KEAM 2024 Question Paper (June 8) is available for download here. Office of The Commissioner for Entrance Examinations (CEE Kerala) is going to conduct KEAM Engineering exam 2024 in CBT mode on June 8 in afternoon shift from 2 PM to 5 PM. KEAM Engineering 2024 Question Paper consists total of 150 questions carrying 4 mark each with negative marking of 1 for each incorrect answer. KEAM 2024 Question Paper includes Mathematics with 75 questions, Physics with 45 questions and Chemistry with 30 questions to be attempted in total of 180 minutes.
KEAM 2024 Question Paper with Answer Key PDF (June 8)
| KEAM 2024 (June 8) Question Paper with Answer Key | Check Solution |
In the travelling plane wave equation given by \( y = A \sin \omega \left( \frac{x}{v} - t \right) \), where \( \omega \) is the angular velocity and \( v \) is the linear velocity. The dimension of \( \omega t \) is:
View Solution
Add \( 2.7 \times 10^{-5} \) to \( 4.5 \times 10^{-4} \) with due regard to significant figures
View Solution
The length of the second's hand in a watch is 1 cm. The magnitude of the change in the velocity of its tip in 30 seconds (in cm/s) is:
View Solution
If the slope of the velocity-time graph of a moving particle is zero, then its acceleration is:
View Solution
A projectile is projected with a velocity of \( 20 \, ms^{-1} \) at an angle of 45° to the horizontal. After some time its velocity vector makes an angle of 30° to the horizontal. Its speed at this instant (in \( ms^{-1} \)) is:
View Solution
A boy sitting in a bus moving at a constant velocity throws a ball vertically up in the air. The ball will fall:
View Solution
A machine gun fires a bullet of mass 25 g with a velocity of 1000 ms\(^{-1}\). If the man holding the gun can exert a maximum force of 100 N on the gun, the maximum number of bullets that he can fire per second is:
View Solution
When a vehicle moving with kinetic energy \( K \) is stopped in a distance \( d \) by applying a stopping force \( F \), the relation between \( F \) and \( K \) is given by:
View Solution
In moving a body of mass \( m \) down a smooth incline of inclination \( \theta \) with velocity \( v \), the power required is (g = acceleration due to gravity):
View Solution
The torque required to increase the angular speed of a uniform solid disc of mass 10 kg and diameter 0.5 m from zero to 120 rotations per minute in 5 sec is:
View Solution
Radius of gyration \( K \) of a hollow cylinder of mass \( M \) and radius \( R \) about its long axis of symmetry is:
View Solution
The value of escape velocity \( v_e \) for a planet depends on:
View Solution
The slope of the graph plotted between the square of the time period of a planet \( T^2 \) and the cube of its mean distance from the sun \( r^3 \) is:
View Solution
If \( n \) small identical liquid drops, each having terminal velocity \( v \), merge together, then the terminal velocity of the bigger drop is:
View Solution
A fluid has stream line flow through a horizontal pipe of variable cross-sectional area. Then:
View Solution
A metal rod of length 1 m at 20°C is made up of a material of coefficient of linear expansion \( 2 \times 10^{-5} \, ^\circ C^{-1} \). The temperature at which its length is increased by 1 mm is:
View Solution
The ends of a metallic rod are at temperatures \( T_1 \) and \( T_2 \), and the rate of flow of heat through it is \( Q \, J s^{-1} \). If all the dimensions of the rod are halved, keeping the end temperatures constant, the new rate of flow of heat will be:
View Solution
The rate of emission of a perfectly black body at temperature \( 27^\circ C \) is \( E_1 \). If the temperature of the body is raised to \( 627^\circ C \), its rate of emission becomes \( E_2 \). The ratio of \( \frac{E_1}{E_2} \) is:
View Solution
A monoatomic ideal gas of \( n \) moles heated from temperature \( T_1 \) to \( T_2 \) under two different conditions (i) at constant pressure, (ii) at constant volume). The change in internal energy of the gas is:
View Solution
The ratio between the root mean square velocities of \( O_2 \) and \( O_3 \) molecules at the same temperature is:
View Solution
