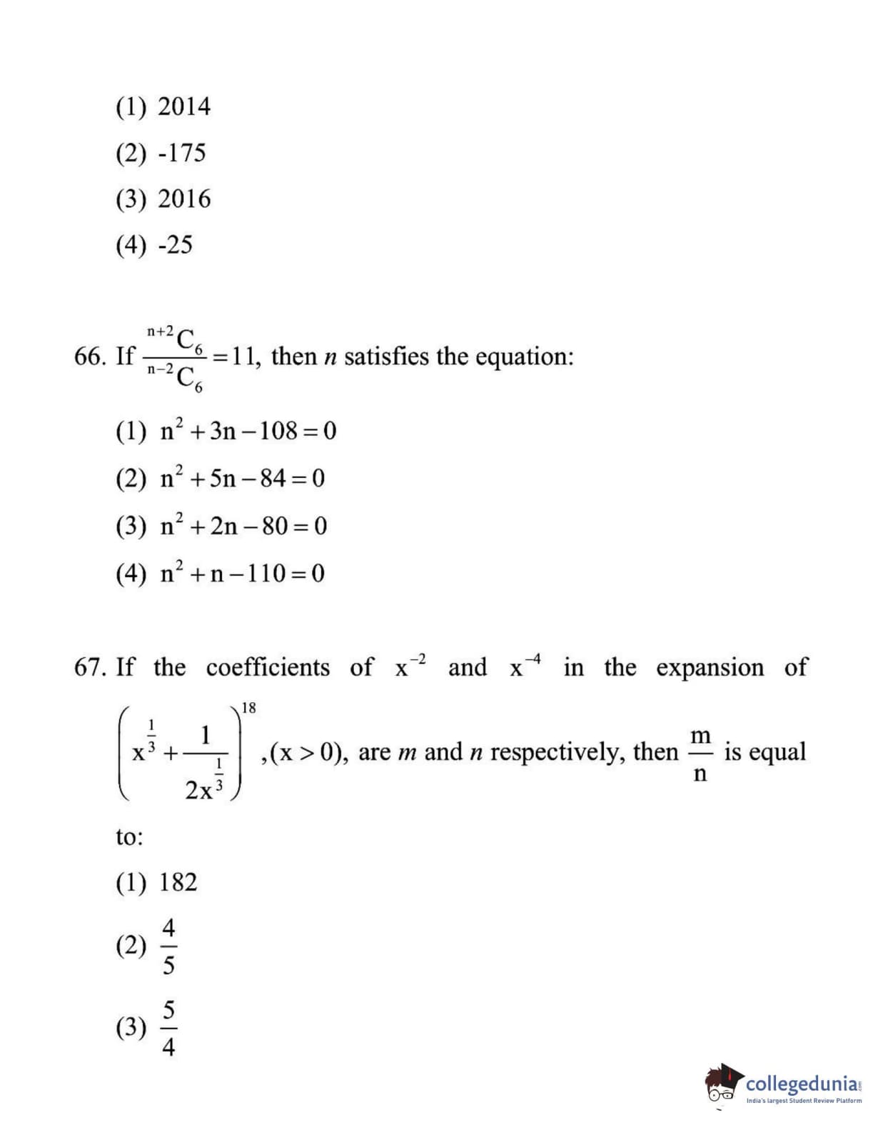
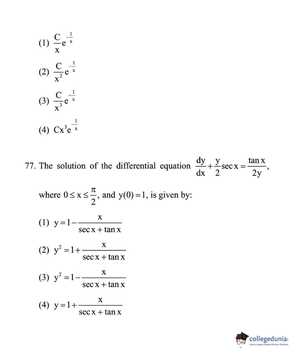
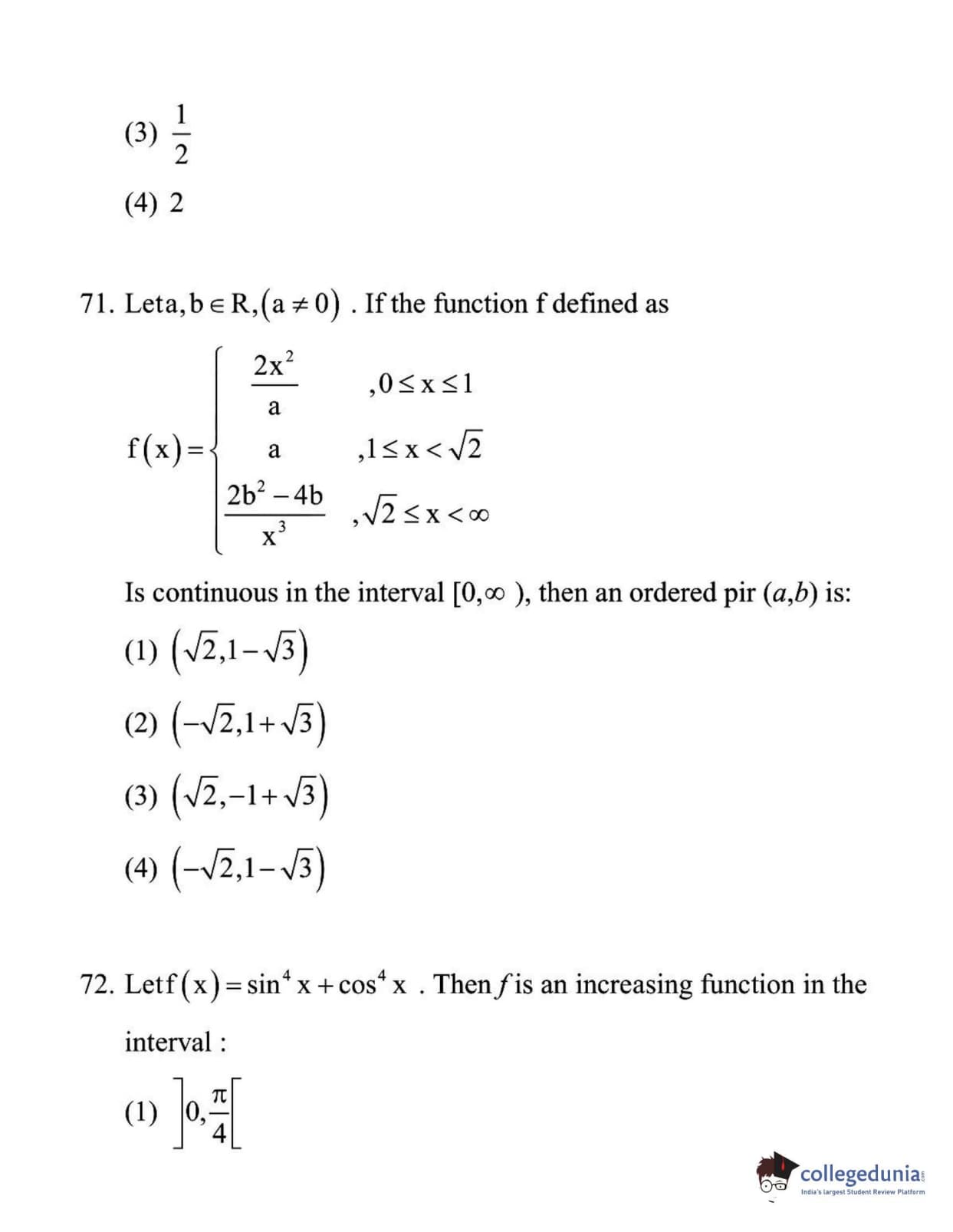
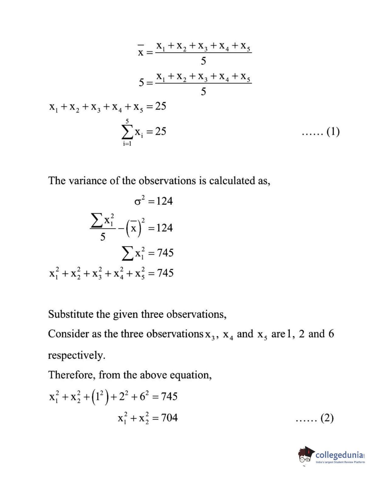
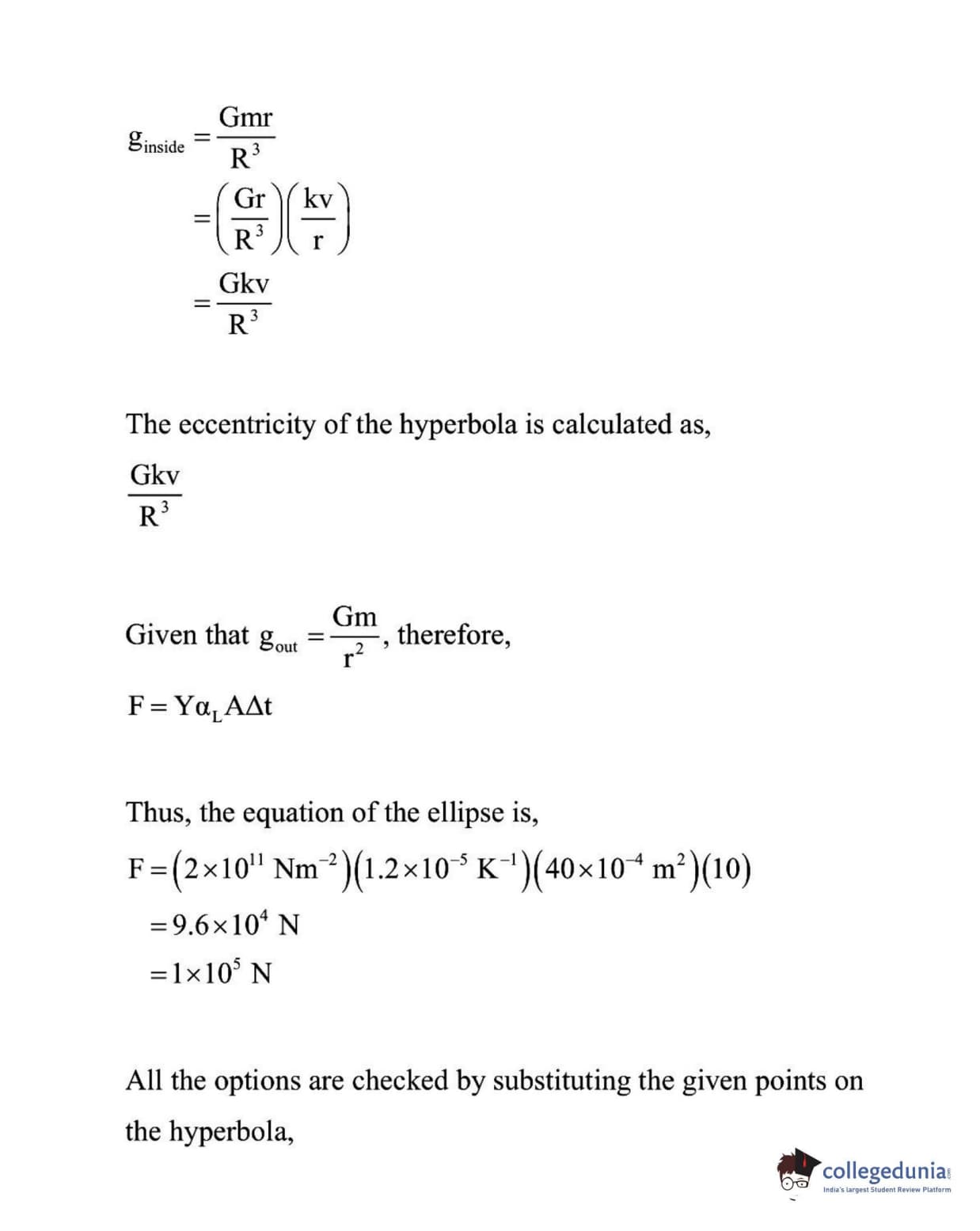
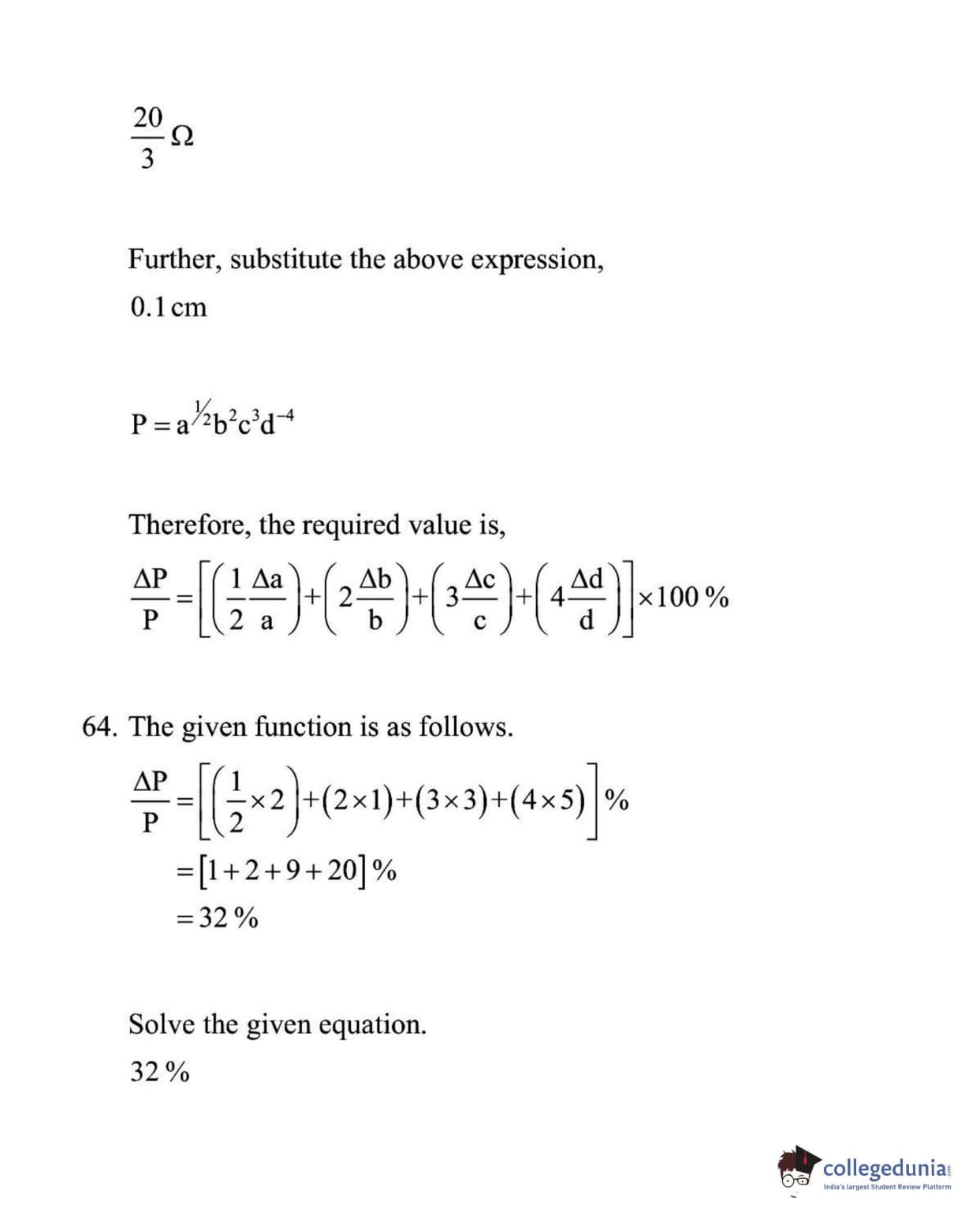
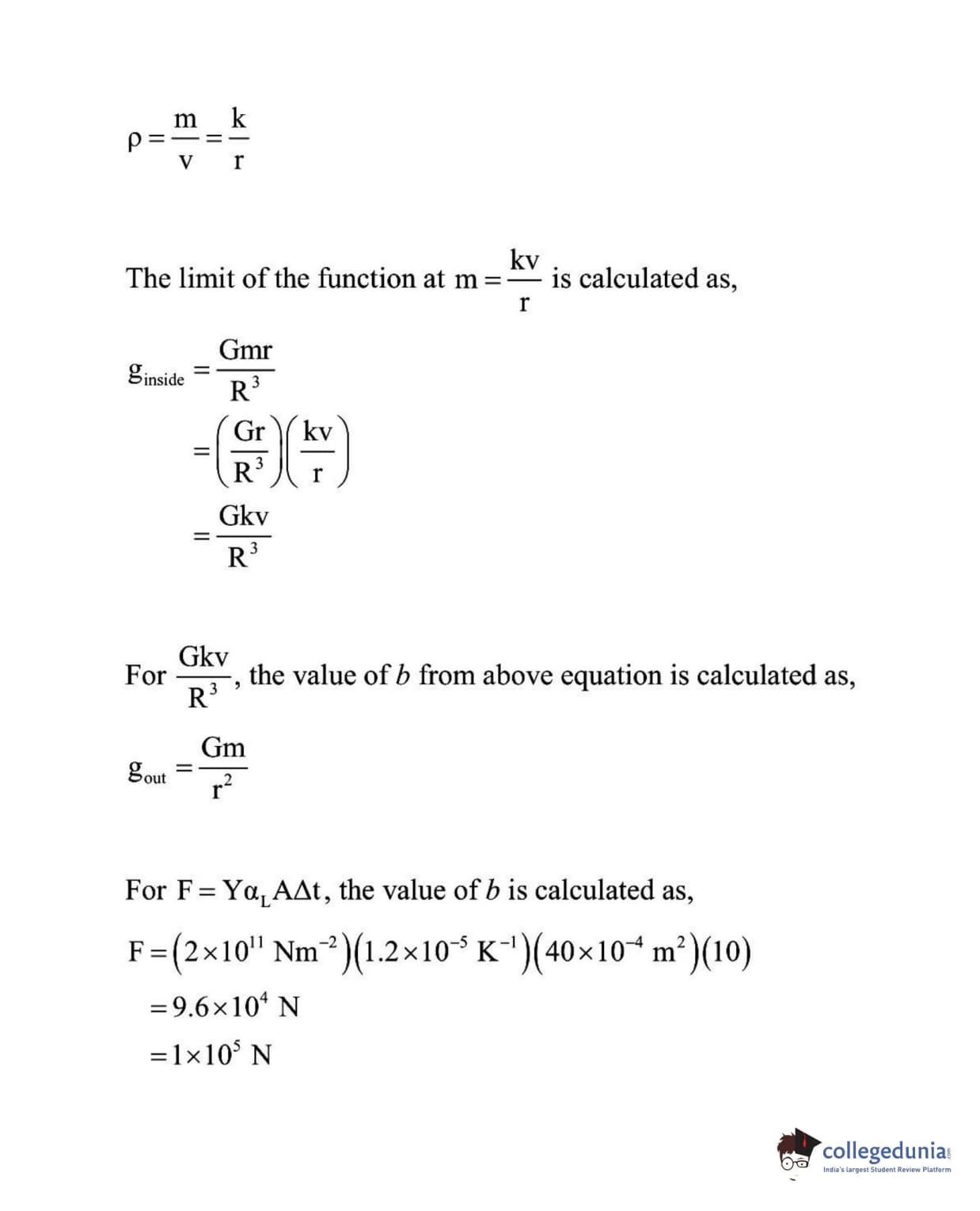
JEE Main 2016 B.E./B.Tech Question Paper with Answer Key for the exam conducted on April 10 in online