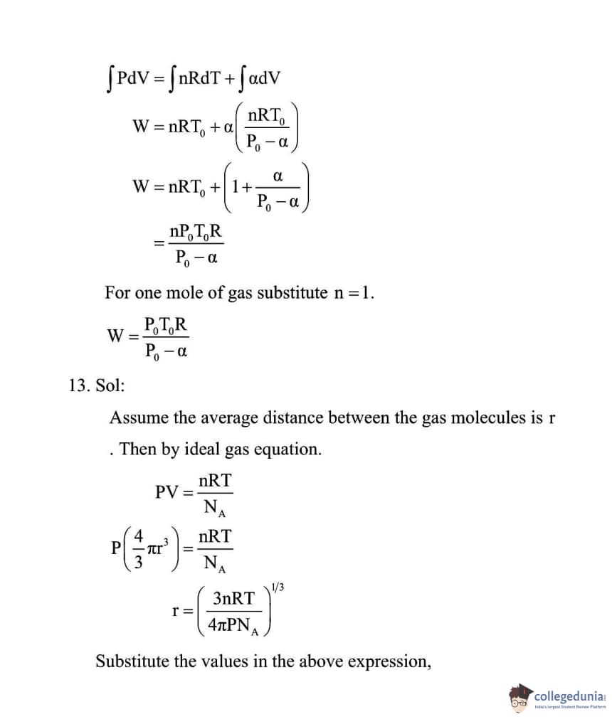
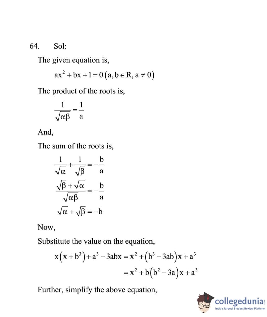
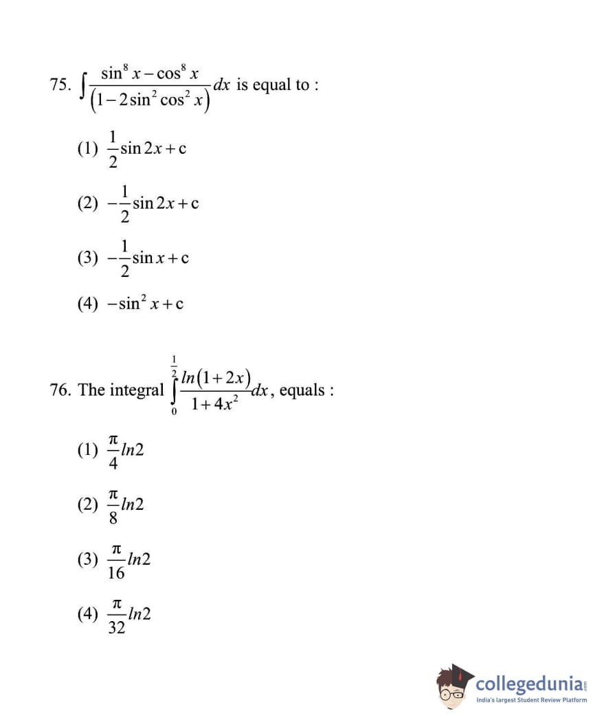
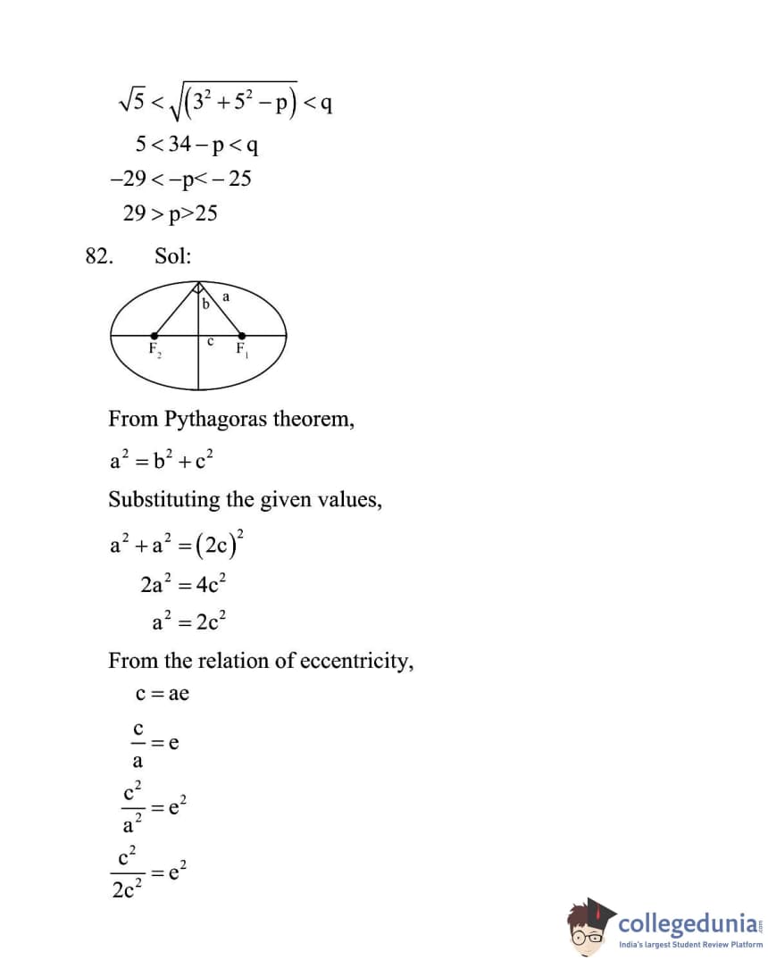
JEE Main 2014 B.E./B.Tech Question Paper with Answer Key for the exam conducted on April 09 in online mode is available for download. The exam was successfully concluded by CBSE (Central Board of Secondary Education).Candidates rated the JEE Main 2014 B.E./B.Tech Question Paper as easy to moderate in terms of overall difficulty.The question paper comprises a total of 90 questions. The 90 questions were distributed across three main sections i.e. Physics, Chemistry, and Mathematics.
JEE Main B.E./B.Tech 2014 Question Paper with Answer Key PDF- April 09 (Online Mode)
| JEE Main 2014 Question Paper | JEE Main 2014 Answer Key |
|---|---|
| Download PDF | Download PDF |
JEE Main B.E./B.Tech 2014 Paper Analysis
-
Physics was considered to be more difficult than Mathematics and Chemistry.
-
The math and chemistry sections were both equally difficult. The questions were simple to answer, and no unexpected questions were posed in either of these sections.
Each correct question is worth four points, and any incorrect answer will result in a one-point deduction.
JEE Main B.E./B.Tech Previous Year Question Papers
Candidates can solve the question papers of the previous year to analyze their performance levels. To enhance the accuracy level, candidates are advised to solve JEE Main Question Papers daily. JEE Main B.E./B.Tech year wise and subject wise question paper links with answer key PDFs are provided below:
| JEE Main 2021 Question Papers | JEE Main 2020 Question Papers |
| JEE Main 2019 Question Papers | JEE Main 2018 Question Papers |









Comments