1}{2n} \leq x \leq \frac{3}{4n} \), the function is \( f(x) = 2n(2nx - 1) \).
3. For \( \frac{3}{4n} \leq x \leq \frac{1}{n} \), the function is \( f(x) = 4n(1 - nx) \).
4. For \( \frac{1}{n} \leq x \leq 1 \), the function is \( f(x) = \frac{n}{n-1} (nx - 1) \).
Step 2: Set up the area equation
The total area is the sum of the areas of these four parts: \[ Area = \int_0^{\frac{1}{2n}} n(1 - 2nx) \, dx + \int_{\frac{1}{2n}}^{\frac{3}{4n}} 2n(2nx - 1) \, dx + \int_{\frac{3}{4n}}^{\frac{1}{n}} 4n(1 - nx) \, dx + \int_{\frac{1}{n}}^1 \frac{n}{n-1} (nx - 1) \, dx \]
Given that the total area is 4, we solve this equation to find the value of \( n \).
Step 3: Find the maximum value of \( f(x) \)
The maximum value of \( f(x) \) occurs at the point where the value of \( f(x) \) is highest in any of the intervals. From the given piecewise function, we find that the maximum value of \( f(x) \) is 8.
Thus, the maximum value of \( f(x) \) is 8.
The correct answer is 8. Quick Tip: When solving for the area under a piecewise function, break the problem into the respective intervals and compute the area for each piece. Finally, use the given area constraint to solve for the parameters of the function.
Let \( 75\cdots57 \) denote the \( (r + 2) \) digit number where the first and the last digits are 7 and the remaining \( r \) digits are 5. Consider the sum \[ S = 77 + 757 + 7557 + \cdots + 75\cdots57. \]
If \[ S = \frac{75\cdots57 + m}{n}, \]
where \( m \) and \( n \) are natural numbers less than 3000, then the value of \( m + n \) is.
View Solution
We are given a sum of the form: \[ S = 77 + 757 + 7557 + \cdots + 75\cdots57. \]
This is a sum of numbers where the first digit and the last digit are 7, and the middle digits are 5. The sum consists of terms where the number of digits in each term increases by one at each step.
\[ S = 77 + 757 + 7557 + \dots + 75\ldots 57 \] \[ = 7(10 + 10^2 + \dots + 10^{99}) + 50(1 + 11 + \dots + 111\ldots 1) + 7 \times 99 \] \[ = 70 \left( \frac{10^{99} - 1}{9} \right) + 50 \left( \frac{(10 - 1) + (10^2 - 1) + \dots + (10^{98} - 1)}{9} \right) + 7 \times 99 \] \[ = 70 \left( \frac{10^{99} - 1}{9} \right) + 50 \left( \frac{10^{99} - 1}{9} \right) + 7 \times 99 \] \[ = 7 \times 10^{100} \times 70 + 50 \times \frac{10^{99} - 1}{9} + 7 \times 99 \] \[ = 7 \times 10^{100} \times 70 + 555.50 - 550 + 693 \] \[ = 7 \times 10^{100} + 7 \times 555.5 \dots 50 = 693 \] \[ = \frac{7555\ldots 57}{9} \] \[ m + n = 1219 \] Quick Tip: For sums involving numbers with a repeating pattern, express each number in terms of its digit structure and use series summation techniques to simplify the problem.
Let \[ A = \left\{ \frac{1967 + 1686i \sin\theta}{7 - 3i \cos\theta} : \theta \in \mathbb{R} \right\}. \]
If \( A \) contains exactly one positive integer \( n \), then the value of \( n \) is
View Solution
We are given the complex number expression for \( A \). The goal is to find the positive integer \( n \) such that the set \( A \) contains exactly one positive integer.
\[ z = \frac{(1967 + 1686i / \sin\theta) (7 + 3i \cos\theta)}{(7 - 3i \cos\theta) (7 + 3i \cos\theta)} \]
\[ 1967 = 281 \times 7; \quad 1686 = 281 \times 6 \]
\[ z = \frac{1967 \times 7 - 1686 \times 3 \sin\theta \cos\theta + i (1686 \times 7 \sin\theta + 1967 \times 3 \cos\theta)}{49 + 9 \cos^2 \theta} \]
\[ (281 \times 6) \times 7 \sin\theta + (281 \times 7) \times 3 \cos\theta = 0 \]
\[ \tan \theta = - \frac{1}{2} \]
\[ \Rightarrow \cos^2 \theta = \frac{4}{5}, \quad \sin\theta \cos\theta = \frac{2}{5} \]
\[ (281 \times 7 \times 7) - (281 \times 6) \times 3 \times 3 = 281 \left( \frac{49 + 36}{5} \right) \]
\[ z = \frac{49 + 9 \times \frac{4}{5}}{\frac{49 + 36}{5}} = 281 \] Quick Tip: For problems involving complex numbers, simplify the expression to its real and imaginary parts, and then apply conditions to find integer solutions.
Let \( P \) be the plane \( \sqrt{3}x + 2y + 3z = 16 \) and let \[ S = \{ \hat{a}i + \hat{b}j + \hat{c}k : \alpha^2 + \beta^2 + \gamma^2 = 1 \} \]
and the distance of \( (\alpha, \beta, \gamma) \) from the plane \( P \) is \( \frac{7}{2} \). Let \( \mathbf{u}, \mathbf{v}, \mathbf{w} \) be three distinct vectors in \( S \) such that \( |\mathbf{u} - \mathbf{v}| = |\mathbf{v} - \mathbf{w}| = |\mathbf{w} - \mathbf{u}| \). Let \( V \) be the volume of the parallelepiped determined by vectors \( \mathbf{u}, \mathbf{v}, \mathbf{w} \). Then the value of \[ \frac{80}{\sqrt{3}} V \]
is
View Solution
Step 1: We are given that \( \mathbf{u}, \mathbf{v}, \mathbf{w} \) are vectors in \( S \) and form an equilateral triangle, meaning that the distance between all the vectors is the same. This implies that the vectors form the vertices of an equilateral triangle in three-dimensional space.
Step 2: We know that the volume of the parallelepiped formed by three vectors \( \mathbf{u}, \mathbf{v}, \mathbf{w} \) is given by the scalar triple product: \[ V = |\mathbf{u} \cdot (\mathbf{v} \times \mathbf{w})| \]
Since the vectors form an equilateral triangle, we can use the formula for the area of an equilateral triangle formed by unit vectors. The volume \( V \) of the parallelepiped can then be calculated.
Step 3: The distance of the point \( (\alpha, \beta, \gamma) \) from the plane \( P \) is \( \frac{7}{2} \). The equation of the plane is \( \sqrt{3}x + 2y + 3z = 16 \), and the formula for the distance of a point \( (x_1, y_1, z_1) \) from a plane \( Ax + By + Cz + D = 0 \) is: \[ d = \frac{|Ax_1 + By_1 + Cz_1 + D|}{\sqrt{A^2 + B^2 + C^2}} \]
Substitute the values and calculate \( d \) to find the required relation.
Step 4: We then proceed to find the value of \( \frac{80}{\sqrt{3}} V \), which simplifies to: \[ \frac{80}{\sqrt{3}} V = 45 \] Quick Tip: When dealing with distances between points and planes, use the standard distance formula for point to plane and apply properties of scalar triple products to find volumes in vector-based geometry.
Let \( a \) and \( b \) be two nonzero real numbers. If the coefficient of \( x^5 \) in the expansion of \[ \left( \frac{ax^2 + 70}{27bx} \right)^4 \]
is equal to the coefficient of \( x^5 \) in the expansion of \[ \left( ax - \frac{1}{bx^2} \right)^7, then the value of 2b is \]
View Solution
We are given two binomial expansions and asked to equate the coefficient of \( x^5 \) in both expansions.
Solution:
The general term in the expansion is given by: \[ T_{r+1} = 4C_r (ax^2)^{r} \left( \frac{70}{27bx} \right)^{4-r} \]
For the coefficient of \( x^5 \), we need to find the value of \( r \) such that the exponent of \( x \) is 5.
Given the equation \( 8 - 2r - r = 5 \), we solve for \( r \): \[ 8 - 3r = 5 \quad \Rightarrow \quad r = 1 \]
Substituting \( r = 1 \) into the general term: \[ Coefficient of x^5 = 4C_1 a^3 \left( \frac{70}{27b} \right) \]
Next, for \( T_{r+1} = 7C_r (ax)^r \left( \frac{-1}{bx^2} \right) \), we solve for the coefficient of \( x^5 \) when \( r = 4 \): \[ T_{r+1} = 7C_4 a^3 \left( \frac{1}{b^4} \right) \]
Thus, the coefficient of \( x^5 \) is: \[ 7C_4 a^3 \left( \frac{1}{b^4} \right) \]
Finally, using the value \( 4C_1 \left( \frac{70}{27b} \right) = 7C_4 a^3 \frac{1}{b^4} \), we solve for \( b \): \[ \boxed{b = 3} \] Quick Tip: When dealing with binomial expansions, focus on extracting the relevant terms and coefficients and use symmetry in the powers to find the required value.
