Phenols constitute an important group of compounds in organic chemistry and it is frequently asked in the JEE Advanced examination. This topic mainly concerns the chemical properties, reactions, and preparation of phenols, and their behaviour under various conditions. Knowledge of phenols is important for answering questions concerned with organic chemistry but is also significant for questions in other topics such as biochemistry and environmental chemistry, where phenolic compounds are often involved in scenarios we can relate to as humans.
The chemical and physical behavior of phenols and their derivatives make them a fundamental topic for JEE Advanced because they provide useful models for drawing conclusions regarding electrophilic aromatic substitution, resonance effects, and acids in organic compounds. This topic represents a moderate mark weight of about 3 to 4 marks, which is necessary for practicing optimal preparation.
Must Check:
JEE Advanced Previous Year Question Paper
Organic Chemistry for JEE Advanced
Organic Chemistry plays an important role in the JEE Advanced exam, covering a range of topics that are vital for a complete understanding of carbon-based compounds. This covers hydrocarbons including alkanes, alkenes, alkynes, and aromatic compounds where the basic understanding of their reactivity in context to addition, substitution, and elimination reactions is important. Another important area of study is functional groups, that of the alcohols, aldehydes, ketones, carboxylic acids, and amines. Understanding their properties, reactions, and mechanisms will be a basic familiarity which is essential to ensure you can predict reactivity in different conditions.
Organic Chemistry generally includes a significant weightage on the JEE Advanced exam. Typically 20-25% of the total marks are based on Organic Chemistry. Most questions tend to test conceptual understanding, reaction mechanisms, and functional change, thus grounding your study basis on these foundational principles will significantly enhance your chances during the exam and can help with highest overall marks.
Topic-Wise Weightage in Organic Chemistry
Organic Chemistry is an essential part of the JEE Advanced exam, with a significant number of questions being asked from this subject. Below is a breakdown of the weightage of important topics and the expected number of questions from each area in Organic Chemistry:
| Topic | Sub-Topics | Weightage (%) | Expected Number of Questions |
|---|---|---|---|
| Hydrocarbons | Alkanes, Alkenes, Alkynes, Aromatic Compounds, Reactions (Addition, Substitution, Elimination), Mechanisms (Electrophilic Substitution) | 15-20% | 3-4 |
| Functional Groups | Alcohols, Phenols, Ethers, Aldehydes, Ketones, Carboxylic Acids, Amines, Nitriles, Halides, Reaction Mechanisms (Nucleophilic Substitution, Electrophilic Addition) | 25-30% | 4-5 |
| Stereochemistry | Chirality, Optical Isomerism, Geometrical Isomerism, Cahn-Ingold-Prelog Rules, Enantiomers, Diastereomers, Racemic Mixtures | 10-12% | 2-3 |
| Reaction Mechanisms | SN1, SN2, Electrophilic Addition, Radical Mechanisms, Carbocation Stability, Rearrangements | 20-25% | 3-4 |
| Aromatic Compounds | Electrophilic Aromatic Substitution, Nitration, Sulfonation, Friedel-Crafts Reactions, Resonance Effects, Activating/Deactivating Substituents | 10-12% | 2-3 |
| Organic Synthesis and Named Reactions | Retrosynthetic Analysis, Multi-step Synthesis, Named Reactions (Grignard Reactionr>, Aldol Condensation, Wittig Reaction, etc.) | 10-15% | 2-3 |
JEE Advanced Phenol Question Trends (2014-2024)
Phenol Reactions & Concepts Asked in JEE Advanced
(A) Frequently Tested Reactions
| Reaction | Mechanism Type | JEE Advanced Years |
| Kolbe-Schmitt Reaction | Carboxylation (CO₂ + NaOH) | 2016, 2019, 2021 |
| Reimer-Tiemann Reaction | Dichlorocarbene addition | 2015, 2018, 2023 |
| Fries Rearrangement | Lewis acid (AlCl₃) migration | 2017, 2020 |
| Williamson Ether Synthesis | SN₂ (Phenol + R-X) | 2014, 2022 |
| Electrophilic Aromatic Substitution (EAS) | Bromination/Nitration | 2019, 2024 |
(B) Acidity & Comparative Questions
- Why is phenol more acidic than alcohols? (Resonance stabilization of phenoxide ion).