A particle is executing linear simple harmonic oscillation with an amplitude of \( A \). If the total energy of oscillation is \( E \), then its kinetic energy at a distance of \( 0.707A \) from the mean position is:
View Solution
The equation of a stationary wave is given by \[ y = 5 \sin \frac{\pi}{2} \cos 10\pi t \, cm \]
The distance between two consecutive nodes (in cm) is:
View Solution
A thin spherical shell of radius 12 cm is charged such that the potential on its surface is 60 V. Then the potential at the centre of the sphere is:
View Solution
A stationary body of mass 5 g carries a charge of 5 \(\mu\)C. The potential difference with which it should be accelerated to acquire a speed of 10 m/s is:
View Solution
An electric dipole of dipole moment \( p \) is kept in a uniform electric field \( E \) such that it is aligned parallel to the field. The energy required to rotate it by 45° is:
View Solution
A steady current of 2 A is flowing through a conducting wire. The number of electrons flowing per second in it is:
View Solution
If the voltage across a bulb rated 220V – 60W drops by 1.5% of its rated value, the percentage drop in the rated value of the power is:
View Solution
The terminal potential difference of a cell in the open circuit is 2 V. When the cell is connected to a 10\(\omega\) resistor, the terminal potential difference falls to 1.5 V. The internal resistance of the cell is:
View Solution
For a linear material, the relation between the relative magnetic permeability \( \mu_r \) and magnetic susceptibility \( \chi \) is:
View Solution
The magnetic field at the centre of a circular coil having a single turn of the wire carrying current \( I \) is \( B \). The magnetic field at the centre of the same coil with 4 turns carrying the same current is:
View Solution
A current carrying square loop is suspended in a uniform magnetic field acting in the plane of the loop. If \( \vec{F} \) is the force acting on one arm of the loop, then the net force acting on the remaining three arms of the loop is:
View Solution
If the magnetic field energy stored in an inductor changes from maximum to minimum value in 5 ms, when connected to an a.c. source, the frequency of the a.c. source is:
View Solution
In an LCR circuit, at resonance, the value of the power factor is:
View Solution
An electromagnetic wave is propagating in a medium with velocity \( \vec{v} = v \hat{i} \). The instantaneous oscillating magnetic field of this electromagnetic wave is along positive \( z \)-direction. Then the direction of the oscillating electric field is in the:
View Solution
When light is reflected from an optically rarer medium:
View Solution
Focal length of a convex lens of refractive index 1.5 is 3 cm. When the lens is immersed in water of refractive index \( \frac{4}{3} \), its focal length will be:
View Solution
A narrow single slit of width \( d \) is illuminated by white light. If the first minimum for violet light (\( \lambda = 4500 \, Å \)) falls at \( \theta = 30^\circ \), the width of the slit \( d \) in microns is (1 micron = \( 10^{-6} \) m):
View Solution
Threshold frequency for photoelectric effect from a metallic surface corresponds to a wavelength of 6000 \(Å\). The photoelectric work function for the metal is \( h = 6.6 \times 10^{-34} \, Js \):
View Solution
A proton and a photon have the same energy. Then the de-Broglie wavelength of proton \( \lambda_p \) and wavelength of photon \( \lambda_0 \) are related by:
View Solution
Bohr atom model is invalid for:
View Solution
The energy equivalent of 1 g of a substance in joules is:
View Solution
Mass numbers of two nuclei are in the ratio 2:3. The ratio of the nuclear densities would be:
View Solution
Four hydrogen atoms combine to form an \( ^4_2He \) atom with a release of 26.7 MeV of energy. This is:
View Solution
In the circuit given below, the current is:
View Solution
Electric conduction in a semiconductor is due to:
View Solution
260 g of an aqueous solution contains 60 g of urea (Molar mass = 60 g mol\(^{-1}\)). The molality of the solution is:
View Solution
Which of the following pair exhibits diagonal relationship?