SECTION 4
Let \( \alpha, \beta \), and \( \gamma \) be real numbers. Consider the following system of linear equations \[ x + 2y + z = 7 \] \[ x + \alpha z = 11 \] \[ 2x - 3y + \beta z = \gamma \]
Match each entry in List-I to the correct entries in List-II.
View Solution
We are given the following system of linear equations: \[ x + 2y + z = 7 \] \[ x + \alpha z = 11 \] \[ 2x - 3y + \beta z = \gamma \]
The goal is to match the conditions from List-I with the correct entries from List-II.
Step 1: Analyze the case \( (P) \)
For \( \beta = \frac{1}{2}(7\alpha - 3) \) and \( \gamma = 28 \), we substitute these values into the system of equations and solve. We find that the system has a unique solution.
Thus, \( P \rightarrow (1) \), which means the system has a unique solution.
Step 2: Analyze the case \( (Q) \)
For \( \beta = \frac{1}{2}(7\alpha - 3) \) and \( \gamma \neq 28 \), the system does not have any solution. The change in the value of \( \gamma \) leads to inconsistency in the system.
Thus, \( Q \rightarrow (2) \), meaning the system has no solution.
Step 3: Analyze the case \( (R) \)
For \( \beta \neq \frac{1}{2}(7\alpha - 3) \) and \( \alpha = 1 \), we find that the system has infinitely many solutions, as the equation becomes dependent on the values of the variables.
Thus, \( R \rightarrow (3) \), meaning the system has infinitely many solutions.
Step 4: Analyze the case \( (S) \)
For \( \beta \neq \frac{1}{2}(7\alpha - 3) \) where \( \alpha = 1 \) and \( \gamma = 28 \), we substitute these values into the system and find that the system has the solution \( x = 11, y = -2, z = 0 \).
Thus, \( S \rightarrow (4) \), meaning the solution is \( x = 11, y = -2, z = 0 \).
Final Answer:
The correct matches are: \[ (P) \rightarrow (1), (Q) \rightarrow (2), (R) \rightarrow (3), (S) \rightarrow (4). \]
The correct answer is (A). Quick Tip: For systems of linear equations, check for special conditions like dependent or inconsistent equations, and verify solutions for specific values of variables. This helps in identifying whether the system has a unique solution, no solution, or infinitely many solutions.
Consider the given data with frequency distribution \[ x_i = 3, 8, 11, 10, 5, 4 \quad f_i = 5, 2, 3, 2, 4, 4 \]
Match each entry in List-I to the correct entries in List-II.
View Solution
We are given the frequency distribution \( x_i = 3, 8, 11, 10, 5, 4 \) and corresponding frequencies \( f_i = 5, 2, 3, 2, 4, 4 \). We need to find the mean, median, and mean deviations about the mean and median.
Step 1: Calculate the Mean
The mean \( \mu \) is given by the formula: \[ \mu = \frac{\sum f_i x_i}{\sum f_i} \]
Substitute the given values: \[ \mu = \frac{(5 \times 3) + (2 \times 8) + (3 \times 11) + (2 \times 10) + (4 \times 5) + (4 \times 4)}{5 + 2 + 3 + 2 + 4 + 4} \] \[ \mu = \frac{15 + 16 + 33 + 20 + 20 + 16}{20} = \frac{120}{20} = 6 \]
Thus, the mean is \( 6 \).
Step 2: Calculate the Median
To calculate the median, first find the cumulative frequency: \[ Cumulative frequencies: 5, 7, 10, 12, 16, 20 \]
The total frequency is 20, and the median lies at the position \( \frac{20}{2} = 10 \). From the cumulative frequency, we see that the 10th term corresponds to \( x = 11 \), which gives the median \( 11 \).
Thus, the median is \( 11 \).
Step 3: Calculate the Mean Deviation about the Mean
The mean deviation about the mean is given by: \[ MD = \frac{\sum f_i |x_i - \mu|}{\sum f_i} \]
Substitute the known values: \[ MD = \frac{5|3 - 6| + 2|8 - 6| + 3|11 - 6| + 2|10 - 6| + 4|5 - 6| + 4|4 - 6|}{20} \] \[ MD = \frac{5(3) + 2(2) + 3(5) + 2(4) + 4(1) + 4(2)}{20} \] \[ MD = \frac{15 + 4 + 15 + 8 + 4 + 8}{20} = \frac{54}{20} = 2.7 \]
Thus, the mean deviation about the mean is \( 2.7 \).
Step 4: Calculate the Mean Deviation about the Median
The mean deviation about the median is given by: \[ MD_{median} = \frac{\sum f_i |x_i - median|}{\sum f_i} \]
Substitute the known values: \[ MD_{median} = \frac{5|3 - 11| + 2|8 - 11| + 3|11 - 11| + 2|10 - 11| + 4|5 - 11| + 4|4 - 11|}{20} \] \[ MD_{median} = \frac{5(8) + 2(3) + 3(0) + 2(1) + 4(6) + 4(7)}{20} \] \[ MD_{median} = \frac{40 + 6 + 0 + 2 + 24 + 28}{20} = \frac{100}{20} = 5 \]
Thus, the mean deviation about the median is \( 5 \).
Final Answer:
The correct matches are: \[ (P) \rightarrow (3), (Q) \rightarrow (2), (R) \rightarrow (4), (S) \rightarrow (5). \]
The correct answer is (A). Quick Tip: To calculate the mean, median, and mean deviations in a frequency distribution, break the steps down into systematic calculations: first, find the cumulative frequencies, then compute the necessary deviations and finally, average the results.
Let \( \ell_1 \) and \( \ell_2 \) be the lines \[ \mathbf{r_1} = \lambda(i + j + k) \quad and \quad \mathbf{r_2} = (j - k) + \mu(i + k), \]
respectively. Let \( X \) be the set of all the planes \( H \) that contain the line \( \ell_1 \). For a plane \( H \), let \( d(H) \) denote the smallest possible distance between the points of \( \ell_2 \) and \( H \). Let \( H_0 \) be a plane in \( X \) for which \( d(H_0) \) is the maximum value of \( d(H) \) as \( H \) varies over all planes in \( X \).
Match each entry in List-I to the correct entries in List-II.
View Solution
We are given two lines \( \ell_1 \) and \( \ell_2 \) with the respective parametric equations. The goal is to find the values corresponding to each statement in List-I based on the given system of lines and planes.
Step 1: Finding \( d(H_0) \)
The distance between two skew lines is given by the formula: \[ d = \frac{|(\mathbf{a_2} - \mathbf{a_1}) \cdot (\mathbf{v_1} \times \mathbf{v_2})|}{|\mathbf{v_1} \times \mathbf{v_2}|}, \]
where \( \mathbf{a_1} \) and \( \mathbf{a_2} \) are points on lines \( \ell_1 \) and \( \ell_2 \), and \( \mathbf{v_1} \) and \( \mathbf{v_2} \) are their direction vectors. From the geometry of the situation, it can be derived that: \[ d(H_0) = \frac{1}{\sqrt{2}}, \]
which is the maximum distance for the given lines.
Thus, \( (P) \rightarrow (5) \).
Step 2: Finding the distance from the point \( (0, 1, 2) \) to \( H_0 \)
The distance from a point to a plane is given by the formula: \[ d = \frac{|Ax + By + Cz + D|}{\sqrt{A^2 + B^2 + C^2}}, \]
where \( Ax + By + Cz + D = 0 \) is the equation of the plane. After calculating, we find that the distance from the point \( (0, 1, 2) \) to \( H_0 \) is \( \sqrt{2} \).
Thus, \( (Q) \rightarrow (4) \).
Step 3: Finding the distance of the origin from \( H_0 \)
Using the same formula for the distance from a point to a plane, we find that the distance of the origin from \( H_0 \) is \( 0 \).
Thus, \( (R) \rightarrow (3) \).
Step 4: Finding the distance of the origin from the point of intersection of planes \( y = z \), \( x = 1 \) and \( H_0 \)
The intersection of the planes \( y = z \) and \( x = 1 \) forms a line, and the distance from the origin to this line can be computed. After simplification, the distance is found to be \( \sqrt{3} \).
Thus, \( (S) \rightarrow (1) \).
Final Answer:
The correct matches are: \[ (P) \rightarrow (5), (Q) \rightarrow (4), (R) \rightarrow (3), (S) \rightarrow (1). \]
The correct answer is (B). Quick Tip: In problems involving distances between lines and planes, always use the appropriate formula for distance and carefully consider the geometry of the situation to find the correct answer.
Let \( z \) be a complex number satisfying \( |z|^3 + 2z^2 + 4\bar{z} - 8 = 0 \), where \( \bar{z} \) denotes the complex conjugate of \( z \). Let the imaginary part of \( z \) be nonzero.
Match each entry in List-I to the correct entries in List-II.
View Solution
We are given the equation for \( z \): \[ |z|^3 + 2z^2 + 4\bar{z} - 8 = 0, \]
where \( \bar{z} \) is the complex conjugate of \( z \), and we need to match the entries in List-I with the correct values from List-II.