- Compare acidity:
- Phenol > Cyclohexanol
- p-Nitrophenol > Phenol > p-Cresol
- Effect of substituents on acidity (EWG ↑ acidity, EDG ↓ acidity).
(C) Named Reactions & Conversions
- Phenol → Aspirin (Acetylation with acetic anhydride).
- Phenol → Salicylic acid (Kolbe-Schmitt).
- Phenol → 2,4,6-Tribromophenol (EAS with Br₂).
Expected Phenol Questions for JEE Advanced 2025
High Probability Topics:
- Mechanism-based: Fries rearrangement, Kolbe-Schmitt.
- Comparative Acidity: Phenol vs. substituted phenols.
- Named Reactions: Reimer-Tiemann, Williamson ether synthesis.
- Conversion Problems: Phenol → Salicylic acid → Aspirin.
Tricky Areas:
- Ortho/para vs. meta substitution in EAS.
- Steric hindrance effects in reactions.
- Uncommon derivatives (e.g., picric acid, phenolphthalein).
To perform well in the Phenols chapter for JEE Advanced, focus on mastering the reaction mechanisms like electrophilic substitution, the acidity of phenols, and how resonance stabilizes the phenoxide ion. Pay special attention to oxidation reactions, such as the formation of quinones, and the bromination of phenols in the presence of water. Understanding the reactivity patterns of phenols, especially in Friedel-Crafts reactions and their behavior with different electrophiles, will strengthen your ability to solve complex problems. Practice questions from previous years to get a grasp on typical reaction outcomes and conditions.
Here are some of the JEE Advanced Previous Year Questions of Phenols
Question 1:
List-I contains various reaction sequences and List-II contains different phenolic compounds. Match each entry in List-I with the appropriate entry in List-II and choose the correct option.

Question 2:
In the following reaction sequence, the major product P is formed.
Glycerol reacts completely with excess P in the presence of an acid catalyst to form Q. Reaction of Q with excess NaOH followed by the treatment with CaCl2 yields Ca-soap R, quantitatively. Starting with one mole of Q, the amount of R produced in gram is ______.
[Given, atomic weight: H = 1, C = 12, N = 14, O = 16, Na = 23, Cl = 35, Ca = 40]

Question 3:
Reaction of iso-propylbenzene with \( O_2 \) followed by the treatment with \( H_3O^+ \) forms phenol and a by-product P. Reaction of P with 3 equivalents of \( Cl_2 \) gives compound Q. Treatment of Q with \( Ca(OH)_2 \) produces compound R and calcium salt S. The correct statement(s) regarding P, Q, R and S is(are)
Question 4:
An aqueous solution of hydrazine (\(N_2H_4\)) is electrochemically oxidized by \(O_2\), thereby releasing chemical energy in the form of electrical energy. One of the products generated from the electrochemical reaction is \(N_2(g)\). Choose the correct statement(s) about the above process:
Question 5. Comprehension:
An organic compound \( P \) with molecular formula \( C_9H_{18}O_2 \) decolorizes bromine water and also shows positive iodoform test. \( P \) on ozonolysis followed by treatment with \( H_2O_2 \) gives \( Q \) and \( R \). While compound \( Q \) shows positive iodoform test, compound \( R \) does not give positive iodoform test. \( Q \) and \( R \) on oxidation with pyridinium chlorochromate (PCC) followed by heating give \( S \) and \( T \), respectively. Both \( S \) and \( T \) show positive iodoform test. Complete copolymerization of 500 moles of \( Q \) and 500 moles of \( R \) gives one mole of a single acyclic copolymer \( U \). [Given, atomic mass: H = 1, C = 12, O = 16]
Question 1:
Sum of number of oxygen atoms in \( S \) and \( T \) is ____.
Question 2:
The molecular weight of \( U \) is ____.
Question 6:
The weight percentage of hydrogen in \( Q \), formed in the following reaction sequence, is ______.