View Solution
The molecule which has a see-saw structure is:
View Solution
The quantum number which determines the shape of the subshell is:
View Solution
The total enthalpy change when 1 mol of water at 100°C and 1 bar pressure is converted to ice at 0°C is:
View Solution
The balanced ionic equation for the reaction of K\(_2\)Cr\(_2\)O\(_7\) with Na\(_2\)SO\(_3\) in an acid solution is:
View Solution
The limiting molar conductances of NaCl, HCl and CH\(_3\)COONa at 300 K are 126.4, 425.9 and 91.0 S cm\(^2\) mol\(^-1\) respectively. The limiting molar conductance of acetic acid at 300 K is:
View Solution
Which of the following liquid pairs shows negative deviation from Raoult’s law?
View Solution
The half-life period of a first order reaction is 1000 seconds. Its rate constant is:
View Solution
Which of the following material acts as a semiconductor at 298 K?
View Solution
The resistance of a conductivity cell filled with 0.02 M KCl solution is 520 ohm at 298 K. The conductivity of the solution at 298 K is (Cell constant = 130 cm\(^{-1}\)):
View Solution
For the equilibrium at 500 K, \( N_2 (g) + 3H_2 (g) \rightleftharpoons 2NH_3 (g) \), the equilibrium concentrations of \(N_2 (g)\), \(H_2 (g)\) and \(NH_3 (g)\) are respectively 4.0 M, 2.0 M and 2.0 M. The \(K_c\) for the formation of \(NH_3\) at 500 K is:
View Solution
The molarity of a solution containing 8 g of NaOH (Molar mass = 40 g mol\(^{-1}\)) in 250 mL solution is:
View Solution
Which of the following are the conditions for a reaction spontaneous at all temperatures?
View Solution
Transition elements act as catalyst because
View Solution
Lanthanides (Ln) burn in O\(_2\) to give
View Solution
The IUPAC name of the coordination compound Hg[Co(SCN)\(_4\)] is
View Solution
In a combustion reaction, heat change during the formation of 40 g of carbon dioxide from carbon and dioxygen gas is (Enthalpy of combustion of carbon = -396 kJ mol\(^1\))
View Solution
Which of the following statement is incorrect?
View Solution
Which of the following statement is incorrect with regard to ozonolysis?
View Solution
Which of the following statement is true?
View Solution
An organic compound X (C\(_6\)H\(_5\)O) on reaction with zinc dust gives Y. The product Y reacts with CH\(_3\)COCl in presence of anhydrous AlCl\(_3\) to give Z (C\(_6\)H\(_5\)O). The compounds X, Y, and Z are respectively
View Solution
The percentage amylose in starch is about
View Solution
Which of the following statement is correct?
View Solution