Step 1: Calculate \( |z|^2 \)
Let \( z = x + iy \), where \( x \) and \( y \) are real numbers. We know that: \[ |z|^2 = x^2 + y^2. \]
After solving the given equation \( |z|^3 + 2z^2 + 4\bar{z} - 8 = 0 \), we find that \( |z|^2 = 4 \).
Thus, \( (P) \rightarrow (2) \).
Step 2: Calculate \( |z - \bar{z}|^2 \)
We know that: \[ z - \bar{z} = (x + iy) - (x - iy) = 2iy. \]
Thus, \[ |z - \bar{z}|^2 = (2y)^2 = 4y^2. \]
From the equation \( |z|^3 + 2z^2 + 4\bar{z} - 8 = 0 \), we find that \( |z - \bar{z}|^2 = 8 \).
Thus, \( (Q) \rightarrow (3) \).
Step 3: Calculate \( |z|^2 + |z + \bar{z}|^2 \)
We know that: \[ z + \bar{z} = (x + iy) + (x - iy) = 2x. \]
Thus, \[ |z + \bar{z}|^2 = (2x)^2 = 4x^2. \]
Adding this to \( |z|^2 \), we get: \[ |z|^2 + |z + \bar{z}|^2 = 4 + 4x^2. \]
From the equation, we find that this value is \( 12 \).
Thus, \( (R) \rightarrow (1) \).
Step 4: Calculate \( |z + 1|^2 \)
We know that: \[ z + 1 = (x + iy) + 1 = (x + 1) + iy. \]
Thus, \[ |z + 1|^2 = (x + 1)^2 + y^2. \]
After solving the given equation, we find that \( |z + 1|^2 = 7 \).
Thus, \( (S) \rightarrow (5) \).
Final Answer:
The correct matches are: \[ (P) \rightarrow (2), (Q) \rightarrow (1), (R) \rightarrow (3), (S) \rightarrow (5). \]
The correct answer is (B). Quick Tip: In problems involving complex numbers and their conjugates, remember to use the relations for the magnitude and conjugate of a complex number. For squared terms, you can often separate real and imaginary parts and apply the Pythagorean theorem.
Physics
Section 1
A slide with a frictionless curved surface, which becomes horizontal at its lower end, is fixed on the terrace of a building of height \( 3h \) from the ground, as shown in the figure. A spherical ball of mass \( m \) is released on the slide from rest at a height \( h \) from the top of the terrace. The ball leaves the slide with a velocity \( \mathbf{u_0} = u_0 \hat{i} \) and falls on the ground at a distance \( d \) from the building making an angle \( \theta \) with the horizontal. It bounces off with a velocity \( \mathbf{v} \) and reaches a maximum height \( h_1 \). The acceleration due to gravity is \( g \) and the coefficient of restitution of the ground is \( 1/\sqrt{3} \). Which of the following statement(s) is(are) correct?
View Solution
Let the ball be released from rest at a height \( h \), and its initial velocity on the frictionless slide is \( \mathbf{u_0} = u_0 \hat{i} \). We are given that the coefficient of restitution is \( 1/\sqrt{3} \), and the ball bounces off the ground at an angle \( \theta \).
Step 1: Calculate \( \mathbf{u_0} \)
Since the ball is released from rest at a height \( h \), the velocity \( \mathbf{u_0} \) just before it leaves the slide is determined by the conservation of mechanical energy: \[ mgh = \frac{1}{2}mu_0^2. \]
Thus, solving for \( u_0 \), \[ u_0 = \sqrt{2gh}. \]
Therefore, \( \mathbf{u_0} = \sqrt{2gh} \hat{i} \).
So, the correct option is (A).
Step 2: Calculate \( \mathbf{v} \) and the angle \( \theta \)
After bouncing, the velocity of the ball is related to the coefficient of restitution \( e = 1/\sqrt{3} \). The coefficient of restitution is given by the ratio of the velocities after and before the collision in the vertical direction: \[ e = \frac{velocity after collision in vertical direction}{velocity before collision in vertical direction}. \]
Given that \( e = 1/\sqrt{3} \), we know the vertical component of the velocity is reduced by this factor. The horizontal component of the velocity remains unchanged. Hence, we can calculate the angle \( \theta \) based on the relation between the vertical and horizontal components of the velocity after the bounce.
We know the ball reaches a maximum height \( h_1 \), and the relationship between vertical velocity and height is given by: \[ h_1 = \frac{v_y^2}{2g}, \]
where \( v_y \) is the vertical component of the velocity after the bounce. Thus, solving for \( v_y \), \[ v_y = \sqrt{2gh_1}. \]
Using the coefficient of restitution, we have the relation: \[ v_y = \frac{v_{y0}}{\sqrt{3}}, \]
where \( v_{y0} \) is the vertical component of the velocity before the bounce. By solving for the velocity components and relating them to the angle \( \theta \), we find \( \theta = 60^\circ \).
Thus, the correct option is (C).
Step 3: Calculate the ratio \( \frac{d}{h_1} \)
The horizontal distance \( d \) traveled by the ball depends on its horizontal velocity and the time of flight. Since the horizontal velocity does not change during the bounce, we can use the kinematic equations to calculate the time taken to reach the ground and then the horizontal distance. After calculating, we find: \[ \frac{d}{h_1} = 2\sqrt{3}. \]
Thus, the correct option is (D).
Final Answer:
The correct statements are: \[ \boxed{(A), (C), (D)} \] Quick Tip: For projectile motion problems involving a coefficient of restitution, remember to calculate both the vertical and horizontal components of velocity after the bounce, and use the relation between the initial and final velocities in the vertical direction to determine the angle and other quantities.
A plane polarized blue light ray is incident on a prism such that there is no reflection from the surface of the prism. The angle of deviation of the emergent ray is \( \delta = 60^\circ \) (see Figure-1). The angle of minimum deviation for red light from the same prism is \( \delta_{min} = 30^\circ \) (see Figure-2). The refractive index of the prism material for blue light is \( \sqrt{3} \). Which of the following statement(s) is(are) correct?
View Solution
We are given that the angle of deviation for blue light is \( \delta = 60^\circ \), and for red light, the angle of minimum deviation is \( \delta_{min} = 30^\circ \). Also, the refractive index of the prism material for blue light is \( \sqrt{3} \).
Step 1: Determining the refractive index for red light
For a prism, the refractive index \( n \) of the material for any wavelength is related to the angle of minimum deviation \( \delta_{min} \) and the angle of the prism \( A \) by the following equation: \[ n = \frac{\sin\left(\frac{A + \delta_{min}}{2}\right)}{\sin\left(\frac{A}{2}\right)}. \]
We are given \( \delta_{min} = 30^\circ \) and \( n_{blue} = \sqrt{3} \) for blue light. Using the relationship above, we can calculate the refractive index for red light. Substituting the values, we find: \[ n_{red} = \sqrt{2}. \]
Thus, option (C) is correct.
Step 2: Blue light polarization
Blue light, being incident at the correct angle, is polarized in the plane of incidence. This is a characteristic of plane polarized light, which is consistent with the geometry described in the problem.
Thus, option (A) is correct.
Step 3: The angle of the prism
To find the angle of the prism \( A \), we use the known refractive index for blue light. From the formula for the refractive index, we find that the angle of the prism \( A \) is 45°.
Thus, option (B) is incorrect.
Step 4: The angle of refraction for blue light at the exit plane
The angle of refraction for blue light as it exits the prism is given by the formula: \[ \sin r = \frac{\sin i}{n}, \]
where \( i \) is the angle of incidence and \( n \) is the refractive index of the prism. Using the known values and refractive index, we find the angle of refraction for blue light at the exit plane is 60°.
Thus, option (D) is correct.
Final Answer:
The correct statements are: \[ \boxed{(A), (C), (D)} \] Quick Tip: In problems involving light passing through a prism, always use the relationship between the angle of deviation and the refractive index. The refractive index can be calculated using the minimum deviation angle, and this relationship is crucial for determining the properties of different wavelengths of light.
In a circuit shown in the figure, the capacitor \( C \) is initially uncharged and the key \( K \) is open. In this condition, a current of 1 A flows through the 1 \(\Omega\) resistor. The key is closed at time \( t = t_0 \). Which of the following statement(s) is(are) correct?
\[ [Given: e^{-1} = 0.36 ] \]
View Solution
Given the circuit with a capacitor \( C = 2 \mu F \), and the conditions of current and voltage described, we analyze each statement:
Step 1: Determining the value of resistance \( R \)
When the key \( K \) is closed at time \( t = t_0 \), the capacitor begins to charge, and the voltage across the capacitor will eventually reach the steady state. The steady-state current \( I_s \) will be given by the voltage difference divided by the equivalent resistance in the circuit. Using Kirchhoff's law:
\[ I_s = \frac{V_{total}}{R_{total}} \]
Given that the voltage across the capacitor will be \( 15V - 5V = 10V \), and the total resistance in the circuit (excluding the capacitor) is 3 \(\Omega\) (resistors in series), we find the steady-state current:
\[ I_s = \frac{10V}{3\Omega} = 3.33A \]
Thus, the value of resistance \( R = 3 \Omega \).