Question 7:
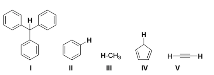
With respect to the compounds I-V, choose the correct statement(s).

Question 8:
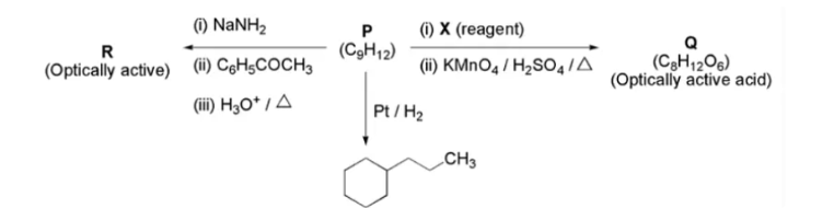
Consider the following transformations of a compound \(P\):


Question 9:
The compound that does not liberate \( \text{CO}_2 \), on treatment with aqueous sodium bicarbonate solution, is
Question 10:
(I) 1, 2-dihydroxy benzene (II) 1, 3-dihydroxy benzene (III) 1, 4-dihydroxy benzene (IV) Hydroxy benzene The increasing order of boiling points of above mentioned alcohols is
JEE Advanced Exam Pattern
The JEE Advanced exam is considered as one of the top engineering entrance examinations in India, which takes place annually for enrollment at IITs and other top institutions to undergraduate programs. JEE Advanced consists of two compulsory papers, Paper 1 and Paper 2, each with three hours of duration. It challenges students’ knowledge of Physics, Chemistry and Mathematics. The exam consists of different question types including Multiple Choice Questions (MCQs), Numerical Value-based Questions and Assertion-Reasoning questions to evaluate the foundational knowledge of topics and ability to solve problems. Both papers have a total of 180 marks, with marks deducted for incorrect answers in a few question types.
| Aspect | Details |
|---|---|
| Mode | Computer-Based Test (CBT) |
| Papers | 2 (Paper 1 & Paper 2) – Both mandatory |
| Duration | 3 hours per paper (with break between papers) |
| Total Subjects | Physics, Chemistry, Mathematics (Equal weightage) |
| Total Questions | ~54–60 (18–20 per subject, split across question types) |
| Language | English & Hindi (option to switch during exam) |
The exam is known for its challenging nature and is conducted in English and Hindi. It is essential to clear the JEE Main exam before appearing for JEE Advanced.
Marking Scheme with Question types in JEE Advanced
Here is a detailed marking scheme for different questions in JEE Advanced exam.
| Question Type | Marks per Q | Negative Marking | Examples |
|---|---|---|---|
| Single Correct MCQ | +3 | -1 | Basic theory/direct formula questions |
| Multiple Correct MCQ | +4 (full) | -2 (if all wrong) / Partial marks* | "Which of the following is/are true?" |
| Numerical Value (NV) | +3 | No negative | Calculations (e.g., wavelength) |
| Paragraph-Based | Varies (2–4) | Depends on sub-type | Linked to a common scenario |
| Match the Following | +2 per match | -1 per wrong match | Column matching (e.g., graphs) |
Partial Marks: For Multiple Correct MCQs, +1 per correct option (if not all selected).
Subject-Wise Distribution
Here is the subject wise questions distribution in the JEE Advanced exam describing number of questions in each subject.
| Subject | MCQs | Numerical | Paragraph/Matching | Total |
|---|---|---|---|---|
| Physics | 6–8 | 4–5 | 2–3 | 12–16 |
| Chemistry | 6–8 | 4–5 | 2–3 | 12–16 |
| Maths | 6–8 | 4–5 | 2–3 | 12–16 |
Subject wise Syllabus: JEE Advanced 2025
Here is a quick syllabus of JEE Advanced 2025 subject wise which helps in preparation of the students. Check JEE Advanced Syllabus for a detailed Syllabus.
| Subject | Key Topics |
|---|---|
| Physics | Mechanics, Electrodynamics, Modern Physics, Optics, Thermodynamics, Error Analysis |
| Chemistry | Physical (Thermo, Kinetics), Organic (Reactions), Inorganic (Coordination, P-Block) |
| Maths | Algebra, Calculus, Coordinate Geometry, Trigonometry, Vectors |
Note:
- Physics: Focus on Modern Physics (20% weightage) & Electrodynamics.