On heating an aldehyde with Fehling’s reagent, a reddish-brown precipitate is obtained due to the formation of
View Solution
The decreasing order of basic strength of amines in aqueous medium is:
View Solution
Which of the following statement is correct?
View Solution
The structure of MnO\(_4^-\) ion is:
View Solution
When benzene diazonium fluoroborate is heated with aqueous sodium nitrite solution in the presence of copper, the product formed is:
View Solution
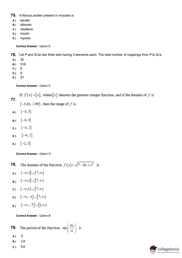
A fibrous protein present in muscles is:
View Solution
Let \( P \) and \( Q \) be two finite sets having 3 elements each. The total number of mappings from \( P \) to \( Q \) is
View Solution
If \( f(x) = \lfloor x \rfloor \), where \( \lfloor x \rfloor \) denotes the greatest integer function, and if the domain of \( f \) is \( \{-3.01, 2.99\} \), then the range of \( f \) is
View Solution
The domain of the function \( f(x) = \sqrt{7 - 8x + x^2} \) is
View Solution
The period of the function \( \sin\left( \frac{\pi x}{4} \right) \) is
View Solution
If \( f(x) = x + 8 \), and \( g(x) = 2x^2 \), then \( (g \circ f)(x) \) is equal to
View Solution
If \( f(x) = \frac{x}{1 - x} \), \( x \neq 1 \), then the inverse of \( f \) is
View Solution
If the complex numbers \( (2 + i)x + (1 - i)y + 2i - 3 \) and \( x + (-1 + 2i)y + 1 + i \) are equal, then \( (x, y) \) is
View Solution
If \( x + iy = \frac{3 + 4i}{5 - 12i} \), then \( x + y \) is equal to
View Solution
If \( z = 1 + i \), then the maximum value of \( |z + 12 + 9i| \) is
View Solution
If \( \frac{|z - 5i|}{|z - 5i|} = 1 \), then
View Solution
The coefficient of \( x^7 \) in the expansion of \( \left( \frac{1}{x + x^2} \right)^8 \) is
View Solution
If \( a_1 = 3 \) and \( a_n = n \cdot a_{n-1} \), for \( n \geq 2 \), then \( a_6 \) is equal to
View Solution
If \( \frac{1}{\log_2 x} + \frac{1}{\log_3 x} + \frac{1}{\log_4 x} + \frac{1}{\log_5 x} + \frac{1}{\log_6 x} = 1 \), then the value of \( x \) is
View Solution
The common ratio of a G.P. is 10. Then the ratio between its 11th term and its 6th term is:
View Solution
Let \( a, b, c \) be positive numbers. If \( a + b + c \geq K \left[ (a + b)(b + c)(c + a) \right]^{1/3} \), then the maximum value of \( K \) is:
View Solution
If \( A = \begin{bmatrix} 4 & -1
12 & x \end{bmatrix} \) and \( A^2 = A \), then the value of \( x \) is:
View Solution
If \( A = \begin{bmatrix} 3 & 7
2 & 5 \end{bmatrix} \), then \( A^2 (adj A) \) is:
View Solution
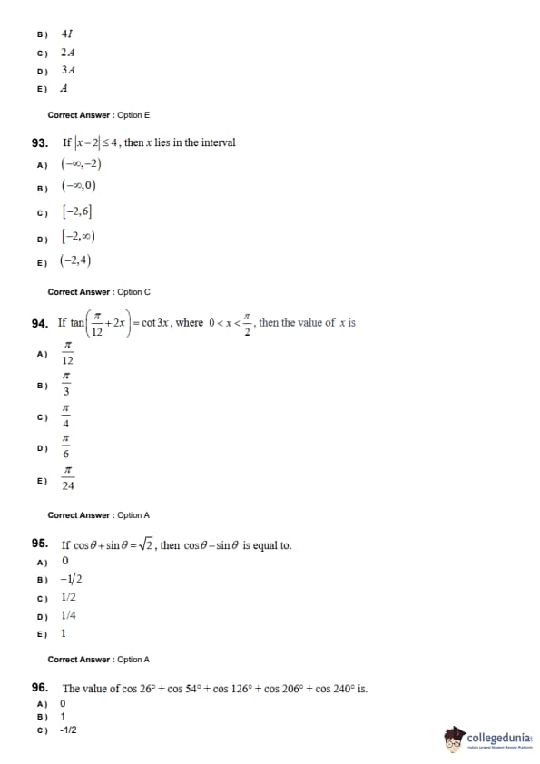