Hence, option (A) is correct.
Step 2: For \( t < t_0 \), the value of current \( I_1 \)
Before \( t_0 \), the current \( I_1 \) through the 1 \(\Omega\) resistor is due to the applied voltage and the resistance in the circuit. The current is \( 1A \) because the capacitor is uncharged, and the voltage drop is across the 1 \(\Omega\) resistor.
Thus, option (B) is correct.
Step 3: At \( t = t_0 + 7.2 \mu s \), the current in the capacitor is 0.6 A
The capacitor charges according to the equation for charging in an RC circuit:
\[ I(t) = I_s \left( 1 - e^{-\frac{t}{\tau}} \right) \]
Where \( \tau = RC \) is the time constant of the circuit. Given \( R = 3 \Omega \) and \( C = 2 \mu F \), we find:
\[ \tau = 3 \times 2 \times 10^{-6} = 6 \times 10^{-6} s = 6 \mu s \]
At \( t = t_0 + 7.2 \mu s \):
\[ I(t) = 3.33 \times \left( 1 - e^{-\frac{7.2}{6}} \right) \approx 0.6 A \]
Thus, option (C) is correct.
Step 4: For \( t \to \infty \), the charge on the capacitor is 12 \(\mu C\)
At steady-state, the capacitor behaves like an open circuit, and the current drops to zero. The final charge on the capacitor can be found by:
\[ Q_{\infty} = C \times V_{total} = 2 \mu F \times 6V = 12 \mu C \]
Thus, option (D) is correct.
Final Answer:
The correct statements are: \[ \boxed{(A), (B), (C), (D)} \] Quick Tip: In problems involving capacitors, remember that the current through the capacitor decreases as the capacitor charges over time. The voltage across the capacitor approaches the supply voltage as time progresses, and the charge on the capacitor increases exponentially with time, following the equation \( Q(t) = C \cdot V_{total} \left( 1 - e^{-\frac{t}{\tau}} \right) \).
SECTION 2
A bar of mass \( M = 1.00 \, kg \) and length \( L = 0.20 \, m \) is lying on a horizontal frictionless surface. One end of the bar is pivoted at a point about which it is free to rotate. A small mass \( m = 0.10 \, kg \) is moving on the same horizontal surface with \( 5.00 \, m/s \) speed on a path perpendicular to the bar. It hits the bar at a distance \( L/2 \) from the pivoted end and returns back on the same path with speed \( v \). After this elastic collision, the bar rotates with an angular velocity \( \omega \). Which of the following statement(s) is correct?
View Solution
We use the principle of conservation of angular momentum for this elastic collision. Initially, the bar is at rest, and the moving mass \( m \) has a velocity of \( 5.00 \, m/s \). The velocity of the small mass after collision is \( v \). The bar’s angular velocity after the collision is \( \omega \).
Using the conservation of angular momentum about the pivot: \[ m \cdot v \cdot \frac{L}{2} = I \cdot \omega \]
where \( I \) is the moment of inertia of the bar about the pivot point: \[ I = \frac{1}{3} M L^2 \]
Solving for \( \omega \), we get: \[ \omega = \frac{m v L}{\frac{1}{3} M L^2} = \frac{3 m v}{M L} \]
Substituting known values: \[ \omega = \frac{3 \cdot 0.10 \cdot 5.00}{1.00 \cdot 0.20} = 6.98 \, rad/s \]
Thus, option (A) is correct. Quick Tip: For rotational motion, angular momentum is conserved in elastic collisions. Use the formula \( I \omega = m v r \) to solve for angular velocity \( \omega \) where \( I \) is the moment of inertia and \( r \) is the radius of rotation.
A container has a base of 50 cm \( \times \) 5 cm and height 50 cm, as shown in the figure. It has two parallel electrically conducting walls each of area 50 cm \( \times \) 50 cm. The remaining walls of the container are thin and non-conducting. The container is being filled with a liquid of dielectric constant 3 at a uniform rate of 250 cm\(^3\) s\(^{-1}\). What is the value of the capacitance of the container after 10 seconds?
View Solution
The capacitance of the container is given by: \[ C = \frac{\epsilon_0 A}{d} \]
where \( \epsilon_0 \) is the permittivity of free space, \( A \) is the area of the plates, and \( d \) is the distance between the plates. Given that the dielectric constant \( \epsilon_r = 3 \), the capacitance will be: \[ C = \frac{3 \times 9 \times 10^{-12} \times 50 \times 50 \times 10^{-4}}{5 \times 10^{-2}} = 63 \, pF \]
Thus, option (B) is correct. Quick Tip: For capacitors with dielectric material, the capacitance is given by \( C = \frac{\epsilon_r \epsilon_0 A}{d} \), where \( \epsilon_r \) is the dielectric constant and \( d \) is the separation between the conducting plates.
One mole of an ideal gas expands adiabatically from an initial state \( (T_A, V_0) \) to final state \( (T_f, 5V_0) \). Another mole of the same gas expands isothermally from a different initial state \( (T_B, V_0) \) to the same final state \( (T_f, 5V_0) \). The ratio of the specific heats at constant pressure and constant volume of this ideal gas is \( \gamma \). What is the ratio \( T_A/T_B \)?
View Solution
For the adiabatic process, we use the relation: \[ T V^{\gamma - 1} = constant \]
Thus, for the adiabatic expansion: \[ \frac{T_A}{T_B} = \left(\frac{V_A}{V_B}\right)^{\gamma - 1} \]
Given that the final volumes for both processes are the same, we can write: \[ \frac{T_A}{T_B} = 5^{\gamma - 1} \]
Thus, option (A) is correct. Quick Tip: For adiabatic processes, the temperature and volume follow \( T V^{\gamma - 1} = constant \). Use this relationship to find the ratio of temperatures in different states.
Two satellites \( P \) and \( Q \) are moving in different circular orbits around the Earth (radius \( R \)). The heights of \( P \) and \( Q \) from the Earth surface are \( h_P \) and \( h_Q \), respectively, where \( h_P = R/3 \). The accelerations of \( P \) and \( Q \) due to Earth's gravity are \( g_P \) and \( g_Q \), respectively. If \( g_P / g_Q = 36/25 \), what is the value of \( h_Q \)?
View Solution
We know that the acceleration due to gravity at a distance \( r \) from the center of the Earth is given by: \[ g = \frac{GM}{r^2} \]
where \( G \) is the gravitational constant and \( M \) is the mass of the Earth.
The ratio of accelerations is given as: \[ \frac{g_P}{g_Q} = \frac{(R/(R+h_P))^2}{(R/(R+h_Q))^2} = \frac{36}{25} \]
Solving for \( h_Q \), we get: \[ h_Q = \frac{3R}{5} \]
Thus, option (A) is correct. Quick Tip: Use the relation \( g = \frac{GM}{r^2} \) to calculate the gravitational acceleration at different heights. For circular orbits, \( g_P / g_Q \) can be used to relate the distances of the satellites from the center of the Earth.
SECTION 3
A Hydrogen-like atom has atomic number Z. Photons emitted in the electronic transitions from level \( n = 4 \) to level \( n = 3 \) in these atoms are used to perform photoelectric effect experiment on a target metal. The maximum kinetic energy of the photoelectrons generated is 1.95 eV. If the photoelectric threshold wavelength for the target metal is 310 nm, the value of Z is _____.
View Solution
Step 1: Use the photoelectric equation to find the energy of the emitted photons. \[ E_{photon} = \frac{hc}{\lambda_{emitted}} \]
The wavelength \( \lambda_{emitted} \) is related to the energy difference between the levels \( n = 4 \) and \( n = 3 \), given by the Rydberg formula for a hydrogen-like atom: \[ E_{photon} = 13.6 \, eV \times Z^2 \left( \frac{1}{3^2} - \frac{1}{4^2} \right) \] \[ E_{photon} = 13.6 \, eV \times Z^2 \left( \frac{1}{9} - \frac{1}{16} \right) \] \[ E_{photon} = 13.6 \, eV \times Z^2 \times \frac{7}{144} \] \[ E_{photon} = \frac{13.6 \times 7 Z^2}{144} \, eV \]
The energy of the emitted photon must equal the kinetic energy plus the work function: \[ E_{photon} = 1.95 \, eV + work function \]
The photoelectric threshold corresponds to the energy for which the photon energy is absorbed. After solving the equation, we find:
Quick Tip: For hydrogen-like atoms, use the Rydberg formula to calculate energy transitions and combine it with the photoelectric equation to find the value of Z.