mode is available for download. The exam was successfully concluded by CBSE (Central Board of Secondary Education).When compared to the offline mode, candidates rated the JEE Main 2016 B.E./B.Tech Question Paper as moderate in terms of overall difficulty..The question paper comprises a total of 90 questions. The 90 questions were distributed across three main sections i.e. Physics, Chemistry, and Mathematics.
JEE Main B.E./B.Tech 2016 Question Paper with Answer Key PDF- April 10 (Online Mode)
| JEE Main 2016 Question Paper | JEE Main 2016 Answer Key |
|---|---|
| Download PDF | Download PDF |
JEE Main B.E./B.Tech 2016 Paper Analysis
- Physics section was the most difficult of the three, but when compared to JEE Main 2016 offline mode, it was simple.
- The chemistry section was the easiest, with many direct and memory-based questions.
- Math section was simple but lengthy.
For every correct answer, candidates got +4 marks and for each wrong attempt -¼ of the total marks were deducted.
JEE Main B.E./B.Tech Previous Year Question Papers
Candidates can solve the question papers of the previous year to analyze their performance levels. To enhance the accuracy level, candidates are advised to solve JEE Main Question Papers daily. JEE Main B.E./B.Tech year wise and subject wise question paper links with answer key PDFs are provided below:
| JEE Main 2021 Question Papers | JEE Main 2020 Question Papers |
| JEE Main 2019 Question Papers | JEE Main 2018 Question Papers |









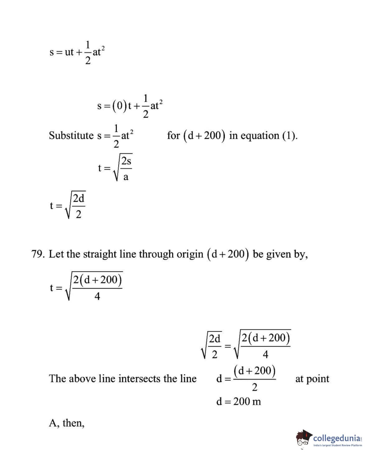
Comments