If \( |x - 2| \leq 4 \), then \( x \) lies in the interval:
View Solution
If \( \tan \left( \frac{\pi}{12} + 2x \right) = \cot 3x \), where \( 0 < x < \frac{\pi}{2} \), then the value of \( x \) is:
View Solution
If \( \cos \theta + \sin \theta = \sqrt{2} \), then \( \cos \theta - \sin \theta \) is equal to:
View Solution
The value of \( \cos 26^\circ + \cos 54^\circ + \cos 126^\circ + \cos 206^\circ + \cos 240^\circ \) is:
View Solution
If \( \cos x - \sin x = 0 \), \( 0 \leq x \leq \pi \), then the value(s) of \( x \) is/are:
View Solution
If \( 2 \sin \left( \frac{\pi}{3} - 2x \right) - 1 = 0 \), \( 0 < x < \frac{\pi}{2} \), then the value of \( x \) is:
View Solution
Domain of the function \( \sin^{-1}(2x - 1) \) is:
View Solution
If \( 3 \tan^{-1}(x) + \cot^{-1}(x) = \pi \), then \( \sin^{-1}(x) \) is:
View Solution
tan\(^{-1} 2 - \) tan\(^{-1} \frac{1}{3}\) is equal to:
View Solution
sin\(^{-1} \left( \sin \left( \frac{5\pi}{6} \right) \right) \) is equal to:
View Solution
If \( \sin x = \frac{3}{5} \), then the value of \( \sec x + \tan x \) is equal to:
View Solution
If \( P(-3, 4) \) and \( Q(3, 1) \) are points on a straight line, then the slope of the straight line perpendicular to PQ is:
View Solution
The length of perpendicular from the origin to the line \( \frac{x}{5} - \frac{y}{12} = 1 \) is:
View Solution
The equation of the straight line passing through the point \( (1, 1) \) and perpendicular to the line \( x + y = 5 \) is:
View Solution
The area of the triangle formed by the coordinate axes and a line whose perpendicular from the origin makes an angle of 45° with the x-axis is 50 square units. Then the equation of the line is:
View Solution
The equation of the straight line, intersecting the coordinate axes \( x \) and \( y \) are respectively 1 and 2, is:
View Solution
If the sum of distances of a point from the origin and the line \( x = 3 \) is 8, then its locus is:
View Solution
If the point \( (2, k) \) lies on the circle \( (x - 2)^2 + (y + 1)^2 = 4 \), then the value of \( k \) is:
View Solution
The radius of the circle \( x^2 + y^2 - 2x - 4y - 4 = 0 \) is:
View Solution
The eccentricity of an ellipse is \( \frac{1}{3} \) and its center is at the origin. If one of the directrices is \( x = 9 \), then the equation of the ellipse is:
View Solution
If the parametric form of the circle is \( x = 3\cos\theta + 3 \) and \( y = 3\sin\theta \), then the Cartesian form of the equation of the circle is:
View Solution
