AP EDCET 2021 Mathematics Question paper with answer key pdf conducted on September 21, 2021 in Slot 1 is available for download. The exam was successfully organized by Andhra University. The question paper comprised a total of 150.0 questions.
AP EDCET 2021 Mathematics Question Paper with Answer Key PDFs - Slot 1
| AP EDCET 2021 Mathematics Question Paper PDF | AP EDCET 2021 Mathematics Answer Key PDF |
|---|---|
| Download PDF | Download PDF |







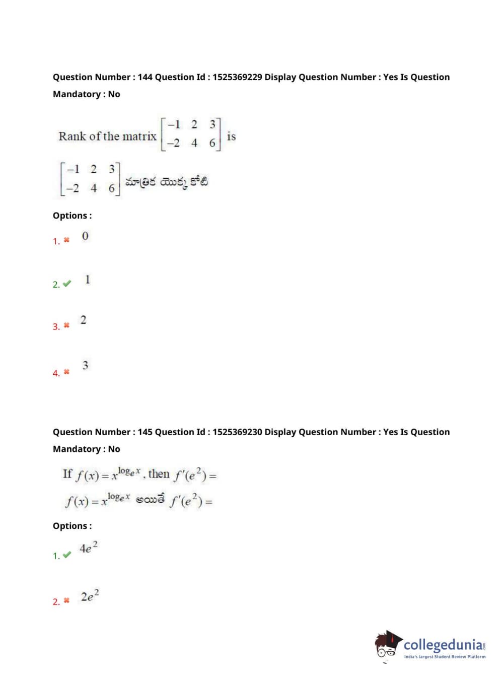
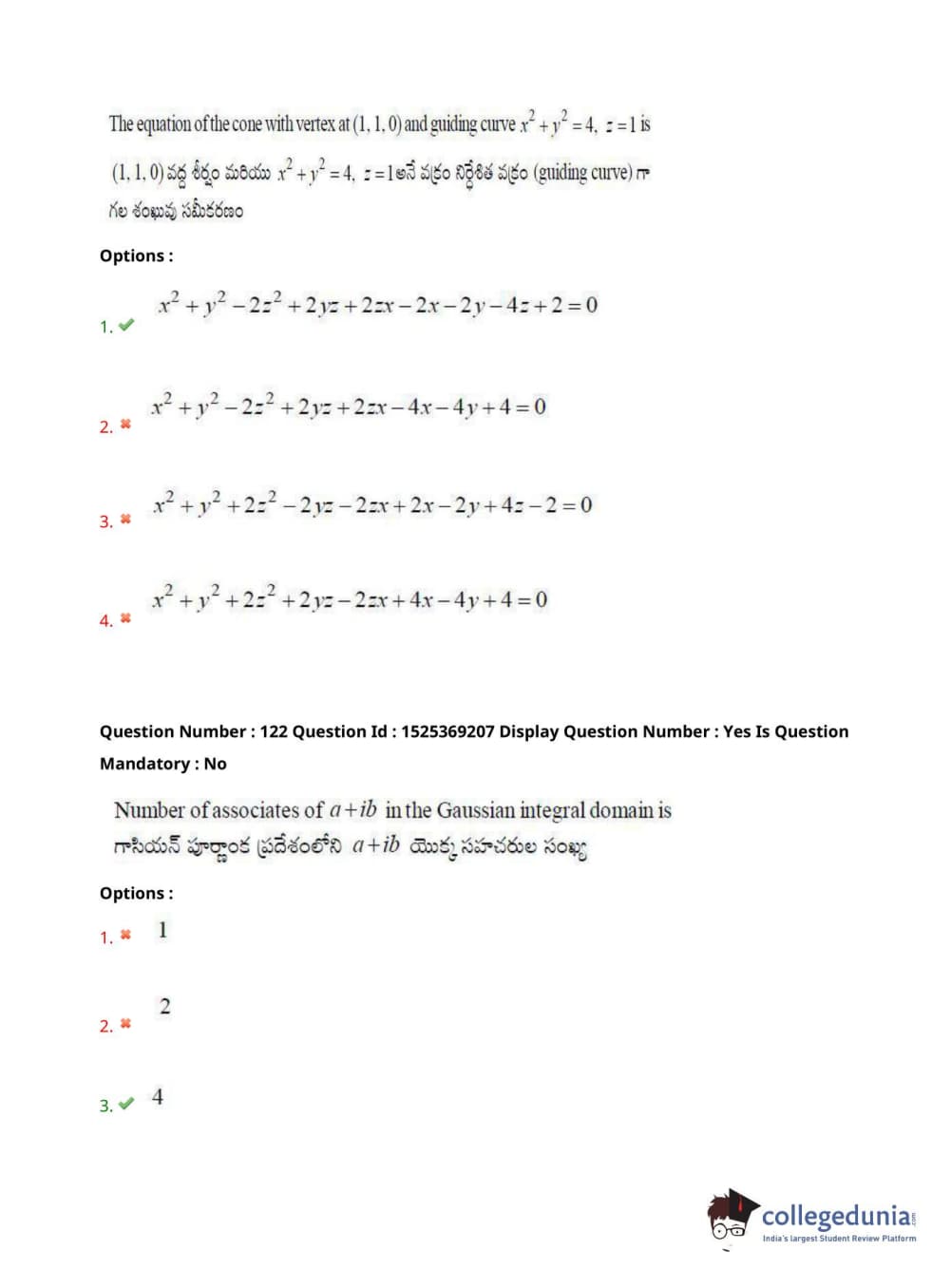
Comments