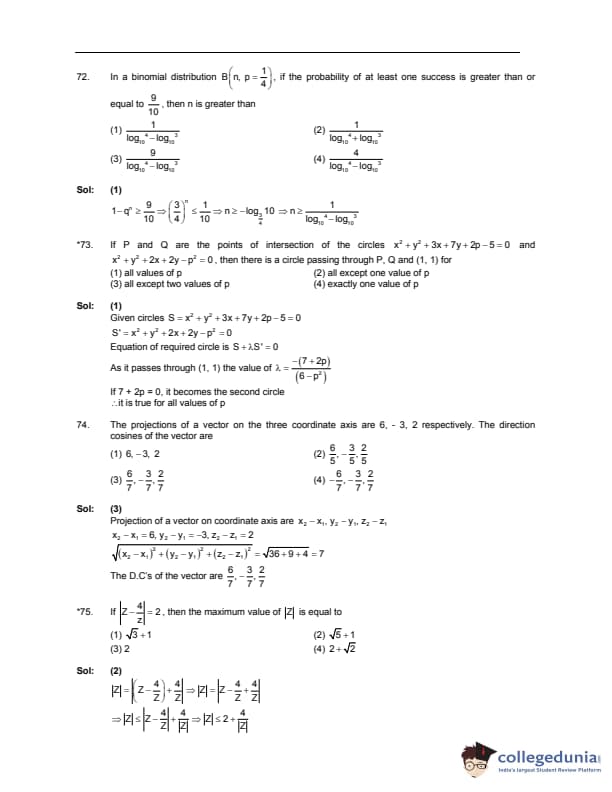
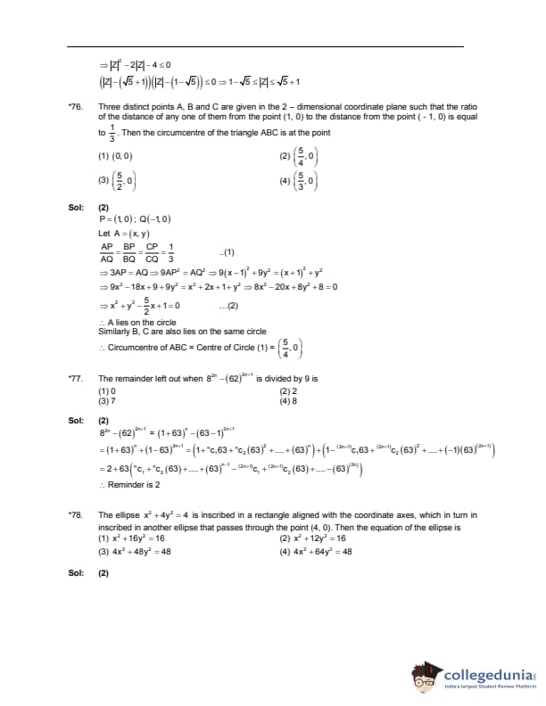
AIEEE 2009 Question paper with answer key pdf is available for download. The exam was successfully organized by CBSE. AIEEE 2009 had a moderate level of difficulty and the examination consisted of 90 questions divided into 3 sections. Till 2012, the Central Board of Secondary Education (CBSE) conducted the All India Engineering Entrance Examination (AIEEE) to shortlist eligible candidates for admission in Engineering, Architecture, Pharmacy, and Planning courses at various colleges. After 2012, AIEEE got replaced with JEE Main exam.
Download Last 10 Years JEE Main Question Papers
AIEEE 2009 Question Paper with Answer Key PDFs – April 12
| AIEEE 2009 Question Paper | AIEEE 2009 Answer Key |
|---|---|
| Download PDF | Download PDF |
AIEEE 2009 Paper Analysis
AIEEE 2009 comprised 30 questions each from Physics, Chemistry, and Mathematics. Total 180 minutes were given to attempt AIEEE 2009 question paper. Most of the questions in Physics were asked from Physics and Measurement, Kinematics, Law of Motion, etc. The Chemistry section was rated moderate to difficult while the mathematics section was a bit calculation-intensive.
JEE Main Previous Year Question Papers
Candidates preparing for the upcoming JEE Main exam can also solve AIEEE question papers of the previous year to analyze their performance levels. Also, solving JEE Main question papers from 2013 to 2021 will also help in better preparation for the exam.
| JEE Main 2021 Question Papers | JEE Main 2020 Question Papers |
| JEE Main 2019 Question Papers | JEE Main 2018 Question Papers |













Comments