A line makes angles \( \alpha, \beta, \gamma \) with \( x, y \), and \( z \)-axes respectively. Then the value of \( \sin^2\alpha + \sin^2\beta - \cos^2\gamma \) is:
View Solution
The direction ratios of the line joining the points \( (2, 3, 4) \) and \( (-1, 4, -3) \) is:
View Solution
Equation of the line parallel to the line \( \frac{x-2}{2} = \frac{y-2}{3} = \frac{z-1}{-2} \) and passing through the point \( (3, 2, -1) \) is:
View Solution
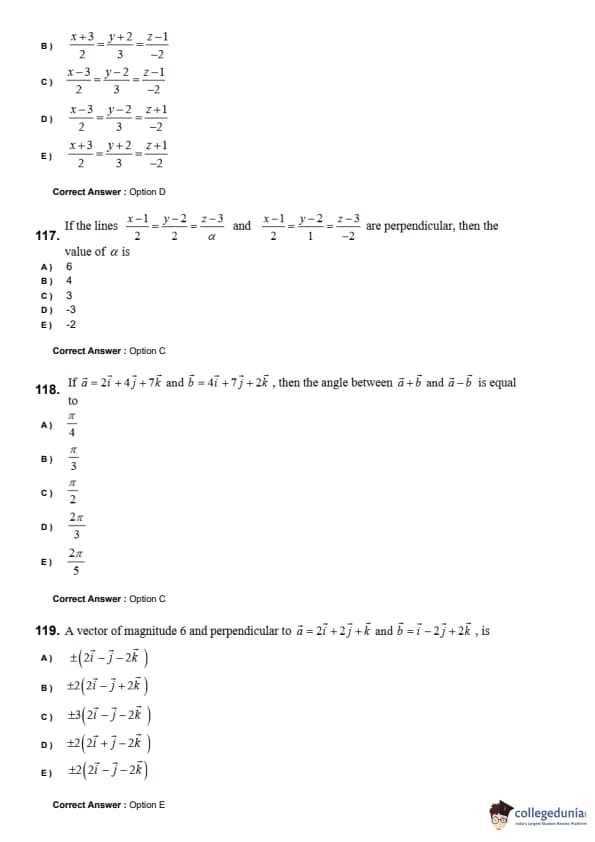
If the lines \( \frac{x-1}{2} = \frac{y-2}{\alpha} = \frac{z-3}{2} \) and \( \frac{x-1}{2} = \frac{y-2}{1} = \frac{z-3}{-2} \) are perpendicular, then the value of \( \alpha \) is:
View Solution
If \( \vec{a} = 2\vec i + 4\vec j + 7\vec k \) and \( \vec {b} = 4\vec i + 7\vec j + 2\vec k \), then the angle between \( \vec{a} + \vec{b} \) and \( \vec{a} - \vec{b} \) is equal to:
View Solution
A vector of magnitude 6 and perpendicular to \( \vec{a} = 2i + 2j + k \) and \( \vec{b} = i - 2j + 2k \), is:
View Solution
If \( \vec{a} \) and \( \vec{b} \) are non-collinear unit vectors and \( |\vec{a} + \vec{b}|^2 = 3 \), then \( (3\vec{a} + 2\vec{b}) \cdot (3\vec{a} - \vec{b}) \) is equal to:
View Solution
If \( x_1, i=2, 3, \ldots, n \) are \( n \) observations such that \( \sum_{i=1}^{n} x_i^2 = 550 \), mean \( \bar{x} = 5 \) and variance is zero, then the number of observations is equal to:
View Solution
If the mean of five observations \( x, 2x+5, 13, 2x-7, \) and 9 is 22, then the value of \( x \) is:
View Solution
If \( A \) and \( B \) are two independent events such that \( P(A) = 0.4 \) and \( P(A \cup B) = 0.7 \), then \( P(B) \) is equal to:
View Solution
The probability that at least one of \( A \) or \( B \) occurs is 0.6. If \( A \) and \( B \) occur simultaneously with probability 0.2, then \( P(A') + P(B') \) is:
View Solution
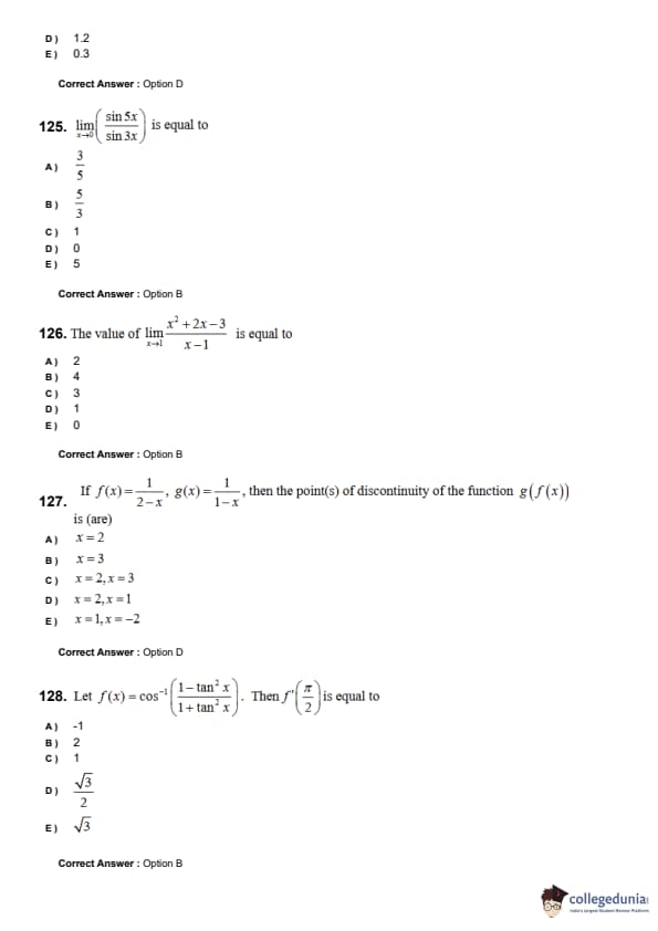
The value of \( \lim_{x \to 0} \frac{\sin(5x)}{\sin(3x)} \) is:
View Solution
The value of \( \lim_{x \to 1} \frac{x^2 + 2x - 3}{x - 1} \) is:
View Solution
If \( f(x) = \frac{1}{2 - x} \) and \( g(x) = \frac{1}{1 - x} \), then the point(s) of discontinuity of the function \( g(f(x)) \) is (are):
View Solution
Let \( f(x) = \cos^{-1} \left( \frac{1 - \tan^2 x}{1 + \tan^2 x} \right) \). Then \( f\left( \frac{\pi}{2} \right) \) is equal to:
View Solution
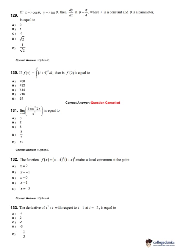
If \( x = r \cos \theta, y = r \sin \theta \), then \( \frac{dy}{dx} \) at \( \theta = \frac{\pi}{4} \), where \( r \) is a constant and \( \theta \) is a parameter, is equal to:
