AIEEE 2005 Question Paper with answer key is available for download. AIEEE was a national-level engineering entrance exam till 2013 when it was replaced by JEE Main. AIEEE 2005 question paper contained 90 multiple choice questions which were rated moderately difficult. Time management and good knowledge were required to crack AIEEE exam.
Download Last 10 Years JEE Main Question Papers
AIEEE 2005 Question Paper with Answer Key PDFs -May 08
| AIEEE 2005 Question Paper | AIEEE 2005 Answer Key |
|---|---|
| Download PDF | Available Soon |
AIEEE 2005 Paper Analysis
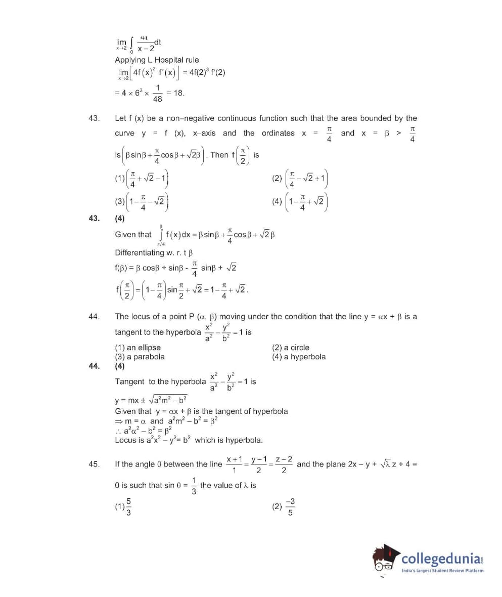
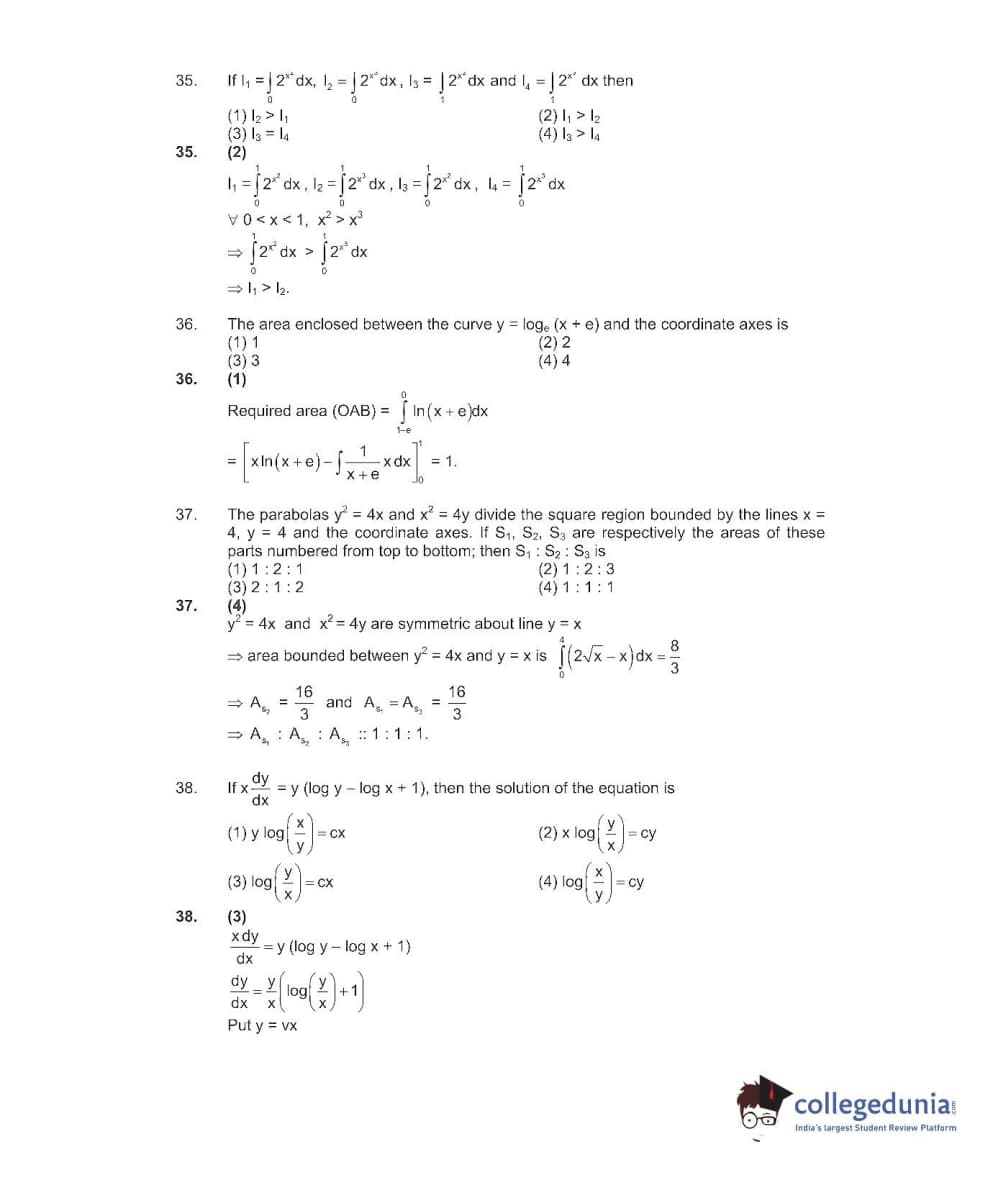
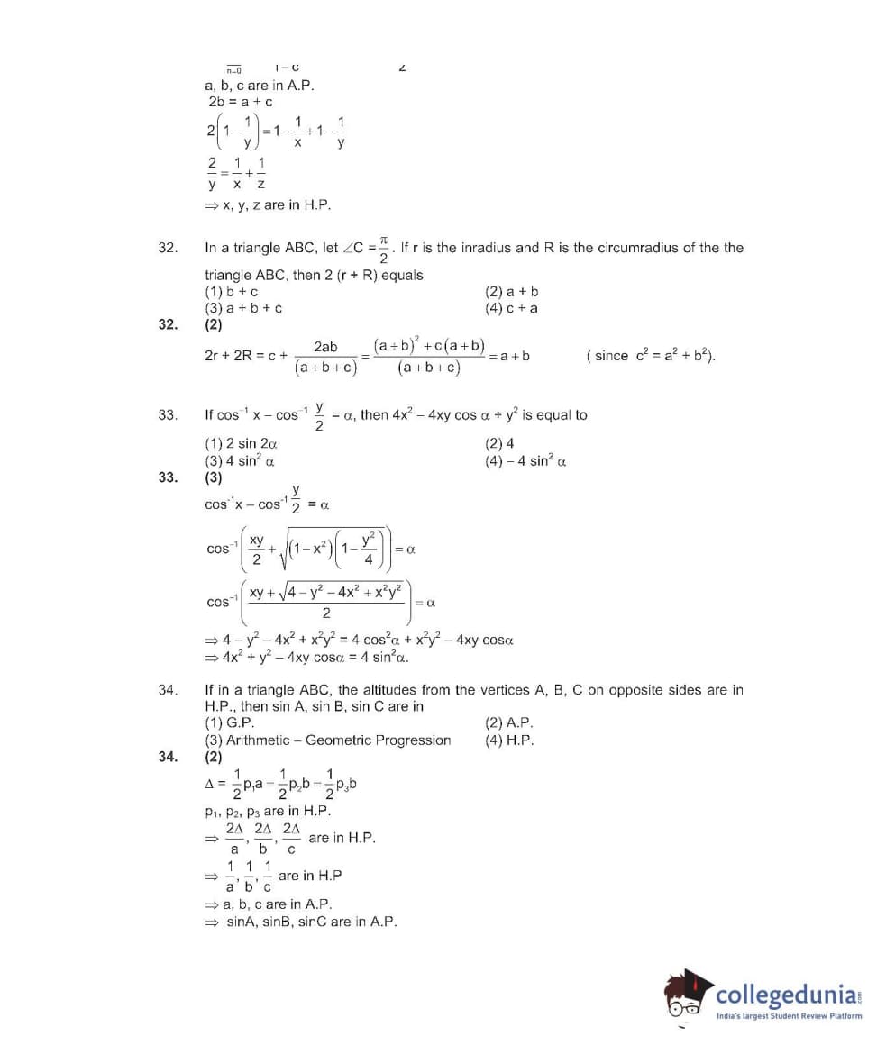
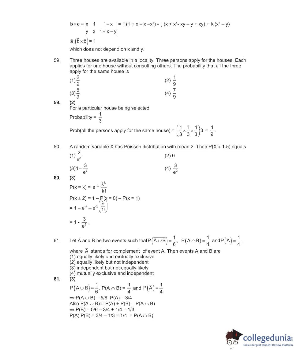
The exam consisted of 90 multiple choice questions. 30 MCQs belonged to each section namely Physics, Chemistry, and Mathematics. Questions were from different topics with different difficulty levels.
AIEEE 2005 Paper was a bit different from previous AIEEE exams in terms of the marking scheme. There were 10 questions that carried 1.5 marks, 10 questions carried 4.5 marks each, and the remaining 55 questions carried 3 marks for each question. For each wrong answer, a negative marking of 1/3rd of the total marks of the question was applicable.The chemistry section was said to be the easiest among all.
However, the mathematics part was a bit lengthy and involved a lot of calculations. The cutoff for the paper was 310. This exam basically tested the fundamentals and concentration of students.
JEE Main Previous Year Question Papers
Candidates can solve JEE Main question papers to prepare efficiently for the upcoming exam. To check the preparation level, candidates can also solve AIEEE Previous Year Question Papers as the syllabus of AIEEE was similar to JEE Main.
| JEE Main 2021 Question Papers | JEE Main 2020 Question Papers |
| JEE Main 2019 Question Papers | JEE Main 2018 Question Papers |











Comments