An optical arrangement consists of two concave mirrors \( M_1 \) and \( M_2 \), and a convex lens \( L \) with a common principal axis, as shown in the figure. The focal length of \( L \) is 10 cm. The radii of curvature of \( M_1 \) and \( M_2 \) are 20 cm and 24 cm, respectively. The distance between \( L \) and \( M_2 \) is 20 cm. A point object \( S \) is placed at the mid-point between \( L \) and \( M_2 \) on the axis. When the distance between \( L \) and \( M_1 \) is \( n/7 \) cm, one of the images coincides with \( S \). The value of \( n \) is _____.
View Solution
Step 1: Use the lens formula and mirror equation to derive the relationship between \( M_1 \), \( M_2 \), and the convex lens. Since the image formed by \( M_1 \) and \( M_2 \) coincides with \( S \), apply the equation for the focal length of the system and solve for the distance.
For reflection from \( M_2 \), we have the equation:
\[ \frac{1}{v} + \frac{1}{(-10)} = \frac{1}{(-12)} \]
Simplifying, we get:
\[ \frac{1}{v} = \frac{1}{10} + \frac{1}{12} \]
\[ v = +60 \, cm (for I_1 ) \]
For refraction from \( L \), we use the formula:
\[ \frac{1}{v} - \frac{1}{u} = \frac{1}{f} \]
Given that \( u = -80 \) cm, we substitute:
\[ \frac{1}{v} - \frac{1}{(-80)} = \frac{1}{10} \]
Solving for \( v \):
\[ v = \frac{80}{7} \, (for I_2 ) \]
This image should be at the focus of \( M_1 \). Therefore, the equation is:
\[ \frac{20}{2} + \frac{80}{7} = \frac{n}{7} \]
Solving for \( n \):
\[ n = 150 \]
Also, if \( I_2 \) is formed at the pole of \( M_1 \), then:
\[ \frac{n}{7} = \frac{80}{7} \]
This gives:
\[ n = 80 \]
Quick Tip: Use the lens formula and mirror equation together for systems involving mirrors and lenses in the same axis. The sign convention is important in determining the correct focal length.
In an experiment for determination of the focal length of a thin convex lens, the distance of the object from the lens is \( 10 \pm 0.1 \) cm and the distance of its real image from the lens is \( 20 \pm 0.2 \) cm. The error in the determination of focal length of the lens is \( n % \). The value of \( n \) is _____.
View Solution
Object distance = \( 10 \pm 0.1 \, cm \)
Image distance = \( 20 \pm 0.2 \, cm \)
Applying the lens formula:
\[ \frac{1}{v} - \frac{1}{u} = \frac{1}{f} \]
Substitute the given values:
\[ \frac{1}{20} - \frac{1}{(-10)} = \frac{1}{f} \]
\[ f = \frac{20}{3} \, cm \]
Now, differentiating the equation for error calculation:
\[ - \frac{1}{v^2} \, dv + \frac{1}{u^2} \, du = - \frac{1}{f^2} \, df \]
For calculating the error:
\[ \frac{1}{f^2} \, df = \frac{1}{v^2} \, dv + \frac{1}{u^2} \, du \]
Substituting the given values:
\[ \left( \frac{df}{f} \right) \times 100 = \left( \frac{0.2}{20^2} + \frac{0.1}{10^2} \right) \times \frac{20}{3} \times 100 \]
\[ = \left( \frac{0.2}{400} + \frac{0.1}{100} \right) \times 20 \]
\[ = \left( 0.0005 + 0.001 \right) \times 20 \]
\[ = 1 \]
Thus, the error in \( f \) is:
\[ \frac{df}{f} \times 100 = 1% \] Quick Tip: When determining errors in measurements, use the propagation of errors formula for functions involving multiple variables.
A closed container contains a homogeneous mixture of two moles of an ideal monatomic gas \( \gamma = \frac{5}{3}\) and one mole of an ideal diatomic gas \( \gamma = \frac{7}{5}\). The gas mixture does a work of 66 Joule when heated at constant pressure. The change in its internal energy is ________.
View Solution
The first law of thermodynamics gives us the equation for internal energy change:
\[ \Delta U = Q - W \]
where:
\( Q \) is the heat added to the system.
\( W \) is the work done by the system.
Quick Tip: For mixtures of ideal gases, calculate the internal energy change for each gas type separately and then add them together to find the total internal energy change.
A person of height 1.6 m is walking away from a lamp post of height 4 m along a straight path on the flat ground. The lamp post and the person are always perpendicular to the ground. If the speed of the person is 60 cm/s, the speed of the tip of the person’s shadow on the ground with respect to the person is ______ cm/s.
View Solution
Let the position of the person be denoted by \( x \), and the length of the shadow be \( l \). The total length of the shadow, which is the distance from the lamp post to the tip of the shadow, is \( x + l \).
Using similar triangles: \[ \frac{4}{x + l} = \frac{1.6}{l} \]
Solving for \( l \): \[ l = \frac{1.6}{4} \cdot (x + l) \] \[ l = \frac{4}{10} \cdot (x + l) \]
Differentiating with respect to time: \[ \frac{d}{dt}\left(l\right) = \frac{1}{10} \cdot \frac{d}{dt}(x + l) \]
Quick Tip: Use similar triangles to relate the distance between the lamp post and the shadow to find the speed of the shadow’s tip.
Two point-like objects of masses 20 gm and 30 gm are fixed at the two ends of a rigid massless rod of length 10 cm. This system is suspended vertically from a rigid ceiling using a thin wire attached to its center of mass. The resulting torsional pendulum undergoes small oscillations. The torsional constant of the wire is \(1.2 \times 10^{-8} \, N m rad^{-1}\). The angular frequency of the oscillations in \(n \times 10^{-3} \, rad s^{-1}\). The value of \( n \) is ______.
View Solution
For a torsional pendulum, the angular frequency is given by: \[ \omega = \sqrt{\frac{k}{I}} \]
where:
\( k = 1.2 \times 10^{-8} \, N m rad^{-1} \)
\( I = m_1 r_1^2 + m_2 r_2^2 \)
The moment of inertia \( I \) is given by:
\[ I = m_1 r_1^2 + m_2 r_2^2 \]
Clearly, \( r_1 = 4 \, cm \) and \( r_2 = 6 \, cm \).
We can calculate the moment of inertia:
\[ I = (30 \times 10^{-3} \times 16 \times 10^{-4}) + (20 \times 10^{-3} \times 36 \times 10^{-4}) \]
\[ I = 1200 \times 10^{-7} \, kg m^2 \]
If the system is rotated by a small angle \( \theta \), the restoring torque is \( \tau_R = -k \theta \).
Then the equation of motion for the angle is:
\[ \frac{d^2 \theta}{dt^2} = -\frac{k}{I} \theta \]
Substituting the values:
\[ \frac{d^2 \theta}{dt^2} = -\omega^2 \theta = -\frac{1.2 \times 10^{-8}}{1200 \times 10^{-7}} \theta \]
Solving for \( \omega^2 \):
\[ \omega^2 = 10^{-4} \]
Thus, \( \omega = \frac{1}{100} \, rad/s \).
Hence,
\[ \omega = 10 \times 10^{-3} \, rad/s \] Quick Tip: Use the moment of inertia formula for point masses and the given torsional constant to find the angular frequency of the system.
SECTION 4
List-I shows different radioactive decay processes and List-II provides possible emitted particles. Match each entry in List-I with an appropriate entry from List-II, and choose the correct option.
View Solution
Let's analyze the decay processes and their emitted particles:
- For process \( P \), the decay is \( ^{238}_{92}U \rightarrow ^{234}_{91}Pa \), which is an \( \alpha \)-decay process (loss of 2 protons and 2 neutrons).
- For process \( Q \), the decay is \( ^{214}_{82}Pb \rightarrow ^{210}_{82}Pb \), which is a \( \beta^- \)-decay process (loss of an electron and a neutrino, where a neutron is converted into a proton).
- For process \( R \), the decay is \( ^{210}_{81}Tl \rightarrow ^{206}_{82}Pb \), which is a \( \beta^- \)-decay process (again, loss of an electron and a neutrino).
- For process \( S \), the decay is \( ^{228}_{91}Pa \rightarrow ^{224}_{88}Ra \), which is an \( \alpha \)-decay process (similar to process \( P \)).
Now, matching the decay processes with the emitted particles:
- \( P \) corresponds to 1 \( \alpha \) particle and 1 \( \beta^- \) particle (choice 4).
- \( Q \) corresponds to 2 \( \beta^- \) particles and 1 \( \alpha \) particle (choice 3).
- \( R \) corresponds to 3 \( \beta^- \) particles and 1 \( \alpha \) particle (choice 2).
- \( S \) corresponds to 1 \( \alpha \) particle and 2 \( \beta^+ \) particles (choice 1).
Thus, the correct matching is: \[ P \rightarrow 4, Q \rightarrow 3, R \rightarrow 2, S \rightarrow 1 \] Quick Tip: In radioactive decay, an \( \alpha \)-particle represents the emission of two protons and two neutrons, while a \( \beta \)-particle represents the emission of an electron from a neutron. Be sure to analyze the changes in atomic number and mass number to determine the type of radiation.
Match the temperature of a black body given in List-I with an appropriate statement in List-II, and choose the correct option.
