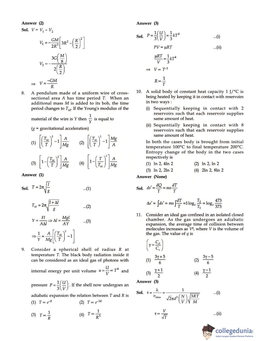
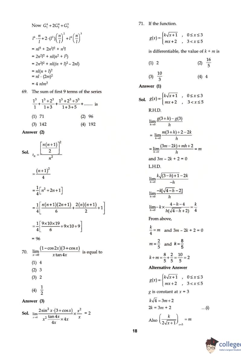
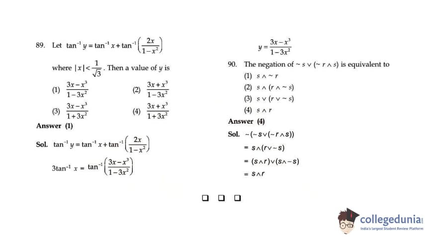
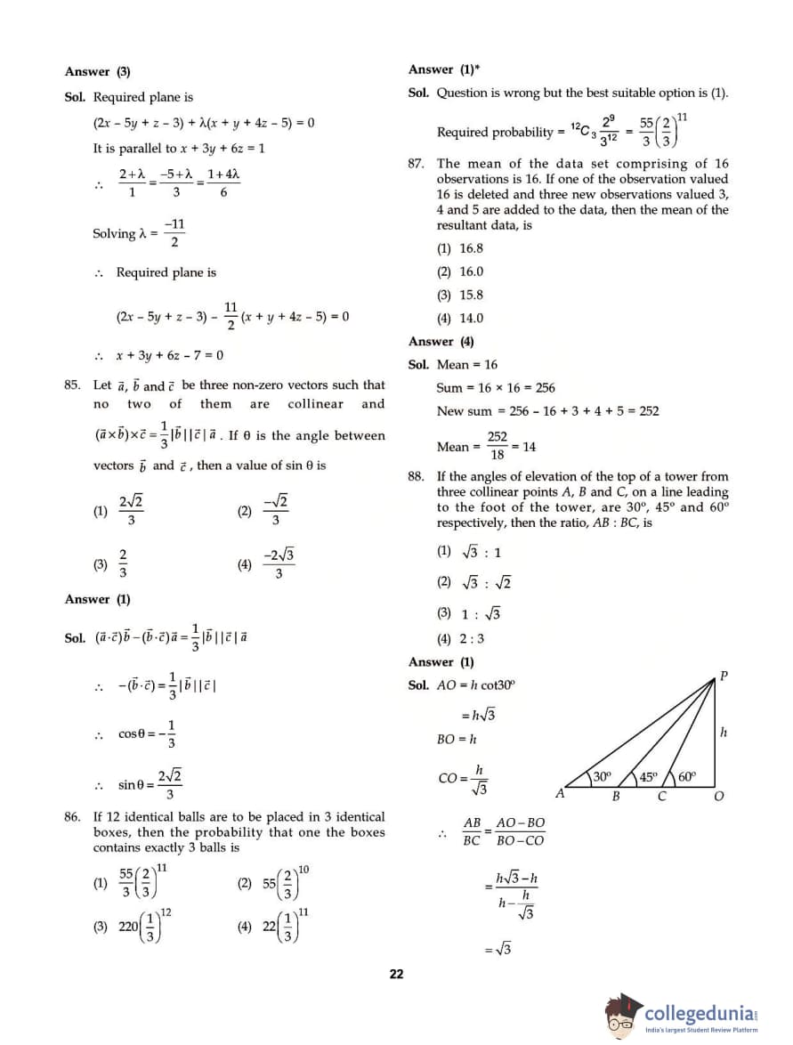
JEE Main 2015 B.E./B.Tech Question Paper with Answer Key PDF for Code A conducted on April 4, 2015, in an offline mode is available for download. JEE Main 2015 Code A paper was successfully conducted in the morning shift from 9:30 pm to 12:30 pm. Students reported the exam to be moderate in level of difficulty. Most of the questions were straight-forward and easy to attempt.
JEE Main 2015 B.E./B.Tech Question Paper and Answer Key- April 4(Forenoon Session)
| JEE Main 2015 Question Paper | JEE Main 2015 Answer Key |
|---|---|
| Download PDF | Download PDF |
JEE Main B.E/ B.Tech 2015 Paper Analysis
The physics section in JEE Main 2015 B.E./B.Tech question paper with Code A was the toughest while the Mathematics section had some surprising questions. Students reported the Chemistry section to be easy to moderate.
There were 39 questions from topics included in Class 11th syllabus and 52 questions from topics included in Class 12th syllabus. Candidates can check subject-wise distribution of questions in JEE Main 2015 Question Paper (Code A) held on April 4 in the table below:
| Subject/ Sections | Class 11 | Class 12 | Total | |||
|---|---|---|---|---|---|---|
| No. of Ques | Total Marks | No. of Ques | Total Marks | No. of Ques | Total Marks | |
| Mathematics | 16 | 64 | 14 | 56 | 30 | 120 |
| Physics | 13 | 52 | 17 | 68 | 30 | 120 |
| Chemistry | 10 | 40 | 20 | 80 | 30 | 120 |
| Total | 39 | 156 | 52 | 204 | 90 | 360 |
JEE Main Previous Year Question Papers
The candidates can download JEE Main previous years’ question papers to boost their overall performance levels. Also this way, the candidates can focus on weaker areas.
| JEE Main 2021 Question Papers | JEE Main 2020 Question Papers |
| JEE Main 2019 Question Papers | JEE Main 2018 Question Papers |








Comments