JEE Main 2015 B.E./B.Tech Question Paper with Answer key PDF conducted online on April 11, 2015 is available for download. This was the first time that JEE Main was held online by CBSE. Students rated the JEE Main 2015 B.E/B.Tech Question Paper for April 11 as moderate, with Math and Physics being the most difficult sections and Chemistry being the easiest.
JEE Main 2015 B.E./B.Tech Question Paper and Answer Key PDF-April 11
| JEE Main 2015 Question Paper | JEE Main 2015 Answer Key |
|---|---|
| Download PDF | Available Soon |
JEE Main 2015 B.E./B.Tech Paper Analysis
JEE Main 2015 B.E/B.Tech Question Paper for April 11 was similar to the offline paper held on April 4. Candidates who appeared for the online JEE Main 2015 were able to review or re-answer any question at any point of time during the examination. Over 3 lakh students appeared for the CBT or online mode of the paper. Students were able to complete the paper in time.
JEE Main Previous Year Question Papers
The link to download JEE Main previous years’ question papers and mock tests in the PDF form is mentioned below. Solving and practicing previous year's papers help JEE aspirants know their exam prep level.
| JEE Main 2021 Question Papers | JEE Main 2020 Question Papers |
| JEE Main 2019 Question Papers | JEE Main 2018 Question Papers |














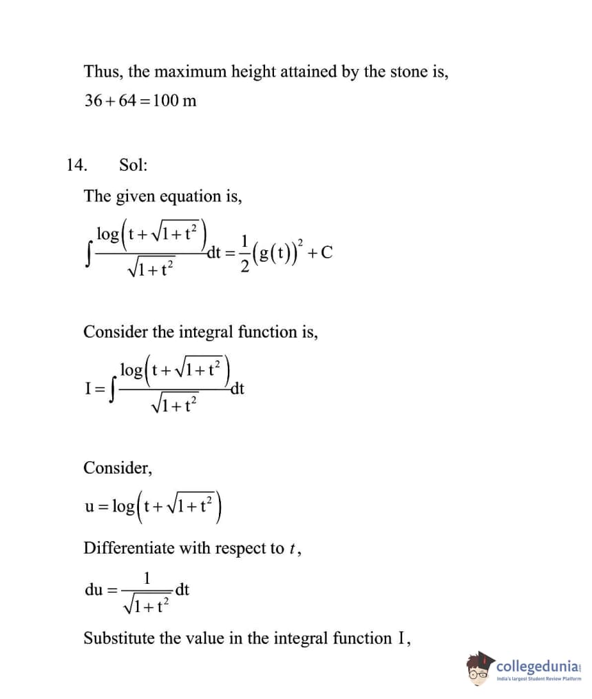
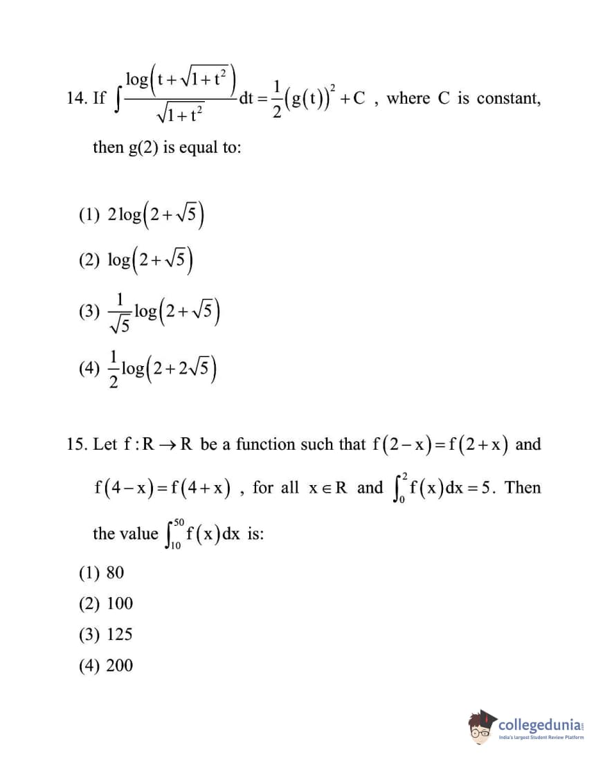
Comments