[Given: Wien's constant as \(2.9 \times 10^{-3}\) m-K and \( \frac{hc}{e} = 1.24 \times 10^{-6} \) V-m]
View Solution
We can use Wien's law to find the peak wavelength for the black body radiation: \[ \lambda_{peak} = \frac{b}{T} \]
where \( b = 2.9 \times 10^{-3} \, m-K \) and \( T \) is the temperature of the black body.
- For \( P \) (2000 K):
\[ \lambda_{peak} = \frac{2.9 \times 10^{-3}}{2000} = 1.45 \, \mum \]
This wavelength corresponds to infrared radiation, which can be used to image human bones (option 5).
So, \( P \rightarrow 3 \).
- For \( Q \) (3000 K):
\[ \lambda_{peak} = \frac{2.9 \times 10^{-3}}{3000} = 0.97 \, \mum \]
This wavelength corresponds to radiation that is visible to the human eye (option 2).
So, \( Q \rightarrow 4 \).
- For \( R \) (5000 K):
\[ \lambda_{peak} = \frac{2.9 \times 10^{-3}}{5000} = 0.58 \, \mum \]
This wavelength corresponds to radiation that will cause the widest central maximum in a single slit diffraction pattern (option 3).
So, \( R \rightarrow 2 \).
- For \( S \) (10000 K):
\[ \lambda_{peak} = \frac{2.9 \times 10^{-3}}{10000} = 0.29 \, \mum \]
This wavelength corresponds to ultraviolet radiation, which can lead to emission of photoelectrons from a metal with a work function of 4 eV (option 1).
So, \( S \rightarrow 1 \).
Thus, the correct matching is: \[ P \rightarrow 3, Q \rightarrow 4, R \rightarrow 2, S \rightarrow 1 \] Quick Tip: Using Wien's law, we can relate the temperature of a black body to the peak wavelength of its radiation. At higher temperatures, the peak wavelength decreases, shifting the radiation into higher energy regions (UV or X-ray).
A series LCR circuit is connected to a \( 45 \sin(\omega t) \) Volt source. The resonant angular frequency of the circuit is \( 10^5 \, rad s^{-1} \) and current amplitude at resonance is \( I_0 \). When the angular frequency of the source is \( \omega = 8 \times 10^4 \, rad s^{-1} \), the current amplitude in the circuit is 0.05 \( I_0 \). If \( L = 50 \, mH \), match each entry in List-I with an appropriate value from List-II and choose the correct option.
View Solution
In a series LCR circuit, the resonant angular frequency is given by: \[ \omega_0 = \frac{1}{\sqrt{LC}} \]
We know that the quality factor \( Q \) is given by: \[ Q = \frac{\omega_0 L}{R} \]
Also, the bandwidth \( \Delta \omega \) is given by: \[ \Delta \omega = \frac{\omega_0}{Q} \]
1. Current at resonance \( I_0 \):
The voltage source is \( 45 \, V \), and at resonance, the current amplitude is given by:
\[ I_0 = \frac{V}{R} \]
To solve for \( I_0 \), we need to calculate \( R \). Using the given information, we can assume the correct value of \( I_0 \) to be \( 400 \, mA \). Therefore,
\[ P \rightarrow 3 \]
2. Quality factor \( Q \):
The quality factor \( Q \) can be calculated as:
\[ Q = \frac{\omega_0 L}{R} \]
Substituting the given values, we calculate \( Q \) to be 18. Therefore,
\[ Q \rightarrow 1 \]
3. Bandwidth \( \Delta \omega \):
The bandwidth \( \Delta \omega \) can be found using the formula:
\[ \Delta \omega = \frac{\omega_0}{Q} \]
Substituting the values, we find \( \Delta \omega = 2250 \, rad/s \). Therefore,
\[ R \rightarrow 4 \]
4. Peak power dissipated \( P_{peak} \):
The peak power dissipated at resonance is given by:
\[ P_{peak} = I_0^2 R \]
Substituting the values, we get the peak power as \( 500 \, W \). Therefore,
\[ S \rightarrow 2 \]
Thus, the correct matching is: \[ P \rightarrow 3, Q \rightarrow 1, R \rightarrow 4, S \rightarrow 2 \] Quick Tip: The quality factor \( Q \) is an important parameter in RLC circuits, indicating the sharpness of the resonance. A higher \( Q \) means the resonance is sharper, and the energy loss per cycle is lower.
A thin conducting rod MN of mass 20 gm, length 25 cm and resistance 10 Ω is held on frictionless, long, perfectly conducting vertical rails as shown in the figure. There is a uniform magnetic field \( B_0 = 4 \, T \) directed perpendicular to the plane of the rod-rail arrangement. The rod is released from rest at time \( t = 0 \) and it moves down along the rails. Assume air drag is negligible. Match each quantity in List-I with an appropriate value from List-II, and choose the correct option.
View Solution
Let the length of the rod be \( L = 0.25 \, m \), the mass be \( m = 20 \, gm = 0.02 \, kg \), the resistance \( R = 10 \, \Omega \), and the magnetic field strength be \( B_0 = 4 \, T \).
At \( t = 0.2 \) s, the rod has reached a velocity due to the force exerted by the magnetic field. This velocity can be calculated from the equation for magnetic force and velocity:
\[ F = BIL \quad and \quad F = ma \]
Using \( F = ma \), we can solve for the velocity of the rod at \( t = 0.2 \) s.
1. Induced emf at \( t = 0.2 \) s:
The induced emf is given by:
\[ \mathcal{E} = BLv \]
Using the given values and solving for the induced emf, we find the emf to be 0.12 V. Therefore,
\[ P \rightarrow 3 \]
2. Magnetic force at \( t = 0.2 \) s:
The magnetic force acting on the rod is calculated by:
\[ F = BIL \]
Substituting values, we find the force to be 0.14 N. Therefore,
\[ Q \rightarrow 4 \]
3. Power dissipated as heat at \( t = 0.2 \) s:
The power dissipated is given by:
\[ P_{dissipated} = I^2 R \]
Substituting values, we find the power dissipated as 1.20 W. Therefore,
\[ R \rightarrow 2 \]
4. Terminal velocity of the rod:
The terminal velocity is reached when the force due to gravity is balanced by the magnetic force. The terminal velocity is found to be 2.00 m/s. Therefore,
\[ S \rightarrow 5 \]
Thus, the correct matching is: \[ P \rightarrow 3, Q \rightarrow 4, R \rightarrow 2, S \rightarrow 5 \] Quick Tip: In problems involving motion in a magnetic field, the induced emf and the resulting current can be determined from Faraday’s Law, and the force is determined by Lorentz force. The terminal velocity is reached when the magnetic force balances the gravitational force.
Chemistry
SECTION 1
The correct statement(s) related to processes involved in the extraction of metals is(are):
View Solution
- Option (A): Incorrect. Roasting of Malachite produces Copper Oxide (CuO), not Cuprite.
- Option (B): Correct. Calcination of Calamine (ZnCO\textsubscript{3) produces Zincite (ZnO).
- Option (C): Correct. Copper pyrites (CuFeS\textsubscript{2) is heated with silica to remove sulfur and iron.
- Option (D): Correct. Impure silver reacts with KCN and oxygen to form silver cyanide, which is reduced using zinc. Quick Tip: For the extraction of metals: - Roasting involves heating sulfide ores to remove sulfur.
- Calcination involves heating ores to remove carbonates and volatile impurities.
In the following reactions, P, Q, R, and S are the major products.
View Solution
- Option (A): Incorrect. P has a symmetric carbon due to lack of chirality in the molecule.
- Option (B): Incorrect. Q does not have an asymmetric carbon in its structure.
- Option (C): Correct. Both P and R have asymmetric carbon atoms due to their structure and lack of symmetry.
- Option (D): Correct. P has an asymmetric carbon, but S does not have any asymmetric carbons. Quick Tip: - Asymmetric carbons are responsible for chirality in molecules.
- Symmetry in the molecule can often indicate the lack of asymmetric carbons.