View Solution
If \( f(x) = \int_0^{x^3} (t + 4)^2 dt \), then \( f'(2) \) is equal to:
View Solution
The limit \( \lim_{x \to 0} \frac{3 \sin^2 2x}{x^2} \) is equal to:
View Solution
The function \( f(x) = (x - 4)^2 (1 + x)^3 \) attains a local extremum at the point:
View Solution
The derivative of \( t^2 + t \) with respect to \( t-1 \) at \( t = -2 \), is equal to:
View Solution
If a continuous function \( f \) is defined as \[ f(x) = \left\{ \begin{array}{ll} ax + 1, & x < 2
x^2 + 7, & x \geq 2 \end{array} \right. \]
then the value of \( a \) is:
View Solution
If \( f(x) = x|x| \), then \( f'(-1) + f'(1) \) is equal to:
View Solution
The integral \( \int \frac{1 + x^2 + x^4}{(1 - x^3)(1 + x^3)} \, dx \) is equal to:
View Solution
A train starts from X towards Y at 3 pm (time \( t = 0 \)) with velocity \( v(t) = 10t + 25 \) km per hour, where \( t \) is measured in hours. Then the distance covered by the train at 5 pm (in km) is:
View Solution
The integral \( \int \sqrt{1 + \sin 2x} \, dx \) is equal to:
View Solution
The integral \( \int xe^x \, dx \) is equal to:
View Solution
The integral \( \int e^x \sec x (1 + \tan x) \, dx \) is equal to:
View Solution
The value of \( \int_0^1 x(1 - x)^{10} \, dx \) is equal to:
View Solution
The value of \( \int_{\frac{\pi}{2}}^{\frac{\pi}{2}} \frac{\tan x + \sin x}{1 + \cos^2 x} \, dx \) is equal to:
View Solution
The integral \( \int_5^{10} \left\lfloor x \right\rfloor dx \) is equal to (where \( \left\lfloor x \right\rfloor \) denotes the greatest integer function):
View Solution
The integral \( \int_{-2}^4 x^2 |x| \, dx \) is equal to:
View Solution
The value of \( \int_{-1}^{1} x^2 \sin x \, dx \) is equal to:
View Solution
The area of the region bounded by the curve \( y = 3x^2 \) and the x-axis, between \( x = -1 \) and \( x = 1 \), is:
View Solution
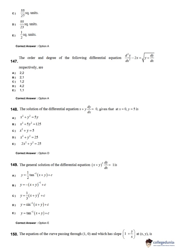
The order and degree of the following differential equation: \( \frac{d^2 y}{dx^2} - 2x = \sqrt{y} + \frac{dy}{dx} \), respectively, are:
View Solution
The solution of the differential equation \( x + y \frac{dy}{dx} = 0 \), given that at \( x = 0 \), \( y = 5 \), is:
View Solution
The general solution of the differential equation \( (x + y)^2 \frac{dy}{dx} = 1 \) is:
View Solution
The equation of the curve passing through \( (1, 0) \) and which has slope \( \left( 1 + \frac{y}{x} \right) \) at \( (x, y) \), is:
View Solution

.jpg?h=56&w=56&mode=stretch)

.png?h=35&w=35&mode=stretch)



Comments