- Chemistry: Organic reactions & Coordination compounds are high-scoring.
- Maths: Calculus (35% weightage) is most critical.
In addition to conceptual knowledge, you should practice multiple mock tests before your exam.
Check:
JEE Advanced Chemistry Paper Analysis (2024 & Trends)
The JEE Advanced Chemistry Paper evaluates candidates on their conceptual understanding, application skills, and problem-solving abilities in Physical, Organic, and Inorganic Chemistry. The exam consists of two papers (Paper 1 & Paper 2), each lasting 3 hours and containing 15–18 questions covering the entire syllabus. Questions range from theoretical concepts to numerical problems, with an emphasis on multi-disciplinary applications.
Overview (2024)
| Aspect | Details |
|---|---|
| Total Questions | 15–18 per paper (2 papers) |
| Difficulty | Moderate to Hard (30% easy, 40% moderate, 30% difficult) |
| Question Types | Single/Multiple MCQs, Numerical Value, Paragraph-based, Match-the-Column |
| Key Focus Areas | Thermodynamics, Organic Mechanisms, Coordination Compounds, Electrochemistry |
Chapter-Wise Weightage (2024)
| Topic | Weightage | Difficulty | Remarks |
|---|---|---|---|
| Thermodynamics | 15–20% | Moderate-Hard | Focus on Gibbs free energy, Hess’s Law, and numerical applications |
| Organic Mechanisms | 18–22% | Hard | Named reactions, stereochemistry, and reaction intermediates |
| Coordination Chem | 15–18% | Moderate | Isomerism, CFSE, spectrochemical series (NCERT-based but analytical) |
| Electrochemistry | 12–15% | Moderate-Hard | Nernst equation, conductance, battery-related problems |
| Chemical Kinetics | 10–12% | Moderate | Rate laws, Arrhenius equation, mechanism-based questions |
| Periodic Table | 8–10% | Easy-Moderate | Periodic trends, anomalies (e.g., 3rd period elements) |
| Biomolecules | 5–8% | Easy | Theory-based (carbohydrates, proteins, nucleic acids) |
| P-Block Elements | 10–12% | Moderate | NCERT-focused, but application-based questions on oxides and halides |
Difficulty Trends (2019–2024)
| Year | Difficulty Level | Key Observations |
|---|---|---|
| 2024 | Moderate-Hard | Increased numerical problems, integration of multiple concepts (e.g., Thermo + Kinetics) |
| 2023 | Moderate | Balanced theory and numericals; Organic Chemistry was lengthy |
| 2022 | Hard | Heavy emphasis on Physical Chemistry calculations and complex Organic mechanisms |
| 2021 | Very Hard | Unconventional Inorganic questions, tricky coordination chemistry problems |
| 2020 | Moderate | More NCERT-aligned, straightforward Organic and Physical Chemistry questions |
Key Takeaways for 2025
- Physical Chemistry: Strengthen numerical problem-solving in Thermodynamics, Electrochemistry, and Kinetics.
- Organic Chemistry: Master reaction mechanisms, named reactions, and stereochemistry.
- Inorganic Chemistry: Focus on NCERT (especially P-Block and Coordination Compounds) with analytical applications.
- Practice: Solve previous years’ papers (2021–2024) to understand evolving patterns.