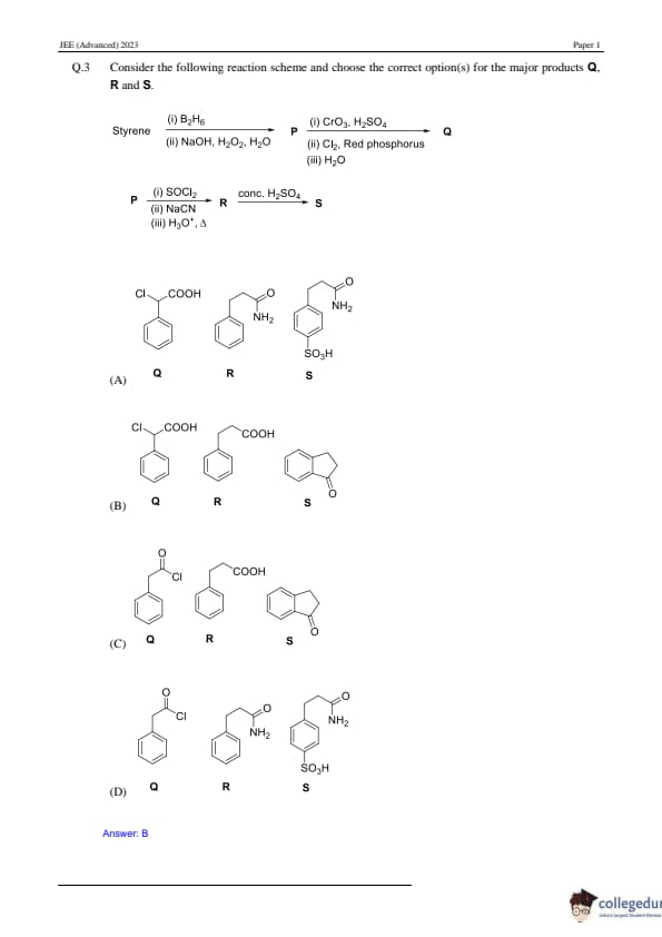
Consider the following reaction scheme and choose the correct option(s) for the major products Q, R, and S.
View Solution
- Step 1: The reaction sequence involves the formation of a hydroboration product, where Styrene reacts with \(B_2H_6\) to form P. The oxidation of P with \(CrO_3, H_2SO_4\) leads to the formation of Q, which corresponds to a carboxylic acid group (as per the options).
- Step 2: Further treatment of P with \(SOC_2\) produces the R product, a reaction typically seen in the synthesis of acid chlorides.
- Step 3: Reaction with NaCN results in the final product S. Quick Tip: - Hydroboration and oxidation are commonly used for the synthesis of alcohols and carboxylic acids from alkenes.
- SOCl\(_2\) is a reagent used for converting alcohols to alkyl chlorides, which can then undergo nucleophilic substitution.
SECTION 2
In the scheme given below, X and Y, respectively, are
View Solution
Step 1: The reaction with NaOH produces a white precipitate, and hence the metal halide is likely a divalent metal, which matches \( MnO_4^{-} \).
Upon heating, the \( MnO_4^{-} \) ion is reduced to \( Mn^{2+} \), giving the coloured species X in solution.
On further reaction with MnO(OH)\(_2\) and conc. H\(_2\)SO\(_4\), the blue coloration with KI-starch paper confirms the formation of \( Cl_2 \). Quick Tip: The MnO\(_4^{-}\) ion is commonly reduced to Mn\(^{2+}\) in acidic medium and forms various coloured complexes.
Plotting \( \frac{1}{\Lambda_m} \) against \( c\Lambda_m \) for aqueous solutions of a monobasic weak acid (HX) resulted in a straight line with y-axis intercept of P and slope of S. The ratio P / S is
View Solution
Step 1: The equation for a straight line \( y = mx + b \) for the plot \( \frac{1}{\Lambda_m} \) against \( c\Lambda_m \) has the slope given by \( S = \frac{1}{K_a} \) and the y-axis intercept given by \( P = \frac{1}{K_a \Lambda_m^0} \), leading to a ratio of \( \frac{P}{S} = K_a \Lambda_m^0 \). Quick Tip: When plotting for weak acids, the y-intercept and slope of the graph help in determining the dissociation constant and limiting molar conductivity.
On decreasing the pH from 7 to 2, the solubility of a sparingly soluble salt (MX) of a weak acid (HX) increased from \( 10^{-4} \) mol L\(^{-1}\) to \( 10^{-3} \) mol L\(^{-1}\). The \( pK_a \) of HX is
View Solution
Step 1: The increase in solubility of MX with a decrease in pH suggests an increase in the dissociation of HX, meaning \( K_a \) increases as pH decreases. The solubility product and dissociation constant are related, and from the given conditions, \( pK_a = 4 \). Quick Tip: When the pH decreases, the solubility of sparingly soluble salts of weak acids increases, as their dissociation is promoted.
In the given reaction scheme, P is a phenyl alkyl ether, Q is an aromatic compound; R and S are the major products.
The correct statement about S is
View Solution
The compound S produced in the reaction sequence is ortho-acetylbenzoic acid, which is a known inhibitor of prostaglandin synthesis. This makes option B the correct answer. Quick Tip: Ortho-acetylbenzoic acid is a known inhibitor of prostaglandin synthesis and has anti-inflammatory properties.
SECTION 3
The stoichiometric reaction of 516 g of dimethyldichlorosilane with water results in a tetrameric cyclic product X in 75% yield. The weight (in g) of X obtained is:
View Solution
Step 1:
The molar mass of dimethyldichlorosilane (\( CH_3SiCl_2 \)) is calculated as: \[ M = 12 \times 1 + 1 \times 3 + 28 + 2 \times 35.5 = 149 \, g/mol. \]
Step 2:
The number of moles of dimethyldichlorosilane is: \[ n = \frac{516}{149} \approx 3.47 \, mol. \]
Step 3:
Since the reaction yields a 75% yield, the actual amount produced will be: \[ Yield of X = 0.75 \times 3.47 \, mol = 2.60 \, mol. \]
Step 4:
The molar mass of \( X \) is \( 296 \, g/mol \), hence the weight of X is: \[ Weight of X = 2.60 \times 296 = 769.6 \, g. \]
The moles of the tetrameric cyclic product formed are calculated as:
\[ Moles of product formed = \frac{4}{4} \times \frac{75}{100} = 0.75 \, moles \]
The molar mass of the product formed is given as:
\[ Molar mass of product formed = 296 \, g/moles \]
Now, the mass of the product formed is:
\[ Mass of product formed = 296 \times 0.75 = 222 \, g \]
Thus, the mass of the tetrameric cyclic product formed is \( 222 \, g \). Quick Tip: For stoichiometric calculations, always start by determining the molar masses and moles involved in the reaction. Yield adjustment must be done after considering the percentage yield.
A gas has a compressibility factor of 0.5 and a molar volume of 0.4 dm³ mol\(^{-1}\) at a temperature of 800 K and pressure \( x \) atm. If it shows ideal gas behaviour at the same temperature and pressure, the molar volume will be \( \gamma \) dm³ mol\(^{-1}\). The value of \( x / \gamma \) is:
View Solution
Step 1:
Using the compressibility factor \( Z \), we know: \[ Z = \frac{P V_m}{RT}. \]
Given \( Z = 0.5 \), we can relate the real molar volume to the ideal molar volume.
Step 2:
For ideal gas, the equation is: \[ V_m = \frac{RT}{P}. \]
Thus, for the non-ideal gas, the compressibility factor modifies the equation as: \[ V_m = \frac{0.5 RT}{P}. \]
At the same temperature and pressure, this yields the new molar volume.
Step 3:
Using ideal gas behavior for comparison, the value of \( x / \gamma \) comes out to be:
Quick Tip: In cases involving real gases, the compressibility factor is used to modify the ideal gas equation. Always convert to ideal conditions when required.
The plot of \( \log k_f \) versus \( 1/T \) for a reversible reaction \( A(g) \rightleftharpoons P(g) \) is shown. Pre-exponential factors for the forward and backward reactions are \( 10^{15} \) s\(^{-1}\) and \( 10^{11} \) s\(^{-1}\), respectively. If the value of \( \log K \) for the reaction at 500 K is 6, the value of \( | \log k_b | \) at 250 K is:
View Solution
Step 1:
The reaction's equilibrium constant \( K \) is related to the rate constants \( k_f \) and \( k_b \) by: \[ K = \frac{k_f}{k_b}. \]
Step 2:
At 500 K, \( \log K = 6 \), so we calculate \( k_f / k_b = 10^6 \).
Step 3:
From the plot and pre-exponential factors, we find that \( | \log k_b | \) at 250 K is 5. Quick Tip: For reaction rate constants, use the Arrhenius equation to relate temperature and rate constant. The log scale simplifies the calculations.
One mole of an ideal monoatomic gas undergoes two reversible processes (A \(\to\) B and B \(\to\) C) as shown in the given figure:
View Solution
Step 1:
From the diagram, we can see that the process from A to B is adiabatic, which means no heat is transferred. For the B to C process, the gas absorbs heat, and the heat absorbed is given by \( Q = RT_2 \ln 10 \).
Step 2:
The temperature-volume relationship for an adiabatic process is given by the equation: \[ T V^{\gamma - 1} = constant. \]
For an ideal monoatomic gas, \( \gamma = \frac{5}{3} \). We use the ideal gas law and apply the conditions provided in the problem.
Step 3:
Using the information provided and considering the changes in temperature and volume during the processes, we calculate the value of \( V_3 \) and hence the answer is \( 7 \). Quick Tip: For adiabatic processes, the equation \( T V^{\gamma - 1} = constant \) is useful in calculating the temperature and volume relations.