JEE Advanced Previous Year Question Papers with Detailed Solutions
JEE Advanced 2024 Question Paper Pdf with Solutions
| Paper Name | Question Paper with Solutions |
|---|---|
| JEE Advanced 2024 Paper 1 Question Paper (English) | Check Solutions |
| JEE Advanced 2024 Paper 2 Question Paper (English) | Check Solutions |
| JEE Advanced 2024 Paper 1 Question Paper (Hindi) | Check Solutions |
| JEE Advanced 2024 Paper 1 Question Paper (Hindi) | Check Solutions |
| Architecture Aptitude Test | Check Solutions |
JEE Advanced Question Paper has 4 sections- Section 1 (Maximum marks-12), Section 2 (Maximum marks-12), Section 3 (Maximum marks- 24) and Section 4 (Maximum marks-12)
JEE Advanced 2023 Question Paper PDF Download With Solutions
| Paper | Answer Key PDF |
|---|---|
| Question Paper 1 PDF | Check Solutions |
| Question Paper 2 PDF | Check Solutions |
| Question Paper AAT PDF | Check Solutions |
JEE Advanced 2022 Question Paper
| 2022 Question Paper | PDF Download |
|---|---|
| Question Paper 1 PDF | Click here |
| Question Paper 2 PDF | Click here |
JEE Advanced 2021 Question Paper
| Question Paper | PDF Download | ||
|---|---|---|---|
| Question Paper 1 PDF | Physics | Chemistry | Maths |
| Question Paper 2 PDF | Physics | Chemistry | Maths |
JEE Advanced 2020 Question Paper
| Question Paper | PDF Download |
| Question Paper 1 PDF | Click here |
| Question Paper 2 PDF | Click here |
Frequently Asked Questions (FAQs)
Q1. What are the common mistakes to be avoided while solving Alcohol, Phenols & Ethers JEE Advanced questions?
Answer. Common mistakes to avoid while attempting Alcohol, Phenols & Ethers problems in JEE Advanced includes:
- Ignoring Resonance Effects: Not considering the resonance structures involved in alcohols, phenols and ethers can lead to wrong predictions about reactivity and products.
- Misunderstanding the Mechanisms: Not applying the mechanisms of a reaction correctly (nucleophilic substitution (SN1, SN2) or electrophilic aromatic substitution for phenols) could lead to wrong answers.
- Not Considering Steric Hindrance: When alcohols and ethers have intramolecular reactions, steric hindrance will impact the reaction's rate and products, which is often disregarded when simply calculating the products.
- Understanding the wrong reagent: Error can occur if you confuse the organic reagents that react with alcohols, phenols and ethers (i.e. oxidizing agents or strong bases).
- Forgetting Functional Group Transformations: Forgetting the right reactions to convert an alcohol to an aldehyde, ketone, or acid, and when Lucas reagent and Kolbe’s reaction reactions are applicable can lead to incorrect product predictions.
Q2. How can students improve their performance in JEE Advanced questions on Phenols?
Answer. To enhance JEE Advanced performance on questions involving Phenols, it is necessary to learn about the key reactions such as nitration, bromination, Friedel-Crafts, and oxidation. Further, knowing when given an electrophilic aromatic substitution mechanism is very useful, and you need to know the acidity of phenols due to the resonance stabilization of the phenoxide ion. It also pays to learn about transformations of functional groups, such as oxidation of phenols to quinones or catechol. Over time, practicing previous JEE Advanced questions will help you identify topics frequently tested on the exam, and improve your concept of problem solving skills. Having a solid understanding of the concepts paired with continuing to practice will lead to better answers.
Q3. How to attempt the JEE Advanced questions of Phenols?
Answer. For the JEE Advanced questions on Phenols, carefully look at the question to see what type of reaction or mechanism it is assessing. Try to determine the relevant functional group of phenols and its reactivity in the conditions given, such as electrophilic aromatic substitution or a reaction with bromine, nitration, or an oxidizing agent. Look carefully to see if the question is assessing the mechanism or the products formed from specific chemical reactions. If the question is on acidity, remember phenols are more acidic than alcohols as the conjugate base (phenoxide) is more stable due to resonance (more resonance structures with phenoxide versus alkoxide). If the question asks for a synthesis or transformation, recall your key reactions such as oxidation or Friedel-Crafts, and their respective conditions. Keep in mind that in order to do well on these questions, take each problem step-by-step, include any relevant concepts and mechanisms, and check your answer to ensure the conditions match the reagents given. In order to be successful and accurate in problem-solving, a significant amount of practice with different kinds of questions is helpful.








Comments