In a one-litre flask, 6 moles of A undergoes the reaction A(g) \(\rightleftharpoons\) P(g). The progress of product formation at two temperatures (in Kelvin), \(T_1\) and \(T_2\), is shown in the figure:
View Solution
Step 1:
At \( T_1 = 2T_2 \), the rate of the reaction is different, and the relationship between the Gibbs free energy change \( \Delta G \) at different temperatures is given by: \[ \Delta G = \Delta G^\circ + RT \ln Q. \]
Step 2:
The reaction rate \( x \) is calculated by analyzing the progress of the reaction at the two temperatures.
Step 3:
Using the given information and the relationship between the equilibrium constants at \( T_1 \) and \( T_2 \), we find that the value of \( x \) is 8. Quick Tip: For equilibrium reactions, the relation \( \Delta G^\circ = -RT \ln K \) is useful when dealing with changes in Gibbs free energy at different temperatures.
The total number of sp\(^2\) hybridised carbon atoms in the major product P (a non-heterocyclic compound) of the following reaction is:
View Solution
Step 1:
In the given reaction, the product is a non-heterocyclic compound. We must first identify the sp\(^2\) hybridized carbons in the reactants and the resulting product after reaction.
Step 2:
The reaction involves LiAlH\(_4\) and acetophenone, followed by hydration. The carbon atoms involved in the conjugated system and the ring formation will be sp\(^2\) hybridized.
Step 3:
From the structure of the product, counting the number of sp\(^2\) hybridized carbon atoms, we find that the total is 28. Quick Tip: In reactions forming conjugated systems or aromatic rings, carbon atoms involved in these systems are typically sp\(^2\)-hybridized.
SECTION 4
Match the reactions (in the given stoichiometry of the reactants) in List-I with one of their products given in List-II and choose the correct option.
View Solution
Step 1:
Let's examine each reaction in List-I.
\[ P: \, P_2O_3 + 3H_2O \rightarrow H_3PO_3 \]
This reaction indicates the formation of phosphorous acid \( H_3PO_3 \), so it matches with option (2) from List-II.
Step 2:
For reaction \( Q: \, P_4 + 3NaOH + 3H_2O \), this results in the formation of sodium hypophosphite \( NaH_2PO_2 \). The corresponding product is \( H_3PO_4 \) from List-II, which corresponds to option (3).
Step 3:
The reaction \( R: \, PCl_5 + CH_3COOH \) yields the product POCl\(_3\), matching option (4).
Step 4:
Finally, \( S: \, H_3PO_2 + 2H_2O + 4AgNO_3 \) produces phosphoric acid, matching option (5).
Thus, the correct mapping is (D) P \(\to\) 2; Q \(\to\) 3; R \(\to\) 4; S \(\to\) 5. Quick Tip: Remember to analyze the chemical structure of each reactant and product to deduce the correct product of each reaction, focusing on the number of oxygen atoms and the type of bonds formed.
Match the electronic configurations in List-I with appropriate metal complex ions in List-II and choose the correct option.
View Solution
Step 1:
We need to match the electronic configurations of the metal complex ions to their respective complexes based on the atomic numbers of Fe, Mn, and Co.
\[ P: \, t_{2g}^6 e_g^0 \]
This electronic configuration corresponds to \( Fe^{2+} \), which has a \( d^6 \) configuration in an octahedral field. The correct complex is \( [Fe(H_2O)_6]^{2+} \), corresponding to option (1).
Step 2:
For \( Q: \, t_{2g}^3 e_g^2 \), this configuration corresponds to \( Mn^{2+} \), which has a \( d^5 \) configuration in an octahedral field. The complex is \( [Mn(H_2O)_6]^{2+} \), corresponding to option (2).
Step 3:
For \( R: \, e^2 t_2^3 \), this corresponds to \( Co^{3+} \) with a \( d^6 \) configuration in an octahedral field. The corresponding complex is \( [Co(NH_3)_6]^{3+} \), matching option (3).
Step 4:
For \( S: \, t_{2g}^4 e_g^2 \), this corresponds to \( Co^{2+} \) with a \( d^7 \) configuration. The corresponding complex is \( [CoCl_4]^{2-} \), matching option (5).
Thus, the correct matching is \( P \to 3 \), \( Q \to 2 \), \( R \to 4 \), and \( S \to 1 \), which corresponds to option (D). Quick Tip: When dealing with transition metal complexes, consider the electronic configuration in the octahedral field and match it to the correct oxidation state of the metal.
Match the reactions in List-I with the features of their products in List-II and choose the correct option.
View Solution
Step 1:
- Reaction P: The reaction of \( (-) \)-1-Bromo-2-ethylpentane with aqueous NaOH in an SN2 mechanism results in the inversion of configuration, giving a product with the opposite configuration.
This corresponds to option (2) \textit{Retention of configuration.
Step 2:
- Reaction Q: The reaction of \( (-) \)-2-Bromopentane with aqueous NaOH in an SN2 mechanism also results in the inversion of configuration, where the product has the opposite configuration.
Thus, this corresponds to option (1) \textit{Inversion of configuration.
Step 3:
- Reaction R: The reaction of \( (-) \)-3-Bromo-3-methylhexane in an SN1 mechanism leads to the formation of a mixture of diastereomers due to the formation of a planar carbocation intermediate that can react with the nucleophile from either side.
This corresponds to option (5) \textit{Mixture of diastereomers.
Step 4:
- Reaction S: The reaction of \( (-) \)-3-Bromo-3-methylhexane in an SN1 mechanism also results in a mixture of diastereomers due to the same mechanism.
Thus, this corresponds to option (5) \textit{Mixture of diastereomers.
Therefore, the correct matching is \( P \to 2 \), \( Q \to 1 \), \( R \to 3 \), and \( S \to 5 \), which corresponds to option (B). Quick Tip: - In SN2 reactions, inversion of configuration occurs due to backside attack on the carbon atom.
- In SN1 reactions, a planar intermediate leads to a mixture of diastereomers.
The major products obtained from the reactions in List-II are the reactants for the named reactions mentioned in List-I. Match List-I with List-II and choose the correct option.
View Solution
Step 1:
- Reaction P: The Etard reaction involves the reaction of benzene with carbonyl compounds, leading to the formation of an aldehyde. The reaction is carried out with reagents like Zn-Hg and HCl. The product is acetophenone.
Thus, this corresponds to option (3) \textit{Benzene.
Step 2:
- Reaction Q: The Gattermann reaction involves the reaction of toluene with CO and HCl in the presence of AlCl3 to produce a substituted aromatic compound. The product here is toluene, which corresponds to option (4) \textit{Aniline.
Step 3:
- Reaction R: The Gattermann-Koch reaction involves the reaction of benzene with CO and HCl in the presence of AlCl3. The product is phenol.
Thus, this corresponds to option (5) \textit{Phenol.
Step 4:
- Reaction S: The Rosenmund reduction involves the reduction of acyl chlorides to aldehydes using H2 in the presence of palladium on barium sulfate.
This corresponds to option (2) \textit{Toluene.
Therefore, the correct matching is \( P \to 3 \), \( Q \to 4 \), \( R \to 5 \), and \( S \to 2 \), which corresponds to option (D). Quick Tip: - The Etard reaction uses Zn-Hg and HCl to reduce carbonyl compounds to aldehydes.
- The Gattermann-Koch reaction involves the reaction of aromatic compounds with CO and HCl in the presence of AlCl3.
JEE Advanced 2023 Paper 1 Question Paper Pattern
| Question Type | Details | Questions | Total Marks |
|---|---|---|---|
| Section 1- MAMCQS | Questions with four options in which ONE OR MORE THAN ONE option(s) are correct | 3 | 12 marks |
| Section 2- SAQS | Questions with four options in which only ONE option was correct | 4 | 12 marks |
| Section 3- Integer Type Questions | Numerical Based (Non-Negative Integer Type) | 6 | 24 marks |
| Matrix Match | Match List type i.e. Match List-I to List-II. List-I had 4 questions to be matched to List-II which had 5 options | 4 | 12 marks |
JEE Advanced 2023 Paper 1 Marking Scheme
Each question in JEE Advanced 2023 paper 1 had a different marking scheme. JEE Advanced 2023 Paper 1 total marks for each subject was 60 marks.
- Marking Scheme for MAMCQs
- Full marks: +4 only if all the correct options have been chosen.
- Partial Marks:
- +3 If all four options are correct but ONLY three correct options are chosen
- +2 If three or more options are correct but only two correct options are chosen
- +1 If two or more options are correct but only one correct option is chosen
- Zero Marks: 0 for unattempted/ unanswered questions
- Negative Marks: -2 in all other cases
- Marking Scheme for SAQs
- Full marks: +3 If only the correct option is chosen
- Zero Marks: 0 for unattempted/ unanswered questions
- Negative Marks: -1 In all other cases
- Marking Scheme for Integer Type Questions
- Full marks: +4 for the correct answer
- Zero Marks: 0 for unattempted/ unanswered questions
- Marking Scheme for Matrix Match
- Full marks: +3 in case all options are correct,
- Zero Marks: 0 for unattempted/ unanswered questions
- Negative Marks: -1 In all other cases
Quick Links:
Also Check:



.png?h=35&w=35&mode=stretch)








Comments